100% tevredenheidsgarantie Direct beschikbaar na je betaling Lees online óf als PDF Geen vaste maandelijkse kosten 4,6 TrustPilot
logo-home
College aantekeningen

Pathophysiology Exam #1 Answered Elaborated further Summer 2024.

Beoordeling
5.0
(1)
Verkocht
4
Pagina's
36
Geüpload op
15-08-2024
Geschreven in
2024/2025

Module 1: Genetics Module 2: Immunity, Injury, Inflammation, and Infection (CH 2,4,8,9,10) Module 3 Fluids, Electrolytes, and Urinary System Pathophysiology (Ch. 24, 25, 26, 27, 28) Allergic Rhinitis (Adult) Otitis Media ETC..

Meer zien Lees minder











Oeps! We kunnen je document nu niet laden. Probeer het nog eens of neem contact op met support.

Documentinformatie

Geüpload op
15 augustus 2024
Aantal pagina's
36
Geschreven in
2024/2025
Type
College aantekeningen
Docent(en)
Prof
Bevat
Alle colleges

Onderwerpen

Voorbeeld van de inhoud

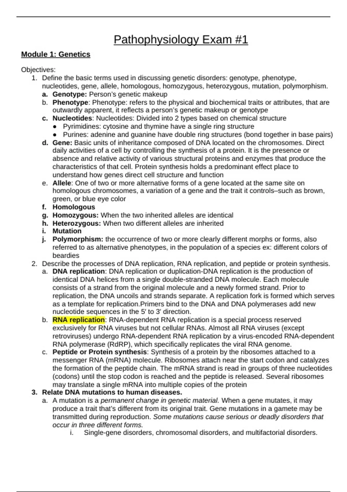
Pathophysiology Exam #1
Module 1: Genetics

Objectives:
1. Define the basic terms used in discussing genetic disorders: genotype, phenotype,
nucleotides, gene, allele, homologous, homozygous, heterozygous, mutation, polymorphism.
a. Genotype: Person’s genetic makeup
b. Phenotype: Phenotype: refers to the physical and biochemical traits or attributes, that are
outwardly apparent, it reflects a person’s genetic makeup or genotype
c. Nucleotides: Nucleotides: Divided into 2 types based on chemical structure
● Pyrimidines: cytosine and thymine have a single ring structure
● Purines: adenine and guanine have double ring structures (bond together in base pairs)
d. Gene: Basic units of inheritance composed of DNA located on the chromosomes. Direct
daily activities of a cell by controlling the synthesis of a protein. It is the presence or
absence and relative activity of various structural proteins and enzymes that produce the
characteristics of that cell. Protein synthesis holds a predominant effect place to
understand how genes direct cell structure and function
e. Allele: One of two or more alternative forms of a gene located at the same site on
homologous chromosomes, a variation of a gene and the trait it controls–such as brown,
green, or blue eye color
f. Homologous
g. Homozygous: When the two inherited alleles are identical
h. Heterozygous: When two different alleles are inherited
i. Mutation
j. Polymorphism: the occurrence of two or more clearly different morphs or forms, also
referred to as alternative phenotypes, in the population of a species ex: different colors of
beardies
2. Describe the processes of DNA replication, RNA replication, and peptide or protein synthesis.
a. DNA replication: DNA replication or duplication-DNA replication is the production of
identical DNA helices from a single double-stranded DNA molecule. Each molecule
consists of a strand from the original molecule and a newly formed strand. Prior to
replication, the DNA uncoils and strands separate. A replication fork is formed which serves
as a template for replication.Primers bind to the DNA and DNA polymerases add new
nucleotide sequences in the 5′ to 3′ direction.
b. RNA replication: RNA-dependent RNA replication is a special process reserved
exclusively for RNA viruses but not cellular RNAs. Almost all RNA viruses (except
retroviruses) undergo RNA-dependent RNA replication by a virus-encoded RNA-dependent
RNA polymerase (RdRP), which specifically replicates the viral RNA genome.
c. Peptide or Protein synthesis: Synthesis of a protein by the ribosomes attached to a
messenger RNA (mRNA) molecule. Ribosomes attach near the start codon and catalyzes
the formation of the peptide chain. The mRNA strand is read in groups of three nucleotides
(codons) until the stop codon is reached and the peptide is released. Several ribosomes
may translate a single mRNA into multiple copies of the protein
3. Relate DNA mutations to human diseases.
a. A mutation is a permanent change in genetic material. When a gene mutates, it may
produce a trait that’s different from its original trait. Gene mutations in a gamete may be
transmitted during reproduction. Some mutations cause serious or deadly disorders that
occur in three different forms.
i. Single-gene disorders, chromosomal disorders, and multifactorial disorders.

, 4. Relate patterns of inheritance to selected genetic disorders.
5. Discuss how environmental factors produce inherited diseases through epigenetic processes.




Chromosomes
● Human karyotype
○ Human karyotype consists of 22 pairs of autosomes and two sex chromosomes (46 total)
○ A karyotype is an individual’s complete set of chromosomes. The term also refers to a
laboratory-produced image of a person’s chromosomes isolated from an individual cell and
arranged in numerical order.
○ A karyotype may be used to look for abnormalities in chromosome number or structure.
● Homologous chromosomes
○ 22 of 23 paired chromosomes- also called autosomes. Pertains to one of a pair of
chromosomes with the same gene sequence, loci, chromosomal length, and a centromere
location homologous pair consists of one paternal and one maternal chromosome.
● Sex chromosomes
○ XX-Female XY-Male Involved in sex determination.
● Ideogram
○ Provide a pictorial reference point that is useful for locating the positions of individual genes on
chromosomes, as well as for identifying various abnormalities associated with a range of
chromosomal disorders.
● Centromere
○ The centromere appears as a constricted region of a chromosome and plays a key role in
helping the cell divide up its DNA during division (mitosis and meiosis).
○ Specifically, it is the region where the cell’s spindle fibers attach.
○ Following attachment of the spindle fibers to the centromere, the two identical sister
chromatids that make up the replicated chromosome are pulled to opposite sides of the
dividing cell, such that the two resulting daughter cells end up with identical DNA.
● Chromatid
○ One half of a duplicated chromosome. Before replication, one chromosome is composed of
one DNA molecule. In replication, the DNA molecule is copied, and the two molecules are
known as chromatids.During the later stages of cell division these chromatids separate
longitudinally to become individual chromosomes.
● Chromosome regions: allows mapping to occur for communications

,● Alleles: Different forms of same gene (genes specify which trait (eye color), Alleles specifies form
genes take (blue, green, brown).One of two or more alternative forms of a gene located at the
same site on homologous Chromosomes. Two alleles for each gene, one received from each
parent.
○ Homozygous alleles: Alleles that match identically on opposing chromosomes or opposite
sides of the chromatid. Ex: CF=homozygous disease (both diseased alleles must match for
disease to present)
○ Heterozygous alleles: Alleles that don’t match on opposite sides of the chromatid. Ex:
Huntington’s =heterozygous disease (Only takes one inherited allele for disease to present)
● Chromosomal nondisjunction
○ Monosomy: one set of chromosomes received from parent during conception. Ex: Turner
syndrome: 45 pairs
○ Trisomy: 3 sets of chromosomes received from parents; Ex: down syndrome: 47 pairs
○ Mosaicism: Presence of 2 or more cell populations with different chromosomal numbers in 1
individual.

Cell Division




● Cell Cycle: a series of events that takes place in a cell as it grows and divides. A cell spends
most of its time in what is called interphase, and during this time, it grows, replicates its
chromosomes, and prepares for cell division.
○ G0 phase: “Resting phase.” Cell is neither dividing nor preparing for division (happens right
after mitosis)
○ G1 phase: The cell grows in size and synthesizes mRNA and protein that are required for
DNA synthesis. Once the required proteins and growth are complete, the cell enters the S
phase
○ S phase: “Synthesis.” When DNA replication and much of the DNA repair activity occurs in
cells. DNA replication is thought to proceed as large factories, consisting of large clusters of
proteins, at the DNA replication fork.
○ G2 phase: A period of rapid cell growth and protein synthesis during which the cell prepares
itself for mitosis
○ M phase: Cell division. Nuclear division (mitosis) followed by cytoplasmic division
(Cytokinesis)

, ■ The DNA is replicated in the preceding S phase; the two copies of each replicated
chromosome (called sister chromatids) remain glued together by cohesins.


● Mitosis: Goal is making identical cells. A
type of cell division that results in daughter
cells with chromosomes that are identical
to the parent cells. Occurs in somatic cells
(asexual cells)
○ Interphase: duplicating their DNAs,
“Daily living” or metabolic phase of the
cell, in which the cell obtains nutrients
and metabolizes them, grows,
replicates its DNA in preparation for
mitosis, and conducts other “normal”
cell functions
○ Prophase: Beginning steps where the nucleus is still there. A cell’s genetic DNA condenses,
spindle fibers begin to form and the nuclear envelope dissolves.
○ Metaphase: Chromosomes line up in the middle waiting. The duplicated chromosomes line up
and spindle fibers connect to the centromeres.
○ Telophase: T for two cells. The cells are identical. Chromosomes begin to unwind and the
nuclear envelope reforms.


● Meiosis: A type of cell division
that results in daughter cells
with one-half the normal
number of chromosomes (sex
cells or gametes)
○ Meiosis I: The initial phase
of meiosis where one
parent cell divides into two
daughter cells. This stage
is where homologous pairs
of chromosomes will
segregate and separate
from each other and move
into the two daughter cells
which results in the division
of the total chromosome
number by half.
○ Meiosis II: The two
chromatids will then
separate and segregate
into two daughter cells. Therefore, at the end of meiosis II, four daughter haploid cells are
produced, each containing one copy of each chromosome.
■ The mechanics of meiosis II are similar to mitosis, except that each dividing cell has only
one set of homologous chromosomes.
● Chiasmata: A structure that forms between a pair of homologous chromosomes by crossover
recombination and physically links the homologous chromosomes during meiosis.
● X inactivation: A process by which one of the copies of the X chromosome is inactivated in their
female mammals. The inactive X chromosome is silenced.

Beoordelingen van geverifieerde kopers

Alle reviews worden weergegeven
7 maanden geleden

5.0

1 beoordelingen

5
1
4
0
3
0
2
0
1
0
Betrouwbare reviews op Stuvia

Alle beoordelingen zijn geschreven door echte Stuvia-gebruikers na geverifieerde aankopen.

Maak kennis met de verkoper

Seller avatar
De reputatie van een verkoper is gebaseerd op het aantal documenten dat iemand tegen betaling verkocht heeft en de beoordelingen die voor die items ontvangen zijn. Er zijn drie niveau’s te onderscheiden: brons, zilver en goud. Hoe beter de reputatie, hoe meer de kwaliteit van zijn of haar werk te vertrouwen is.
Topscorer london
Bekijk profiel
Volgen Je moet ingelogd zijn om studenten of vakken te kunnen volgen
Verkocht
117
Lid sinds
5 jaar
Aantal volgers
13
Documenten
454
Laatst verkocht
1 dag geleden
Top Scorer

Helping all Students fulfill their educational, career and personal goals.

4.3

24 beoordelingen

5
16
4
3
3
3
2
0
1
2

Recent door jou bekeken

Waarom studenten kiezen voor Stuvia

Gemaakt door medestudenten, geverifieerd door reviews

Kwaliteit die je kunt vertrouwen: geschreven door studenten die slaagden en beoordeeld door anderen die dit document gebruikten.

Niet tevreden? Kies een ander document

Geen zorgen! Je kunt voor hetzelfde geld direct een ander document kiezen dat beter past bij wat je zoekt.

Betaal zoals je wilt, start meteen met leren

Geen abonnement, geen verplichtingen. Betaal zoals je gewend bent via Bancontact, iDeal of creditcard en download je PDF-document meteen.

Student with book image

“Gekocht, gedownload en geslaagd. Zo eenvoudig kan het zijn.”

Alisha Student

Veelgestelde vragen