100% satisfaction guarantee Immediately available after payment Both online and in PDF No strings attached 4.6 TrustPilot
logo-home
Exam (elaborations)

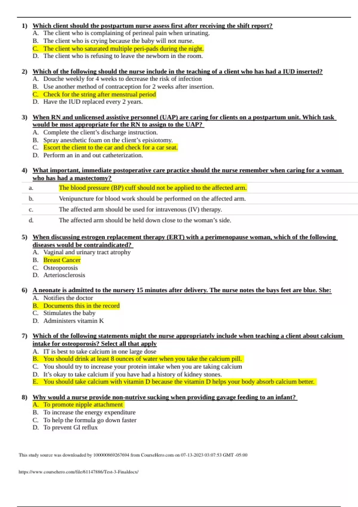
RNSG 2208 Test 3 Final.

Rating
-
Sold
-
Pages
5
Uploaded on
24-08-2023
Written in
2023/2024

RNSG 2208 Test 3 Final.

Institution
BSN, RN
Course
BSN, RN









Whoops! We can’t load your doc right now. Try again or contact support.

Written for

Institution
BSN, RN
Course
BSN, RN

Document information

Uploaded on
August 24, 2023
Number of pages
5
Written in
2023/2024
Type
Exam (elaborations)
Contains
Unknown

Get to know the seller

Seller avatar
Reputation scores are based on the amount of documents a seller has sold for a fee and the reviews they have received for those documents. There are three levels: Bronze, Silver and Gold. The better the reputation, the more your can rely on the quality of the sellers work.
ClemAcademia Walden University
View profile
Follow You need to be logged in order to follow users or courses
Sold
117
Member since
3 year
Number of followers
24
Documents
4337
Last sold
2 weeks ago
ClemAcademia

Hi, I'm a former nursing student who loves to share my knowledge and help others succeed. On this account, you'll find my past study notes and papers for nursing and other programs that I've taken or reviewed. They are high-quality, well-organized and easy to understand. Whether you need a quick refresher, a detailed explanation or a sample essay, I've got you covered. Plus, they are all infused with my sense of humor and personality, so you won't get bored while studying. Trust me, you'll be glad you bought them!

Read more Read less
3.7

16 reviews

5
9
4
1
3
2
2
0
1
4

Trending documents

Recently viewed by you

Why students choose Stuvia

Created by fellow students, verified by reviews

Quality you can trust: written by students who passed their tests and reviewed by others who've used these notes.

Didn't get what you expected? Choose another document

No worries! You can instantly pick a different document that better fits what you're looking for.

Pay as you like, start learning right away

No subscription, no commitments. Pay the way you're used to via credit card and download your PDF document instantly.

Student with book image

“Bought, downloaded, and aced it. It really can be that simple.”

Alisha Student

Frequently asked questions