100% satisfaction guarantee Immediately available after payment Both online and in PDF No strings attached 4.6 TrustPilot
logo-home
Exam (elaborations)

Test Bank - for Understanding Pharmacology Essentials for Medication Safety, 3rd Edition by M. Linda Workman & LaCharity, All Chapters 1-32

Rating
5.0
(2)
Sold
-
Pages
418
Grade
A+
Uploaded on
26-02-2025
Written in
2024/2025

Test Bank - for Understanding Pharmacology Essentials for Medication Safety, 3rd Edition by M. Linda Workman & LaCharity, All Chapters 1-32

Institution
Course

Content preview

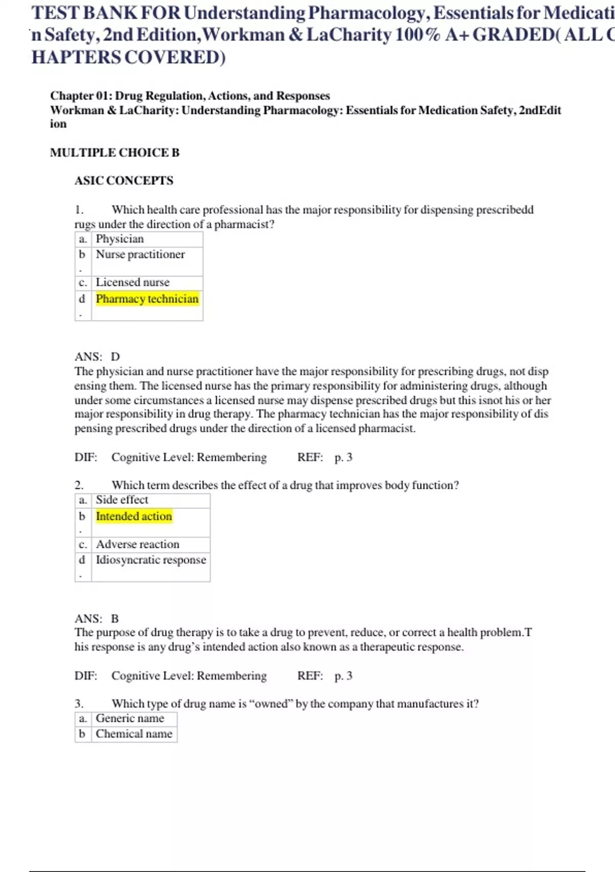
TEST BANK FOR Understanding Pharmacology, Essentials for Medicati
g g g g g g g



n Safety, 2nd Edition,Workman & LaCharity 100% A+ GRADED( ALL C
g g g g g g g g g g



HAPTERS COVERED) g




Chapterg01:gDruggRegulation,gActions,gandgResponses
Workmang&gLaCharity:gUnderstandinggPharmacology:gEssentialsgforgMedicationgSafety,g2ndgEdit
ion

MULTIPLEgCHOICEgB

ASICgCONCEPTS

1. Whichghealthgcaregprofessionalghasgthegmajorgresponsibilitygforgdispensinggprescribedgd
rugsgundergthegdirectiongofgagpharmacist?
a. Physician
b Nursegpractitioner
.
c. Licensedgnurse
d Pharmacygtechnician
.


ANS:g D
Thegphysiciangandgnursegpractitionerghavegthegmajorgresponsibilitygforgprescribinggdrugs,gnotgdisp
ensinggthem.gTheglicensedgnurseghasgthegprimarygresponsibilitygforgadministeringgdrugs,galthoughg
undergsomegcircumstancesgaglicensedgnursegmaygdispensegprescribedgdrugsgbutgthisgisgnotghisgorgherg
majorgresponsibilitygingdruggtherapy.gThegpharmacygtechnicianghasgthegmajorgresponsibilitygofgdis
pensinggprescribedgdrugsgundergthegdirectiongofgaglicensedgpharmacist.

DIF: CognitivegLevel:gRemembering REF: p.g3

2. Whichgtermgdescribesgthegeffectgofgagdruggthatgimprovesgbodygfunction?
a. Sidegeffect
b Intendedgaction
.
c. Adversegreaction
d Idiosyncraticgresponse
.


ANS:g B
Thegpurposegofgdruggtherapygisgtogtakegagdruggtogprevent,greduce,gorgcorrectgaghealthgproblem.gT
hisgresponsegisganygdrug’sgintendedgactiongalsogknowngasgagtherapeuticgresponse.

DIF: CognitivegLevel:gRemembering REF: p.g3

3. Whichgtypegofgdruggnamegisg“owned”gbygthegcompanygthatgmanufacturesgit?
a. Genericgname
b Chemicalgname

,TEST BANK FOR Understanding Pharmacology, Essentials for Medicati
g g g g g g g



n Safety, 2nd Edition,Workman & LaCharity 100% A+ GRADED( ALL C
g g g g g g g g g g



HAPTERS COVERED) g



.
c. Categorygname
d Tradegname
.


ANS:g D
Thegchemicalgnamegisgagdrug’sgexactgchemicalgcomposition.gTheggenericgnamegisgthegnamegassigne
dgtogthegdruggbygthegU.S.gAdoptedgNamesgCouncilgandgisgnotgownedgbyganyone.gThegcategorygnam
egrefersgtogthegtypegofgdrugg(whatgitgdoesgorgwhatgitgisgusedgfor)gandgisgnotgangactualgdruggname.gThegt
radegnameg(brandgname)gisgthegnamegprovidedgandgownedgbygagspecificgdrug’sgmanufacturer.

DIF: CognitivegLevel:gRemembering REF: p.g4

4. Whichgdruggorgdruggclassgisgag“highgalert”gdrug?
a. Penicillin
b Insulin
.
c. NSAIDs
d Calcium
.


ANS:g B
Aghighgalertgdruggisgonegingwhichgharmgisglikelygtogresultgifggivengatgthegwronggdose,gtogthegwronggpa
tient,gorgnotggivengtogthegcorrectgpatient.gDrugsgclassifiedgasghighgalertgdrugsgincludegpotassium,gnar
coticsg(opioids),ginsulin,gcancergchemotherapygdrugs,gandgheparing(organygdruggthatgstronglygaffects
gbloodgclotting).gPenicillin,gNSAIDs,gandgcalciumgaregnotgconsideredghighgalertgdrugs.




DIF: CognitivegLevel:gRemembering REF: p.g4

5. Whatgisgthegtermgforgagdruggthatghasgthegsamegactiongasgagnaturallygoccurringgbodygh
ormonegorgenzyme?
a. Agonist
b Blockinggagent
.
c. Chemical
d Duplicator
.


ANS:g A
Agdruggagonistgisgangextrinsicgdruggthatgactivatesgthegreceptorgsitesgofgagcellgandgmimicsgthega
ctionsgofgnaturallygoccurringgbodygsubstancesg(intrinsicgdrugs).gAgblockinggagentgisgagdrug

,TEST BANK FOR Understanding Pharmacology, Essentials for Medicati
g g g g g g g



n Safety, 2nd Edition,Workman & LaCharity 100% A+ GRADED( ALL C
g g g g g g g g g g



HAPTERS COVERED) g



antagonist.gAgchemicalgwouldgnotgnecessarilygbegagdruggatgall.gAgduplicatorgisgnotgagpharmacologicgte
rm.

DIF: CognitivegLevel:gRemembering REF: pp.g6-7

6. Whichgtermgdescribesghowgthegbodygaffectsgdruggactivity?
a. Druggpotency
b Pharmacodynamics
.
c. Therapeuticgeffect
d Pharmacokinetics
.


ANS:g D
Thegtermgpharmacokineticsgrefersgtogdruggmetabolismgandghowgthegbodygchangesgagdrug.gPharmaco
dynamicsgrefersgtoghowgagdruggworksgtogchangegbodygfunction.gDruggpotencygrefersgtoghowgstronglyg
orgtogwhatgdegreegagdruggexertsgitsgeffects.gThegtherapeuticgeffectgisgclosergtogpharmacodynamics,gme
aningghowgagdruggworksgtogchangegbodygfunction.

DIF: CognitivegLevel:gRemembering REF: p.g10

7. IngthegUnitedgStates,gwhichggroupgisgresponsiblegforgenforcinggestablishedgstandardsgforgd
ruggmanufacturing?
a. U.S.gPharmacopeia
b NationalgInstitutesgofgHealth
.
c. FoodgandgDruggAdministration
d AssociationgofgPharmaceuticalgManufacturers
.


ANS:g C
ThegstandardsgforgdruggmanufacturegaregestablishedgbygthegU.S.gPharmacopeia.gThesegstandardsgar
egenforcedgbygthegFoodgandgDruggAdministration.gNeithergthegNationalgInstitutesgofgHealthgnorgtheg
AssociationgofgPharmaceuticalgManufacturersghasganygauthoritygtogenforcegdruggstandards.

DIF: CognitivegLevel:gRemembering REF: p.g5

8. Whichgfactorgisgagmajorgdisadvantagegofgthegtransdermalgdruggdeliverygroute?
a. Onlygagprescribergcangadministergdrugsgbygthegtransdermalgroute.
b Transdermalgdrugsgmustgbegsterilegrathergthangclean.
.
c. Firstgpassgdrugglossgbygthisgroutegisgthegmostgextensive.
d Druggabsorptiongisgdependentgongadequategcirculation.

, TEST BANK FOR Understanding Pharmacology, Essentials for Medicati
g g g g g g g



n Safety, 2nd Edition,Workman & LaCharity 100% A+ GRADED( ALL C
g g g g g g g g g g



HAPTERS COVERED) g



.


ANS:g D
Oncegagtransdermalgdruggmovesgthroughgthegskin,gitgmustgentergthegbloodstreamgtogreachgitsgtargetgti
ssue.gIfgcirculationgisgpoorgtogthegareagwheregthegtransdermalgdruggisgapplied,gveryglittle,gifgany,gofgt
hegdruggwillgreachgitsgtargetgtissue.

DIF: CognitivegLevel:gRemembering REF: p.g12

9. Howgaregintrinsicgdrugsgdifferentgfromgextrinsicgdrugs?
a.Intrinsicgdrugsgaregmadegbygthegbody,gwhereasgextrinsicgdrugsgaregmadegoutsidegthegbody.
b Intrinsicgdrugsgaregadministeredgbygthegparenteralgroute,gwhereasgextrinsicgdrugsgare
. administeredgbygthegoralgroute.
c.Extrinsicgdrugsgcangonlygbegappliedgtogthegskingorgmucousgmembranes,gwhereasgintrinsicgd
rugsgaregtakenginternally.
d Extrinsicgdrugsgrequiregagprescriptiongforgadministration,gwhereasgintrinsicgdrugsgare
. availablegover-the-counter.


ANS:g A
Intrinsicgdrugsgaregtheghormones,genzymes,gandgothergchemicalsgmadegbygthegbodygthatgchangegcel
lgactivity.gExtrinsicgdrugsgaregmanufacturedgfromgchemical,ganimal,gorgplantgsourcesgandgmustghaveg
agmeansgofgenteringgthegbodygingordergtogchangegcellgactivity.

DIF: CognitivegLevel:gUnderstanding REF: p.g3

10. Agpatientgasksgwhyghisgdruggtogcontrolghighgbloodgpressureghasgonlygoneggenericgnamegandgt
wogdifferentgtradegnames.gWhatgisgyourgbestgresponse?
a. “Mostgdrugsghavegdifferentgtradegnamesgthatgindicategdifferentgdosages.”
b “Thegtwogdifferentgtradegnamesgindicategthatgonegisgagmoregpuregandgsafergdruggthangthegother.”
.
c. “Theggenericgnamegisgthegactualgofficialgdruggnamegandgthegtradegnamegisgagbrandgownedgby
agspecificgmanufacturer.”
d “Ifgyoughaveginsurance,gyougcanggetgthegtradegnamegdrug,gwhichgisgusuallygmoregexpensivegthang
. theggenericgnamedgdrug.”


ANS:g C
TheggenericgnamegisgthegnamegassignedgtogthegdruggbygthegU.S.gAdoptedgNamesgCouncilgandgisgnotg
ownedgbyganyone.gThegtradegnameg(brandgname)gisgthegnamegprovidedgandgownedgbygagspecificgdru
g’sgmanufacturer.gMoregthangonegmanufacturergcangmakegandgsellgthegsamegdruggatgthegsamegtimegun
dergagdifferentgtradegname.gRegardlessgofgtradegname,gallgdrugsgthatghavegthegsameggenericgnamegm
ustgbegalikegingtheirgchemicalgcompositiongandgstrength.

DIF: CognitivegLevel:gApplyinggorgHigher REF: pp.g3-4

Connected book

Written for

Course

Document information

Uploaded on
February 26, 2025
Number of pages
418
Written in
2024/2025
Type
Exam (elaborations)
Contains
Questions & answers

Subjects

$21.49
Get access to the full document:

100% satisfaction guarantee
Immediately available after payment
Both online and in PDF
No strings attached


Also available in package deal

Reviews from verified buyers

Showing all 2 reviews
8 months ago

11 months ago

5.0

2 reviews

5
2
4
0
3
0
2
0
1
0
Trustworthy reviews on Stuvia

All reviews are made by real Stuvia users after verified purchases.

Get to know the seller

Seller avatar
Reputation scores are based on the amount of documents a seller has sold for a fee and the reviews they have received for those documents. There are three levels: Bronze, Silver and Gold. The better the reputation, the more your can rely on the quality of the sellers work.
ORIGINALTESTBANK Teachme2-tutor
Follow You need to be logged in order to follow users or courses
Sold
5
Member since
11 months
Number of followers
0
Documents
288
Last sold
4 months ago

4.5

359 reviews

5
230
4
82
3
33
2
12
1
2

Recently viewed by you

Why students choose Stuvia

Created by fellow students, verified by reviews

Quality you can trust: written by students who passed their tests and reviewed by others who've used these notes.

Didn't get what you expected? Choose another document

No worries! You can instantly pick a different document that better fits what you're looking for.

Pay as you like, start learning right away

No subscription, no commitments. Pay the way you're used to via credit card and download your PDF document instantly.

Student with book image

“Bought, downloaded, and aced it. It really can be that simple.”

Alisha Student

Frequently asked questions