100% satisfaction guarantee Immediately available after payment Both online and in PDF No strings attached 4.6 TrustPilot
logo-home
Exam (elaborations)

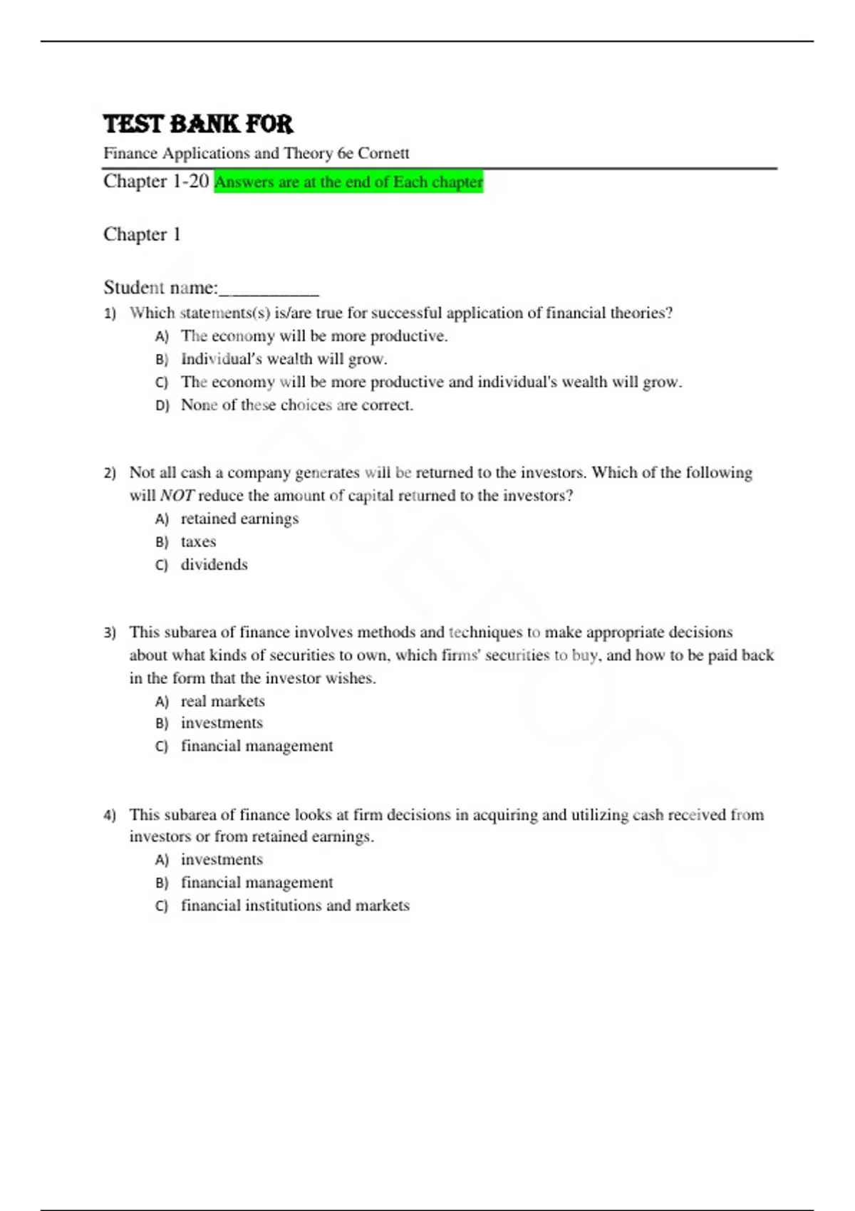
Test Bank for Finance Applications and Theory 6th Edition by Marcia Cornett, Troy Adair, John Nofsinger

Rating
-
Sold
-
Pages
848
Grade
A+
Uploaded on
08-05-2024
Written in
2023/2024

Test Bank for Finance Applications and Theory 6th Edition by Marcia Cornett, Troy Adair, John Nofsinger

Institution
Finance Applications And Theory 6th Edition
Course
Finance Applications and Theory 6th Edition











Whoops! We can’t load your doc right now. Try again or contact support.

Written for

Institution
Finance Applications and Theory 6th Edition
Course
Finance Applications and Theory 6th Edition

Document information

Uploaded on
May 8, 2024
Number of pages
848
Written in
2023/2024
Type
Exam (elaborations)
Contains
Questions & answers

Subjects

Get to know the seller

Seller avatar
Reputation scores are based on the amount of documents a seller has sold for a fee and the reviews they have received for those documents. There are three levels: Bronze, Silver and Gold. The better the reputation, the more your can rely on the quality of the sellers work.
whizznurse Boston College
View profile
Follow You need to be logged in order to follow users or courses
Sold
131
Member since
1 year
Number of followers
39
Documents
410
Last sold
3 weeks ago
NURSING HUBS: LIBRARIES

Welcome to Nursing Hub! The place to find the best study materials for various subjects. You can be assured that you will receive only the best which will help you to ace your exams. All the materials posted are A+ Graded. Please rate and write a review after using my materials. Your reviews will motivate me to add more materials. Thank you very much!

3.6

18 reviews

5
9
4
1
3
3
2
2
1
3

Recently viewed by you

Why students choose Stuvia

Created by fellow students, verified by reviews

Quality you can trust: written by students who passed their tests and reviewed by others who've used these notes.

Didn't get what you expected? Choose another document

No worries! You can instantly pick a different document that better fits what you're looking for.

Pay as you like, start learning right away

No subscription, no commitments. Pay the way you're used to via credit card and download your PDF document instantly.

Student with book image

“Bought, downloaded, and aced it. It really can be that simple.”

Alisha Student

Frequently asked questions