100% satisfaction guarantee Immediately available after payment Both online and in PDF No strings attached 4.2 TrustPilot
logo-home
Exam (elaborations)

APHY 101 MIDTERM EXAM LATEST QUESTIONS AND CORRECT ANSWERS IVY TECH COMMUNITY COLLEGE INDIANAPOIS

Rating
-
Sold
-
Pages
13
Grade
A+
Uploaded on
13-02-2024
Written in
2023/2024

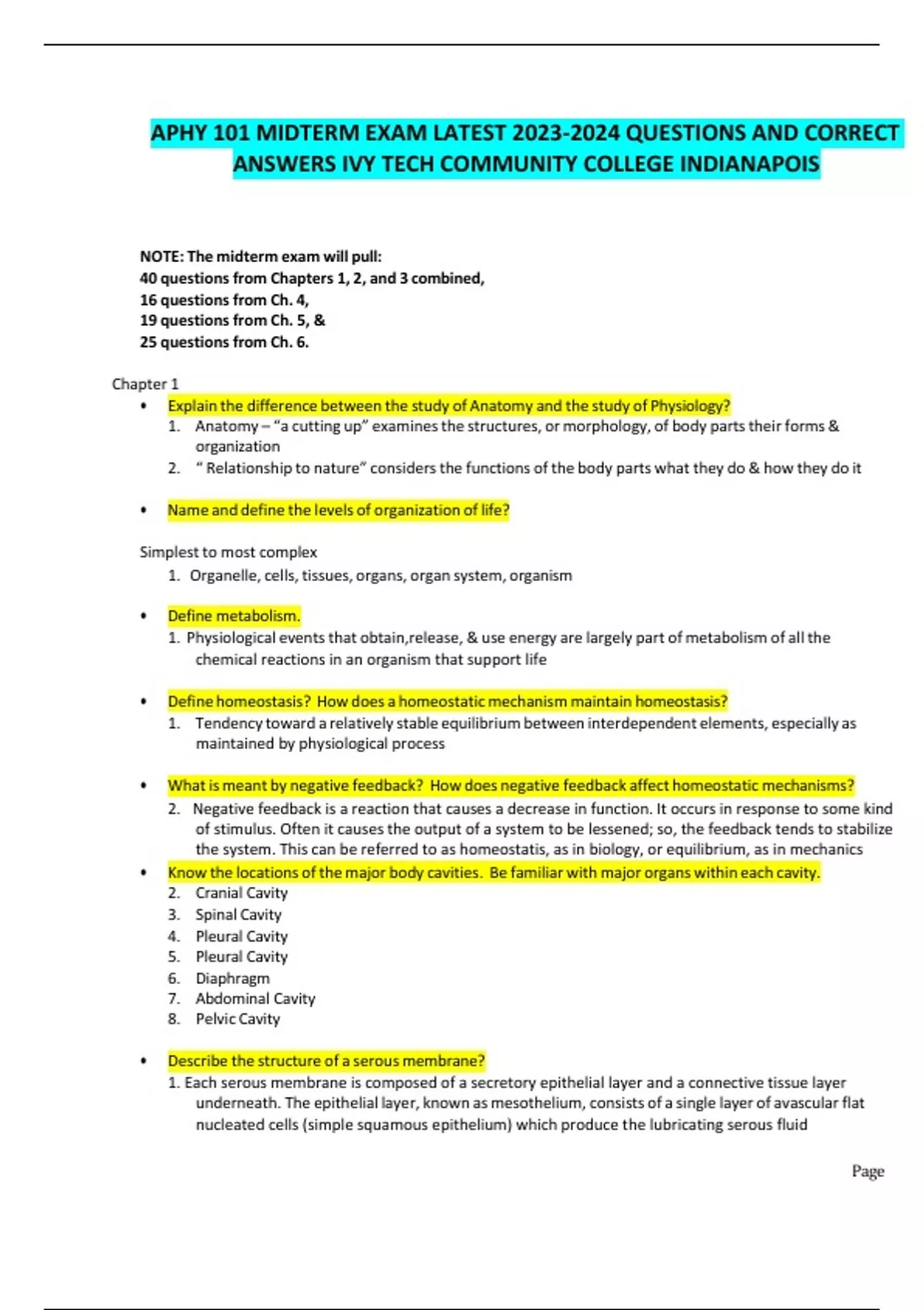
APHY 101 MIDTERM EXAM LATEST QUESTIONS AND CORRECT ANSWERS IVY TECH COMMUNITY COLLEGE INDIANAPOISAPHY 101 MIDTERM EXAM LATEST QUESTIONS AND CORRECT ANSWERS IVY TECH COMMUNITY COLLEGE INDIANAPOISAPHY 101 MIDTERM EXAM LATEST QUESTIONS AND CORRECT ANSWERS IVY TECH COMMUNITY COLLEGE INDIANAPOISAPHY 101 MIDTERM EXAM LATEST QUESTIONS AND CORRECT ANSWERS IVY TECH COMMUNITY COLLEGE INDIANAPOISAPHY 101 MIDTERM EXAM LATEST QUESTIONS AND CORRECT ANSWERS IVY TECH COMMUNITY COLLEGE INDIANAPOISAPHY 101 MIDTERM EXAM LATEST QUESTIONS AND CORRECT ANSWERS IVY TECH COMMUNITY COLLEGE INDIANAPOIS

Show more Read less
Institution
APHY 101
Course
APHY 101









Whoops! We can’t load your doc right now. Try again or contact support.

Written for

Institution
APHY 101
Course
APHY 101

Document information

Uploaded on
February 13, 2024
Number of pages
13
Written in
2023/2024
Type
Exam (elaborations)
Contains
Questions & answers

Subjects

$13.49
Get access to the full document:

100% satisfaction guarantee
Immediately available after payment
Both online and in PDF
No strings attached

Get to know the seller
Seller avatar
KICKIE

Get to know the seller

Seller avatar
KICKIE Chamberlain College Of Nursing
View profile
Follow You need to be logged in order to follow users or courses
Sold
0
Member since
2 year
Number of followers
0
Documents
110
Last sold
-

0.0

0 reviews

5
0
4
0
3
0
2
0
1
0

Recently viewed by you

Why students choose Stuvia

Created by fellow students, verified by reviews

Quality you can trust: written by students who passed their tests and reviewed by others who've used these notes.

Didn't get what you expected? Choose another document

No worries! You can instantly pick a different document that better fits what you're looking for.

Pay as you like, start learning right away

No subscription, no commitments. Pay the way you're used to via credit card and download your PDF document instantly.

Student with book image

“Bought, downloaded, and aced it. It really can be that simple.”

Alisha Student

Frequently asked questions