100% satisfaction guarantee Immediately available after payment Both online and in PDF No strings attached 4.6 TrustPilot
logo-home
Exam (elaborations)

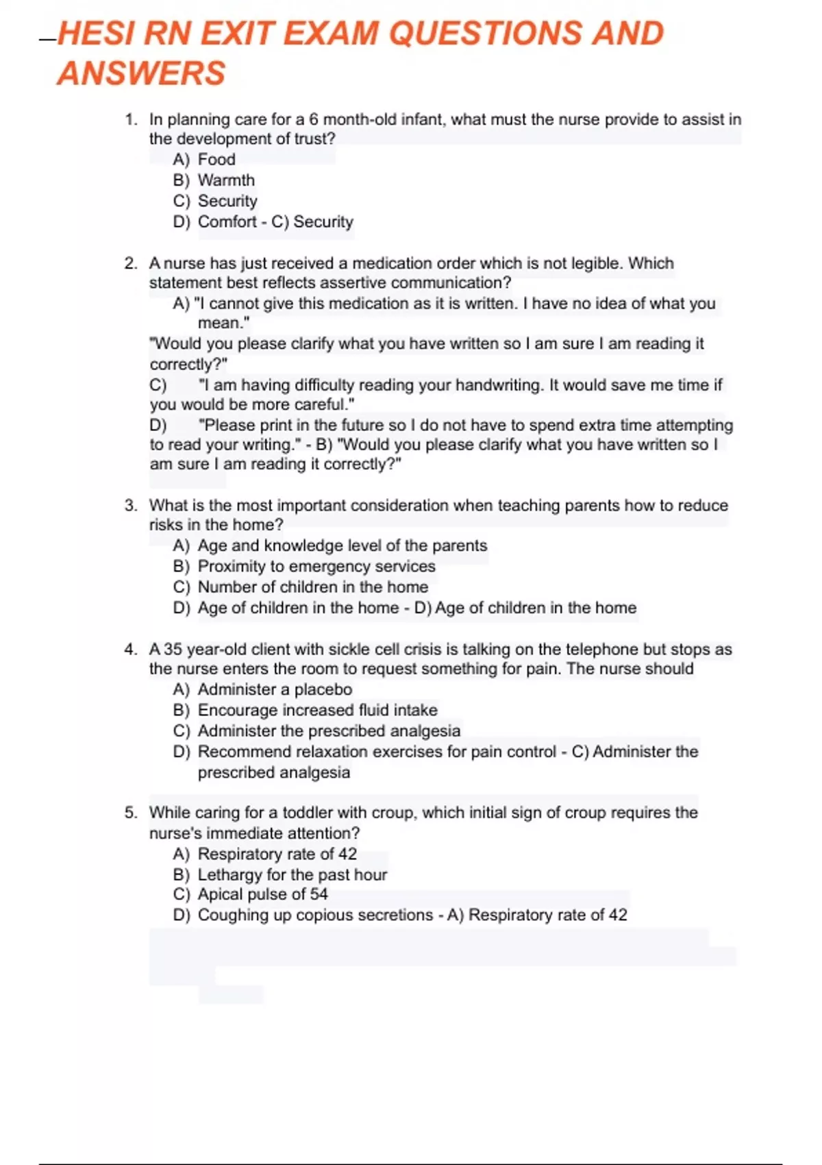
HESI RN EXIT Exam Questions and Verified Correct Answers | Brand New !!!! Guaranteed A+

Rating
-
Sold
-
Pages
30
Grade
A+
Uploaded on
30-01-2024
Written in
2023/2024

HESI RN EXIT Exam Questions and Verified Correct Answers | Brand New !!!! Guaranteed A+

Institution
HESI RN EXIT
Course
HESI RN EXIT










Whoops! We can’t load your doc right now. Try again or contact support.

Written for

Institution
HESI RN EXIT
Course
HESI RN EXIT

Document information

Uploaded on
January 30, 2024
Number of pages
30
Written in
2023/2024
Type
Exam (elaborations)
Contains
Questions & answers

Subjects

Get to know the seller

Seller avatar
Reputation scores are based on the amount of documents a seller has sold for a fee and the reviews they have received for those documents. There are three levels: Bronze, Silver and Gold. The better the reputation, the more your can rely on the quality of the sellers work.
Andymoh Chamberlain College Of Nursing
View profile
Follow You need to be logged in order to follow users or courses
Sold
3219
Member since
4 year
Number of followers
2383
Documents
4509
Last sold
4 hours ago
QUALITY DOCUMENTS FOR BEST RESULTS.

In my page you will find latest Exams, Test Banks,Solutions Manual, Exam Elaboration, Discussions, Case Studies,Essays etc. I upload quality and verified documents at an affordable price. Also check out the package deal and be guaranteed to pass. Help others to benefit from this study materials by leaving a review, SUCCESS.

4.1

655 reviews

5
392
4
111
3
63
2
23
1
66

Recently viewed by you

Why students choose Stuvia

Created by fellow students, verified by reviews

Quality you can trust: written by students who passed their tests and reviewed by others who've used these notes.

Didn't get what you expected? Choose another document

No worries! You can instantly pick a different document that better fits what you're looking for.

Pay as you like, start learning right away

No subscription, no commitments. Pay the way you're used to via credit card and download your PDF document instantly.

Student with book image

“Bought, downloaded, and aced it. It really can be that simple.”

Alisha Student

Frequently asked questions