100% satisfaction guarantee Immediately available after payment Both online and in PDF No strings attached 4.6 TrustPilot
logo-home
Summary

Summary Precalculus 1.3– Complex Numbers (MAT 171)

Rating
-
Sold
-
Pages
4
Uploaded on
24-08-2023
Written in
2023/2024

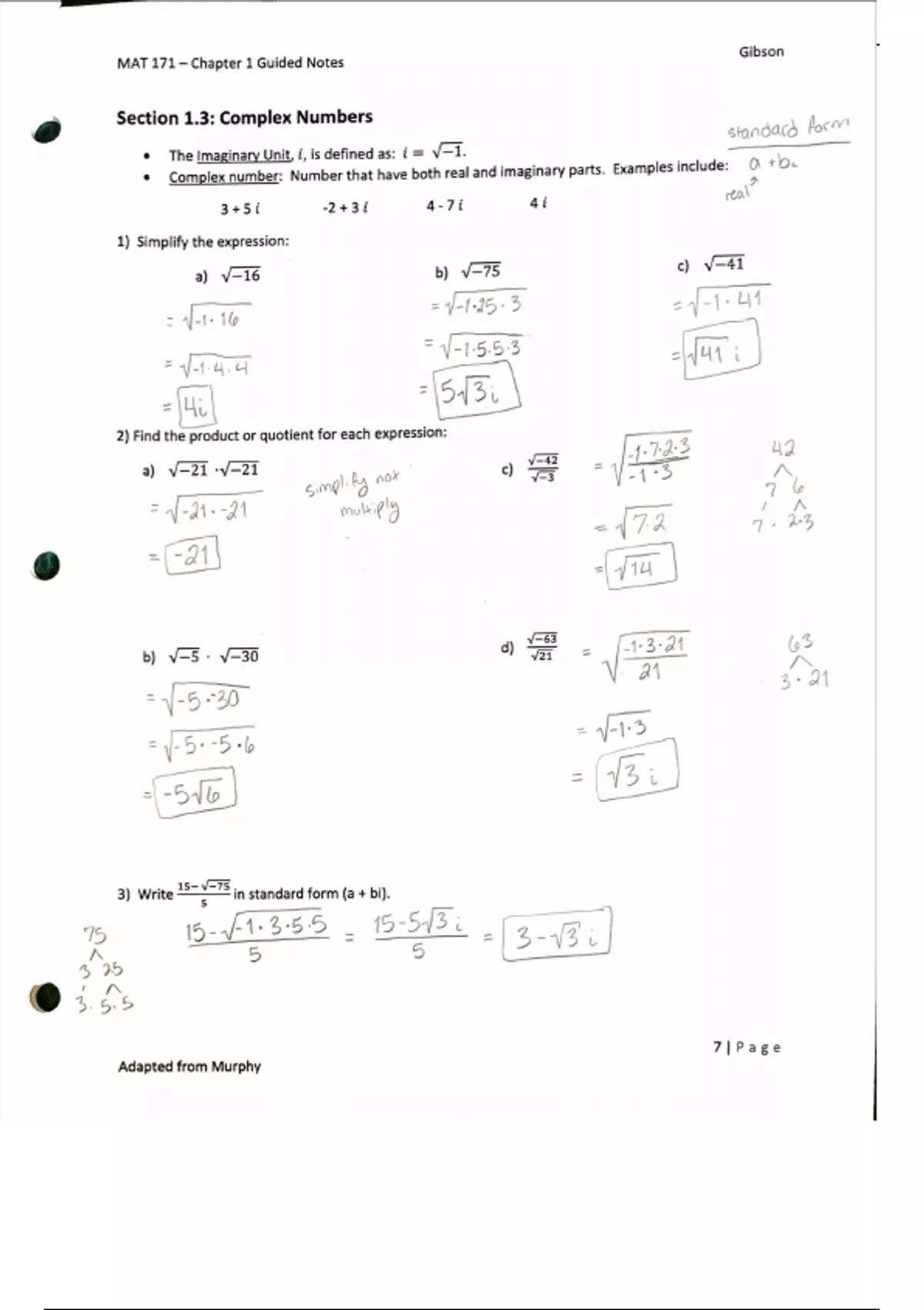
A document of 21 in-depth examples of solving and simplifying expressions with complex numbers, as well as definitions for types of units and other related terms, such as “conjugate”. Every problem is solved step-by-step and is perfect for following along. Also defines common algebraic terminology.

Show more Read less
Institution
Junior / 11th Grade
Course
Precalculus








Whoops! We can’t load your doc right now. Try again or contact support.

Written for

Institution
Junior / 11th grade
Course
Precalculus
School year
3

Document information

Uploaded on
August 24, 2023
Number of pages
4
Written in
2023/2024
Type
Summary

Subjects

$10.59
Get access to the full document:

100% satisfaction guarantee
Immediately available after payment
Both online and in PDF
No strings attached

Get to know the seller
Seller avatar
strAightAstudents

Get to know the seller

Seller avatar
strAightAstudents Guilford Technical Community College
View profile
Follow You need to be logged in order to follow users or courses
Sold
1
Member since
2 year
Number of followers
1
Documents
9
Last sold
2 year ago
StraightA’s

A perfect resource for high schoolers looking for notes for very common or required classes. Get a 5 on your AP exams like me :)

0.0

0 reviews

5
0
4
0
3
0
2
0
1
0

Recently viewed by you

Why students choose Stuvia

Created by fellow students, verified by reviews

Quality you can trust: written by students who passed their tests and reviewed by others who've used these notes.

Didn't get what you expected? Choose another document

No worries! You can instantly pick a different document that better fits what you're looking for.

Pay as you like, start learning right away

No subscription, no commitments. Pay the way you're used to via credit card and download your PDF document instantly.

Student with book image

“Bought, downloaded, and aced it. It really can be that simple.”

Alisha Student

Frequently asked questions