100% satisfaction guarantee Immediately available after payment Both online and in PDF No strings attached 4.6 TrustPilot
logo-home
Exam (elaborations)

Orange Coast College MATH A115: Final Exam

Rating
-
Sold
-
Pages
7
Grade
A+
Uploaded on
08-10-2025
Written in
2025/2026

Orange Coast College MATH A115: Final Exam










Whoops! We can’t load your doc right now. Try again or contact support.

Document information

Uploaded on
October 8, 2025
Number of pages
7
Written in
2025/2026
Type
Exam (elaborations)
Contains
Questions & answers

Subjects

Content preview

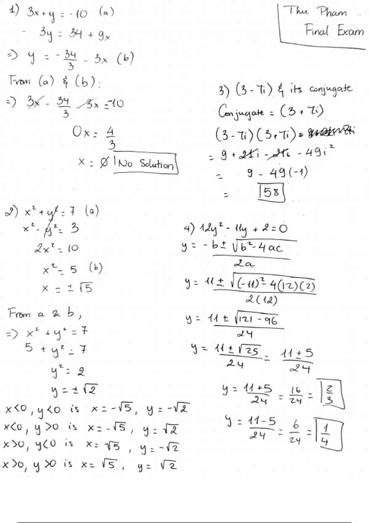
1) :7)x+43 -0 (a) “Tha Phom
- 5\3_’_ 5‘-‘4_9)( F”@i E(am



:> (j = _% _ 6)< (lo)
o


A)m/v‘;/; a )53 (’0> . 3) (5,1-‘){‘
' | s' :
conjugade
= g x {0
vz 3 ,/g/X_ CLV\J“‘%O'R:
.
be“lc)


Ox: 4 (3-0 (300 » ) pptr
X = 100 Soluio . 9 e 24 M: 49TA
E - 3_49'(—4)

. Isx]
o?> X+ :1‘(‘1)
NS/ N q)/i,&o -ll:j+v2 o)

Zxt 1O 3~‘b+\“’ -Hoac
XL—,S (ID) o s
x -+ (5 Y= U2 VEWE 4000
2 (14)
From a % b, W= 1t (i ~9g
__:> X”;aj":q‘ 2 Y
5+t 7 1= Uiz 125
y“: 9 e ol
-+ {2 Y= M4+5 o | )é
e Tz S
X<O’3<O (s x:'\r‘S_, ld:—r A ! =
<0,
y >0 s X:-@,lfl 12 (3251‘;“5:—6—41
x>0, 90 s X2 qm Y- -7 o2
‘X>°,‘d>0‘3 b g J?, Y= vz

, 5)444”{@7{_@“3)1 ~1Y
7,><’Z.
X+d5: x?eGx+9 5

X +6x-x-25+9. 0O
XE4Sx -y = O
(x+D(x-2):0
Xt+1:=0 X-A2=-0

Cx =1 lx =9


6) 2p*+ Bp - 020 0= Ax Yy § 9lx): 5t
3:_ -b* \‘ b"",;{c:c:
(£o 9 Y(x) = F(g(x))
LA
= £(5x <+ Sx)
y=-S2 J(s)l— 4(2)(-10) z /-((Sx‘vtgx)}&f
2(2) -
2 [2ox 4 2 +fl
Y= - 31 | 980 J'-'Bt Wj
A 4

Get to know the seller

Seller avatar
Reputation scores are based on the amount of documents a seller has sold for a fee and the reviews they have received for those documents. There are three levels: Bronze, Silver and Gold. The better the reputation, the more your can rely on the quality of the sellers work.
PaulMarks Rasmussen College
View profile
Follow You need to be logged in order to follow users or courses
Sold
1337
Member since
5 year
Number of followers
1091
Documents
3873
Last sold
3 days ago
Paul Marks Library

Providing the best guaranteed solutions for Nursing assignments.

3.8

219 reviews

5
114
4
31
3
23
2
9
1
42

Recently viewed by you

Why students choose Stuvia

Created by fellow students, verified by reviews

Quality you can trust: written by students who passed their tests and reviewed by others who've used these notes.

Didn't get what you expected? Choose another document

No worries! You can instantly pick a different document that better fits what you're looking for.

Pay as you like, start learning right away

No subscription, no commitments. Pay the way you're used to via credit card and download your PDF document instantly.

Student with book image

“Bought, downloaded, and aced it. It really can be that simple.”

Alisha Student

Frequently asked questions