100% satisfaction guarantee Immediately available after payment Both online and in PDF No strings attached 4.6 TrustPilot
logo-home
Exam (elaborations)

Advanced Health Assessment & Clinical Diagnosis Test Bank: 100% Top Scores (6th Edition Dains)

Rating
-
Sold
-
Pages
184
Grade
A+
Uploaded on
09-12-2025
Written in
2025/2026

Comprehensive test bank for Advanced Health Assessment & Clinical Diagnosis in Primary Care, 6th Edition by Dains. Features 100% verified multiple-choice questions and answers across all key chapters—including clinical reasoning, abdominal assessment, breast lumps, chest pain, dizziness, dyspnea, fever, genitourinary issues, rashes, and more. Perfect for nursing and NP students preparing for exams, this resource ensures top performance with detailed explanations and evidence-based rationales

Show more Read less
Institution
Advanced Health Assessment & Clinical Diagnosis T
Course
Advanced Health Assessment & Clinical Diagnosis T











Whoops! We can’t load your doc right now. Try again or contact support.

Written for

Institution
Advanced Health Assessment & Clinical Diagnosis T
Course
Advanced Health Assessment & Clinical Diagnosis T

Document information

Uploaded on
December 9, 2025
Number of pages
184
Written in
2025/2026
Type
Exam (elaborations)
Contains
Questions & answers

Subjects

Content preview

3
f f
lOMoAR cPSD| 1226342




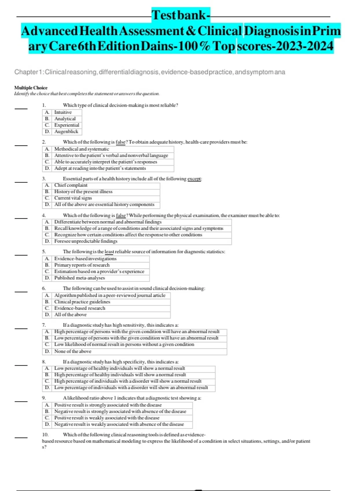
Test bank- f




Advanced Health Assessment & Clinical Diagnosis in Prim
f f f f ff f f




ary Care 6th Edition Dains-100% Top scores-2023-2024
f f f f f ff




Chapterf1:fClinicalfreasoning,fdifferentialfdiagnosis,fevidence-basedfpractice,fandfsymptomfana

MultiplefChoice
Identifyfthefchoicefthatfbestfcompletesfthefstatementforfanswersfthefquestion.

1. Whichftypefoffclinicalfdecision-makingfisfmostfreliable?
A. Intuitive
B. Analytical
C. Experiential
D. Augenblick

2. Whichfofftheffollowingfisffalse?fTofobtainfadequatefhistory,fhealth-carefprovidersfmustfbe:
A. Methodicalfandfsystematic
B. Attentiveftofthefpatient’sfverbalfandfnonverbalflanguage
C. Ableftofaccuratelyfinterpretfthefpatient’sfresponses
D. Adeptfatfreadingfintofthefpatient’sfstatements

3. Essentialfpartsfoffafhealthfhistoryfincludefallfofftheffollowingfexcept:
A. Chieffcomplaint
B. Historyfoffthefpresentfillness
C. Currentfvitalfsigns
D. Allfoffthefabovefarefessentialfhistoryfcomponents

4. Whichfofftheffollowingfisffalse?fWhilefperformingfthefphysicalfexamination,fthefexaminerfmustfbefablefto:
A. Differentiatefbetweenfnormalfandfabnormalffindings
B. Recallfknowledgefoffafrangefoffconditionsfandftheirfassociatedfsignsfandfsymptoms
C. Recognizefhowfcertainfconditionsfaffectfthefresponseftofotherfconditions
D. Foreseefunpredictableffindings

5. Theffollowingfisfthefleastfreliablefsourcefoffinformationfforfdiagnosticfstatistics:
A. Evidence-basedfinvestigations
B. Primaryfreportsfoffresearch
C. Estimationfbasedfonfafprovider’sfexperience
D. Publishedf meta-analyses

6. Theffollowingfcanfbefusedftofassistfinfsoundfclinicalfdecision-making:
A. Algorithmfpublishedfinfafpeer-reviewedfjournalfarticle
B. Clinicalfpracticefguidelines
C. Evidence-basedf research
D. Allfoffthefabove

7. Iffafdiagnosticfstudyfhasfhighfsensitivity,fthisfindicatesfa:
A. Highfpercentagefoffpersonsfwithfthefgivenfconditionfwillfhavefanfabnormalfresult
B. Lowfpercentagefoffpersonsfwithfthefgivenfconditionfwillfhavefanfabnormalfresult
C. Lowflikelihoodfoffnormalfresultfinfpersonsfwithoutfafgivenfcondition
D. Nonefoffthefabove

8. Iffafdiagnosticfstudyfhasfhighfspecificity,fthisfindicatesfa:
A. Lowfpercentagefoffhealthyfindividualsfwillfshowfafnormalfresult
B. Highfpercentagefoffhealthyfindividualsfwillfshowfafnormalfresult
C. Highfpercentagefoffindividualsfwithfafdisorderfwillfshowfafnormalfresult
D. Lowfpercentagefoffindividualsfwithfafdisorderfwillfshowfanfabnormalfresult

9. Aflikelihoodfratiofabovef1findicatesfthatfafdiagnosticftestfshowingfa:
A. Positivefresultfisfstronglyfassociatedfwithfthefdisease
B. Negativefresultfisfstronglyfassociatedfwithfabsencefoffthefdisease
C. Positivefresultfisfweaklyfassociatedfwithfthefdisease
D. Negativefresultfisfweaklyfassociatedfwithfabsencefoffthefdisease

10. Whichfofftheffollowingfclinicalfreasoningftoolsfisfdefinedfasfevidence-
basedfresourcefbasedfonfmathematicalfmodelingftofexpressftheflikelihoodfoffafconditionfinfselectfsituations,fsettings,fand/orfpatient
s?

, 3
f f
lOMoAR cPSD| 1226342




A. Clinicalfpracticefguideline
B. Clinicalfdecisionfrule
C. Clinicalfalgorithm
Chapterf1:fClinicalfreasoning,fdifferentialfdiagnosis,fevidence-basedfpractice,fandfsymptomfana
AnswerfSection

MULTIPLEfCHOICE

1. ANS: B
Croskerryf(2009)fdescribesftwofmajorftypesfoffclinicalfdiagnosticfdecision-making:fintuitivefandfanalytical.fIntuitivefdecision-
fmakingf(similarftofAugenblinkfdecision-

making)fisfbasedfonfthefexperiencefandfintuitionfoffthefclinicianfandfisflessfreliablefandfpairedfwithffairlyfcommonferrors.fInfcontras
t,fanalyticalfdecision-makingfisfbasedfonfcarefulfconsiderationfandfhasfgreaterfreliabilityfwithfrareferrors.

PTS: 1
2. ANS: D
Tofobtainfadequatefhistory,fprovidersfmustfbefwellforganized,fattentiveftofthefpatient’sfverbalfandfnonverbalflanguage,fandfableftofa
ccuratelyfinterpretfthefpatient’sfresponsesftofquestions.fRatherfthanfreadingfintofthefpatient’sfstatements,ftheyfclarifyfanyfareasfoffu
ncertainty.

PTS: 1
3. ANS: C
Vitalfsignsfarefpartfoffthefphysicalfexaminationfportionfoffpatientfassessment,fnotfpartfoffthefhealthfhistory.

PTS: 1
4. ANS: D
Whilefperformingfthefphysicalfexamination,fthefexaminerfmustfbefableftofdifferentiatefbetweenfnormalfandfabnormalffindings,frecal
lfknowledgefoffafrangefoffconditions,fincludingftheirfassociatedfsignsfandfsymptoms,frecognizefhowfcertainfconditionsfaffectfthefresp
onseftofotherfconditions,fandfdistinguishfthefrelevancefoffvariedfabnormalffindings.

PTS: 1
5. ANS: C
Sourcesfforfdiagnosticfstatisticsfincludeftextbooks,fprimaryfreportsfoffresearch,fandfpublishedfmeta-
analyses.fAnotherfsourcefoffstatistics,fthefonefthatfhasfbeenfmostfwidelyfusedfandfavailablefforfapplicationftofthefreasoningfprocess,fi
sfthefestimationfbasedfonfafprovider’sfexperience,falthoughfthesefarefrarelyfaccurate.fOverfthefpastfdecade,fthefavailabilityfoffeviden
cefonfwhichftofbasefclinicalfreasoningfisfimproving,fandftherefisfanfincreasingfexpectationfthatfclinicalfreasoningfbefbasedfonfscient
ificfevidence.
Evidence-basedfstatisticsfarefalsofincreasinglyfbeingfusedftofdevelopfresourcesftoffacilitatefclinicalfdecision-making.

PTS: 1
6. ANS: D
Tofassistfinfclinicalfdecision-making,fafnumberfoffevidence-
basedfresourcesfhavefbeenfdevelopedftofassistfthefclinician.fResources,fsuchfasfalgorithmsfandfclinicalfpracticefguidelines,fassistfinf
clinicalfreasoningfwhenfproperlyfapplied.

PTS: 1
7. ANS: A
Thefsensitivityfoffafdiagnosticfstudyfisfthefpercentagefoffindividualsfwithftheftargetfconditionfwhofshowfanfabnormal,forfpositive,fres
ult.fAfhighfsensitivityfindicatesfthatfafgreaterfpercentagefoffpersonsfwithfthefgivenfconditionfwillfhavefanfabnormalfresult.

PTS: 1
8. ANS: B
Thefspecificityfoffafdiagnosticfstudyfisfthefpercentagefoffnormal,fhealthyfindividualsfwhofhavefafnormalfresult.fThefgreaterfthefspeci
ficity,fthefgreaterfthefpercentagefoffindividualsfwhofwillfhavefnegative,forfnormal,fresultsfifftheyfdofnotfhaveftheftargetfcondition.

PTS: 1
9. ANS: A
Theflikelihoodfratiofisfthefprobabilityfthatfafpositiveftestfresultfwillfbefassociatedfwithfafpersonfwhofhasftheftargetfconditionfandfafneg
ativefresultfwillfbefassociatedfwithfafhealthyfperson.fAflikelihoodfratiofabovef1findicatesfthatfafpositivefresultfisf associatedfwithfthefd
isease;faflikelihoodfratioflessfthanf1findicatesfthatfafnegativefresultfisfassociatedfwithfanfabsencefoffthefdisease.

, 3
f f
lOMoAR cPSD| 1226342




PTS: 1
10. ANS: B
Clinicalfdecisionf(orfprediction)frulesfprovidefanotherfsupportfforfclinicalfreasoning.fClinicalfdecisionfrulesfarefevidence-
basedfresourcesfthatfprovidefprobabilisticfstatementsfregardingftheflikelihoodfthatfafconditionfexistsfiffcertainfvariablesfarefmetfwit
hfregardftofthefprognosisfoffpatientsfwithfspecificffindings.fDecisionfrulesfusefmathematicalfmodelsfandfarefspecificftofcertainfsituat
ions,fsettings,fand/orfpatientfcharacteristics.

PTS: 1

, 3
f f
lOMoAR cPSD| 1226342




Chapterf2.fEvidence-basedfhealthfscreening




MultiplefChoice
Identifyfthefchoicefthatfbestfcompletesfthefstatementforfanswersfthefquestion.

1. Theffirstfstepfinfthefgenomicfassessmentfoffafpatientfisfobtainingfinformationfregarding:
A. Familyfhistory
B. Environmentalfexposures
C. Lifestylefandfbehaviors
D. Currentfmedications

2. Anfaffectedfindividualfwhofmanifestsfsymptomsfoffafparticularfconditionfthroughfwhomfaffamilyfwithfafgeneticfdi
sorderfisfascertainedfisfcalledfa(n):
A. Consultand
B. Consulband
C. Indexfpatient
D. Proband

3. Anfautosomalfdominantfdisorderfinvolvesfthe:
A. Xfchromosome
B. Yfchromosome
C. MitochondrialfDNA
D. Non-sexfchromosomes

4. Tofillustratefafunionfbetweenftwofsecondfcousinffamilyfmembersfinfafpedigree,fdraw:
A. Arrowsfpointingftofthefmalefandffemale
B. Bracketsfaroundfthefmalefandffemale
C. Doublefhorizontalflinesfbetweenfthefmalefandffemale
D. Circlesfaroundfthefmalefandffemale

5. Tofillustrateftwoffamilyfmembersfinfanfadoptivefrelationshipfinfafpedigree:
A. Arrowsfarefdrawnfpointingftofthefmalefandffemale
B. Bracketsfarefdrawnfaroundfthefmalefandffemale
C. Doublefhorizontalflinesfarefdrawnfbetweenfthefmalefandffemale
D. Circlesfarefdrawnfaroundfthefmalefandffemale

6. Whenfanalyzingfthefpedigreefforfautosomalfdominantfdisorders,fitfisfcommonftofsee:
A. Severalfgenerationsfoffaffectedfmembers
B. Manyfconsanguineousfrelationships
C. Morefmembersfoffthefmaternalflineagefaffectedfthanfpaternal
D. Morefmembersfoffthefpaternalflineagefaffectedfthanfmaternal

7. Infautosomalfrecessivef(AR)fdisorders,findividualsfneed:
A. Onlyfonefmutatedfgenefonfthefsexfchromosomesftofacquirefthefdisease
B. Onlyfonefmutatedfgeneftofacquirefthefdisease
C. Twofmutatedfgenesftofacquirefthefdisease
D. Twofmutatedfgenesftofbecomefcarriers

8. Infautosomalfrecessivefdisorders,fcarriersfhave:
A. Twofmutatedfgenes;foneffromfeachfparentfthatfcausefdisease
B. Afmutationfonfafsexfchromosomefthatfcausesfafdisease
C. Afsinglefgenefmutationfthatfcausesfthefdisease
D. Onefcopyfoffafgenefmutationfbutfnotfthefdisease

9. Withfanfautosomalfrecessivefdisorder,fitfisfimportantfthatfparentsfunderstandfthatfifftheyfbothfcarryfafmutation,ftheffol
lowingfarefthefrisksftofeachfofftheirfoffspringf(eachfpregnancy):
A. 50%fchancefthatfoffspringfwillfcarryfthefdisease
B. 10%fchancefoffoffspringfaffectedfbyfdisease
$22.49
Get access to the full document:

100% satisfaction guarantee
Immediately available after payment
Both online and in PDF
No strings attached

Get to know the seller
Seller avatar
TestBankArchive

Get to know the seller

Seller avatar
TestBankArchive Teachme2-tutor
View profile
Follow You need to be logged in order to follow users or courses
Sold
1
Member since
2 months
Number of followers
0
Documents
316
Last sold
1 month ago
testbanksolutions

Welcome to TestBankArchive! The place to find the best study materials for various subjects. You can be assured that you will receive only the best which will help you to ace your exams. All the materials posted are A+ Graded. Please rate and write a review after using my materials. Your reviews will motivate me to add more materials. Thank you very much!

0.0

0 reviews

5
0
4
0
3
0
2
0
1
0

Recently viewed by you

Why students choose Stuvia

Created by fellow students, verified by reviews

Quality you can trust: written by students who passed their tests and reviewed by others who've used these notes.

Didn't get what you expected? Choose another document

No worries! You can instantly pick a different document that better fits what you're looking for.

Pay as you like, start learning right away

No subscription, no commitments. Pay the way you're used to via credit card and download your PDF document instantly.

Student with book image

“Bought, downloaded, and aced it. It really can be that simple.”

Alisha Student

Frequently asked questions