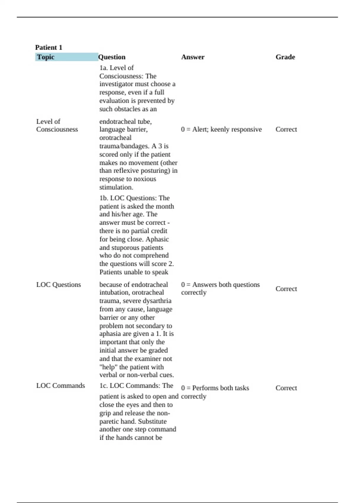
Patient 1
Topic Question Answer Grade
1a. Level of
Consciousness: The
investigator must choose a
response, even if a full
evaluation is prevented by
such obstacles as an
Level of endotracheal tube,
Consciousness language barrier, 0 = Alert; keenly responsive Correct
orotracheal
trauma/bandages. A 3 is
scored only if the patient
makes no movement (other
than reflexive posturing) in
response to noxious
stimulation.
1b. LOC Questions: The
patient is asked the month
and his/her age. The
answer must be correct -
there is no partial credit
for being close. Aphasic
and stuporous patients
who do not comprehend
the questions will score 2.
Patients unable to speak
LOC Questions because of endotracheal 0 = Answers both questions
Correct
intubation, orotracheal correctly
trauma, severe dysarthria
from any cause, language
barrier or any other
problem not secondary to
aphasia are given a 1. It is
important that only the
initial answer be graded
and that the examiner not
"help" the patient with
verbal or non-verbal cues.
LOC Commands 1c. LOC Commands: The 0 = Performs both tasks Correct
patient is asked to open and correctly
close the eyes and then to
grip and release the non-
paretic hand. Substitute
another one step command
if the hands cannot be
, used. Credit is given if an
unequivocal attempt is
made but not completed
due to weakness. If the
patient does not respond to
command, the task should
be demonstrated to them
(pantomime) and score the
result (i.e., follows none,
one or two commands).
Patients with trauma,
amputation, or other
physical impediments
should be given suitable
one-step commands. Only
the first attempt is scored.
2. Best Gaze: Only
horizontal eye movements
will be tested.Voluntary or
reflexive (oculocephalic)
eye movements will be
scored but caloric testing is
not done. If the patient has
a conjugate deviation of
the eyes that can be
overcome by voluntary or
reflexive activity, the score
will be 1. If a patient has
an isolated peripheral nerve
paresis (CN III, IV or VI)
score a 1. Gaze is testable
Best Gaze 0 = Normal Correct
in all aphasic patients.
Patients with ocular
trauma, bandages, pre-
existing blindness or other
disorder of visual acuity or
fields should be tested with
reflexive movements and a
choice made by the
investigator. Establishing
eye contact and then
moving about the patient
from side to side will
occasionally clarify the
presence of a partial gaze
palsy.
Visual 3. Visual: Visual 0 = No visual loss Correct
fields (upper and
lower
, quadrants) are tested by
confrontation, using finger
counting or visual threat as
appropriate. Patient must
be encouraged, but if they
look at the side of the
moving fingers
appropriately, this can be
scored as normal. If there
is unilateral blindness or
enucleation, visual fields in
the remaining eye are
scored. Score 1 only if a
clear-cut asymmetry,
including quadrantanopia
is found. If patient is blind
from any cause score 3.
Double simultaneous
stimulation is performed at
this point. If there is
extinction patient receives
a 1, and the results are
used to answer question
11.
4. Facial Palsy: Ask, or use
pantomime to encourage
the patient to show teeth or
raise eyebrows and close
eyes. Score symmetry of
grimace in response to
Facial Palsy noxious stimuli in the 0 = Normal symmetrical
movement Correct
poorly responsive or non-
comprehending patient. If
facial trauma/bandages,
orotracheal tube, tape or
other physical barriers
obscure the face, these
should be removed to the
extent possible.
Motor Arms 5a. Motor Arm Left: The 1 = Drift, Limb holds 90 (or 45) Incorrect
limb is placed in the degrees, but drifts down before
appropriate position: full 10 seconds; does not hit
extend the arms (palms bed or other support
down) 90 degrees (if
sitting) or 45 degrees (if
supine). Drift is scored if
the arm falls before 10
seconds. The aphasic
patient is encouraged using
, urgency in the voice and
pantomime, but not
noxious stimulation. Each
limb is tested in turn,
beginning with the non-
paretic arm. Only in the
case of amputation or joint
fusion at the shoulder, the
examiner should record the
score as untestable (UN)
5b. Motor Arm Right:
Limb is placed in the
appropriate position:
extend the arms (palms
down) 90 degrees (if
sitting) or 45 degrees (if
supine). Drift is scored if
the arm falls before 10
seconds. The aphasic
patient is encouraged using 0 = No drift, limb holds 90 (or
Motor Arms Correct
urgency in the voice and 45) degrees for full 10 seconds
pantomime, but not
noxious stimulation. Each
limb is tested in turn,
beginning with the non-
paretic arm. Only in the
case of amputation or joint
fusion at the shoulder, the
examiner should record the
score as untestable (UN)
6a. Left Leg: The limb is
placed in the appropriate
position: hold the leg at 30
degrees (always tested
supine). Drift is scored if
the leg falls before 5
seconds. The aphasic
patient is encouraged using
0 = No drift, leg holds 30
urgency in the voice and
Motor Legs degrees position for full 5 Incorrect
pantomime but not noxious
seconds
stimulation. Each limb is
tested in turn, beginning
with the non-paretic leg.
Only in the case of
amputation or joint fusion
at the hip, the examiner
should record the score as
untestable (UN)
Topic Question Answer Grade
1a. Level of
Consciousness: The
investigator must choose a
response, even if a full
evaluation is prevented by
such obstacles as an
Level of endotracheal tube,
Consciousness language barrier, 0 = Alert; keenly responsive Correct
orotracheal
trauma/bandages. A 3 is
scored only if the patient
makes no movement (other
than reflexive posturing) in
response to noxious
stimulation.
1b. LOC Questions: The
patient is asked the month
and his/her age. The
answer must be correct -
there is no partial credit
for being close. Aphasic
and stuporous patients
who do not comprehend
the questions will score 2.
Patients unable to speak
LOC Questions because of endotracheal 0 = Answers both questions
Correct
intubation, orotracheal correctly
trauma, severe dysarthria
from any cause, language
barrier or any other
problem not secondary to
aphasia are given a 1. It is
important that only the
initial answer be graded
and that the examiner not
"help" the patient with
verbal or non-verbal cues.
LOC Commands 1c. LOC Commands: The 0 = Performs both tasks Correct
patient is asked to open and correctly
close the eyes and then to
grip and release the non-
paretic hand. Substitute
another one step command
if the hands cannot be
, used. Credit is given if an
unequivocal attempt is
made but not completed
due to weakness. If the
patient does not respond to
command, the task should
be demonstrated to them
(pantomime) and score the
result (i.e., follows none,
one or two commands).
Patients with trauma,
amputation, or other
physical impediments
should be given suitable
one-step commands. Only
the first attempt is scored.
2. Best Gaze: Only
horizontal eye movements
will be tested.Voluntary or
reflexive (oculocephalic)
eye movements will be
scored but caloric testing is
not done. If the patient has
a conjugate deviation of
the eyes that can be
overcome by voluntary or
reflexive activity, the score
will be 1. If a patient has
an isolated peripheral nerve
paresis (CN III, IV or VI)
score a 1. Gaze is testable
Best Gaze 0 = Normal Correct
in all aphasic patients.
Patients with ocular
trauma, bandages, pre-
existing blindness or other
disorder of visual acuity or
fields should be tested with
reflexive movements and a
choice made by the
investigator. Establishing
eye contact and then
moving about the patient
from side to side will
occasionally clarify the
presence of a partial gaze
palsy.
Visual 3. Visual: Visual 0 = No visual loss Correct
fields (upper and
lower
, quadrants) are tested by
confrontation, using finger
counting or visual threat as
appropriate. Patient must
be encouraged, but if they
look at the side of the
moving fingers
appropriately, this can be
scored as normal. If there
is unilateral blindness or
enucleation, visual fields in
the remaining eye are
scored. Score 1 only if a
clear-cut asymmetry,
including quadrantanopia
is found. If patient is blind
from any cause score 3.
Double simultaneous
stimulation is performed at
this point. If there is
extinction patient receives
a 1, and the results are
used to answer question
11.
4. Facial Palsy: Ask, or use
pantomime to encourage
the patient to show teeth or
raise eyebrows and close
eyes. Score symmetry of
grimace in response to
Facial Palsy noxious stimuli in the 0 = Normal symmetrical
movement Correct
poorly responsive or non-
comprehending patient. If
facial trauma/bandages,
orotracheal tube, tape or
other physical barriers
obscure the face, these
should be removed to the
extent possible.
Motor Arms 5a. Motor Arm Left: The 1 = Drift, Limb holds 90 (or 45) Incorrect
limb is placed in the degrees, but drifts down before
appropriate position: full 10 seconds; does not hit
extend the arms (palms bed or other support
down) 90 degrees (if
sitting) or 45 degrees (if
supine). Drift is scored if
the arm falls before 10
seconds. The aphasic
patient is encouraged using
, urgency in the voice and
pantomime, but not
noxious stimulation. Each
limb is tested in turn,
beginning with the non-
paretic arm. Only in the
case of amputation or joint
fusion at the shoulder, the
examiner should record the
score as untestable (UN)
5b. Motor Arm Right:
Limb is placed in the
appropriate position:
extend the arms (palms
down) 90 degrees (if
sitting) or 45 degrees (if
supine). Drift is scored if
the arm falls before 10
seconds. The aphasic
patient is encouraged using 0 = No drift, limb holds 90 (or
Motor Arms Correct
urgency in the voice and 45) degrees for full 10 seconds
pantomime, but not
noxious stimulation. Each
limb is tested in turn,
beginning with the non-
paretic arm. Only in the
case of amputation or joint
fusion at the shoulder, the
examiner should record the
score as untestable (UN)
6a. Left Leg: The limb is
placed in the appropriate
position: hold the leg at 30
degrees (always tested
supine). Drift is scored if
the leg falls before 5
seconds. The aphasic
patient is encouraged using
0 = No drift, leg holds 30
urgency in the voice and
Motor Legs degrees position for full 5 Incorrect
pantomime but not noxious
seconds
stimulation. Each limb is
tested in turn, beginning
with the non-paretic leg.
Only in the case of
amputation or joint fusion
at the hip, the examiner
should record the score as
untestable (UN)