100% satisfaction guarantee Immediately available after payment Both online and in PDF No strings attached 4.6 TrustPilot
logo-home
Exam (elaborations)

CLG 001 DoD Governmentwide Commercial Purchase Card Overview Exam 100%

Rating
-
Sold
-
Pages
5
Grade
A+
Uploaded on
10-05-2024
Written in
2023/2024

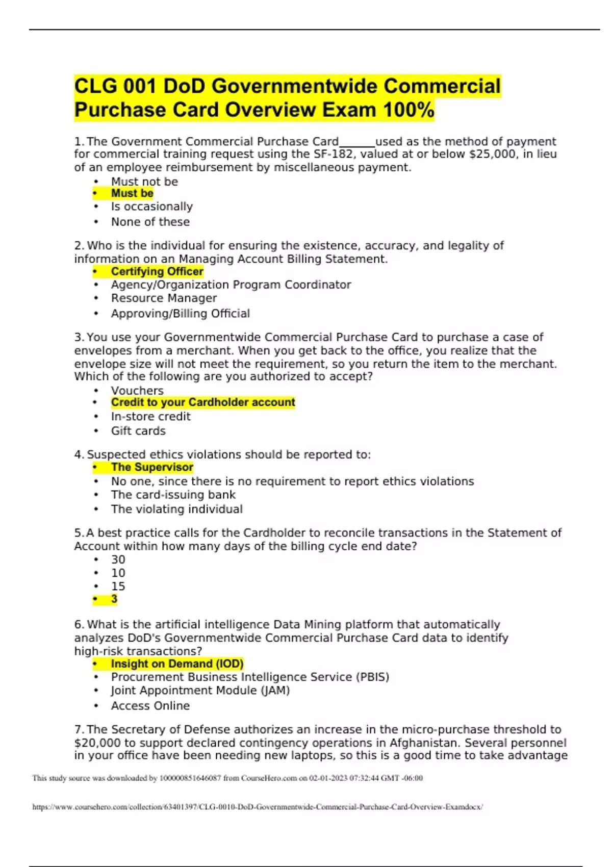
CLG 001 DoD Governmentwide Commercial Purchase Card Overview Exam 100% 1. The Government Commercial Purchase Card used as the method of payment for commercial training request using the SF-182, valued at or below $25,000, in lieu of an employee reimbursement by miscellaneous payment. • Must not be • Must be • Is occasionally • None of these 2. Who is the individual for ensuring the existence, accuracy, and legality of information on an Managing Account Billing Statement. • Certifying Officer • Agency/Organization Program Coordinator • Resource Manager • Approving/Billing Official 3. You use your Governmentwide Commercial Purchase Card to purchase a case of envelopes from a merchant. When you get back to the office, you realize that the envelope size will not meet the requirement, so you return the item to the merchant. Which of the following are you authorized to accept? • Vouchers • Credit to your Cardholder account • In-store credit • Gift cards 4. Suspected ethics violations should be reported to: • The Supervisor • No one, since there is no requirement to report ethics violations • The card-issuing bank • The violating individual 5. A best practice calls for the Cardholder to reconcile transactions in the Statement of Account within how many days of the billing cycle end date? • 30 • 10 • 15 3 6. What is the artificial intelligence Data Mining platform that automatically analyzes DoD's Governmentwide Commercial Purchase Card data to identify high-risk transactions? • Insight on Demand (IOD) • Procurement Business Intelligence Service (PBIS) • Joint Appointment Module (JAM) • Access Online 7. The Secretary of Defense authorizes an increase in the micro-purchase threshold to $20,000 to support declared contingency operations in Afghanistan. Several personnel in your office have been needing new laptops, so this is a good time to take advantage of the increase and purchase 20 laptops at $500 each for a total price of $10,000. • True

Show more Read less
Institution
CLG 001 DoD
Course
CLG 001 DoD









Whoops! We can’t load your doc right now. Try again or contact support.

Written for

Institution
CLG 001 DoD
Course
CLG 001 DoD

Document information

Uploaded on
May 10, 2024
Number of pages
5
Written in
2023/2024
Type
Exam (elaborations)
Contains
Questions & answers

Subjects

$8.49
Get access to the full document:

100% satisfaction guarantee
Immediately available after payment
Both online and in PDF
No strings attached

Get to know the seller
Seller avatar
ACADEMICLIBRARY
5.0
(1)

Get to know the seller

Seller avatar
ACADEMICLIBRARY Teachme2-tutor
View profile
Follow You need to be logged in order to follow users or courses
Sold
5
Member since
1 year
Number of followers
2
Documents
554
Last sold
7 months ago
ACADEMICLIBRARY

I have solutions for the following subjects: Nursing, Business, Accounting, statistics, chemistry, Biology, and all other subjects Nursing Being my main profession line, I have essential guides that are Almost A+ graded, I am a very friendly person: If you don't not agree with my solutions I am ready for a refund

5.0

1 reviews

5
1
4
0
3
0
2
0
1
0

Why students choose Stuvia

Created by fellow students, verified by reviews

Quality you can trust: written by students who passed their tests and reviewed by others who've used these notes.

Didn't get what you expected? Choose another document

No worries! You can instantly pick a different document that better fits what you're looking for.

Pay as you like, start learning right away

No subscription, no commitments. Pay the way you're used to via credit card and download your PDF document instantly.

Student with book image

“Bought, downloaded, and aced it. It really can be that simple.”

Alisha Student

Frequently asked questions