100% satisfaction guarantee Immediately available after payment Both online and in PDF No strings attached 4.2 TrustPilot
logo-home
Exam (elaborations)

NURS 6521N Pharm Week 3 Extra learning Walden University Winter 2025

Rating
-
Sold
-
Pages
4
Grade
A+
Uploaded on
02-04-2025
Written in
2024/2025

NURS 6521N Pharm Week 3 Extra learning Walden University Winter 2025/NURS 6521N Pharm Week 3 Extra learning Walden University Winter 2025

Institution
NURS6521N
Course
NURS6521N








Whoops! We can’t load your doc right now. Try again or contact support.

Written for

Institution
NURS6521N
Course
NURS6521N

Document information

Uploaded on
April 2, 2025
Number of pages
4
Written in
2024/2025
Type
Exam (elaborations)
Contains
Questions & answers

Subjects

Content preview

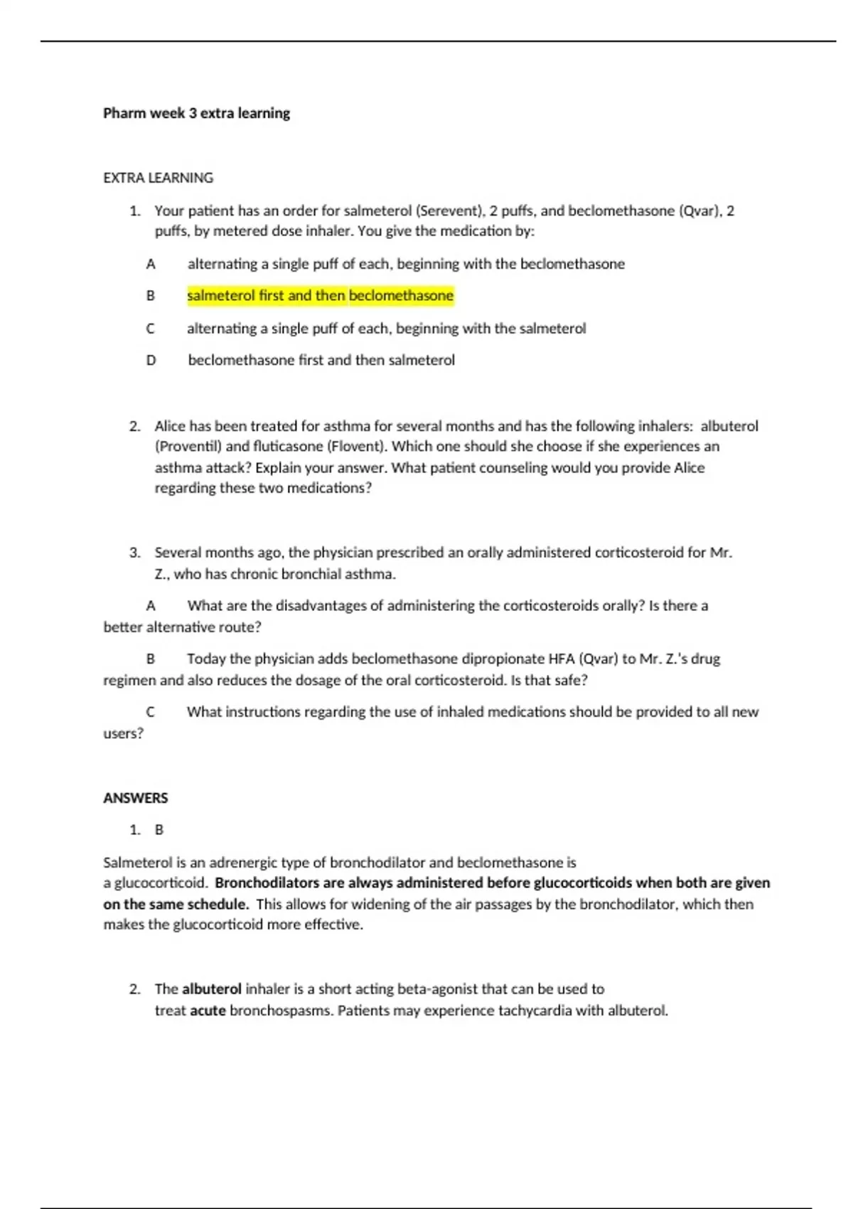
Pharm week 3 extra learning



EXTRA LEARNING

1. Your patient has an order for salmeterol (Serevent), 2 puffs, and beclomethasone (Qvar), 2
puffs, by metered dose inhaler. You give the medication by:

A alternating a single puff of each, beginning with the beclomethasone

B salmeterol first and then beclomethasone

C alternating a single puff of each, beginning with the salmeterol

D beclomethasone first and then salmeterol



2. Alice has been treated for asthma for several months and has the following inhalers: albuterol
(Proventil) and fluticasone (Flovent). Which one should she choose if she experiences an
asthma attack? Explain your answer. What patient counseling would you provide Alice
regarding these two medications?



3. Several months ago, the physician prescribed an orally administered corticosteroid for Mr.
Z., who has chronic bronchial asthma.

A What are the disadvantages of administering the corticosteroids orally? Is there a
better alternative route?

B Today the physician adds beclomethasone dipropionate HFA (Qvar) to Mr. Z.’s drug
regimen and also reduces the dosage of the oral corticosteroid. Is that safe?

C What instructions regarding the use of inhaled medications should be provided to all new
users?



ANSWERS

1. B

Salmeterol is an adrenergic type of bronchodilator and beclomethasone is
a glucocorticoid. Bronchodilators are always administered before glucocorticoids when both are given
on the same schedule. This allows for widening of the air passages by the bronchodilator, which then
makes the glucocorticoid more effective.



2. The albuterol inhaler is a short acting beta-agonist that can be used to
treat acute bronchospasms. Patients may experience tachycardia with albuterol.
$24.49
Get access to the full document:

100% satisfaction guarantee
Immediately available after payment
Both online and in PDF
No strings attached

Get to know the seller
Seller avatar
carlmuh

Get to know the seller

Seller avatar
carlmuh Chamberlain College Of Nursing
View profile
Follow You need to be logged in order to follow users or courses
Sold
0
Member since
5 year
Number of followers
0
Documents
53
Last sold
-

0.0

0 reviews

5
0
4
0
3
0
2
0
1
0

Recently viewed by you

Why students choose Stuvia

Created by fellow students, verified by reviews

Quality you can trust: written by students who passed their tests and reviewed by others who've used these notes.

Didn't get what you expected? Choose another document

No worries! You can instantly pick a different document that better fits what you're looking for.

Pay as you like, start learning right away

No subscription, no commitments. Pay the way you're used to via credit card and download your PDF document instantly.

Student with book image

“Bought, downloaded, and aced it. It really can be that simple.”

Alisha Student

Frequently asked questions