100% satisfaction guarantee Immediately available after payment Both online and in PDF No strings attached 4.2 TrustPilot
logo-home
Exam (elaborations)

EGM 3601 Exam (Mechanics/Solid Mechanics) Chapter 4 Assignment 2025 | The Ultimate Guide for Yr. 2026/2027

Rating
-
Sold
-
Pages
12
Grade
A+
Uploaded on
09-12-2025
Written in
2025/2026

EGM 3601 Exam (Mechanics/Solid Mechanics) Chapter 4 Assignment 2025 | The Ultimate Guide for Yr. 2026/2027










Whoops! We can’t load your doc right now. Try again or contact support.

Document information

Uploaded on
December 9, 2025
Number of pages
12
Written in
2025/2026
Type
Exam (elaborations)
Contains
Questions & answers

Subjects

Content preview

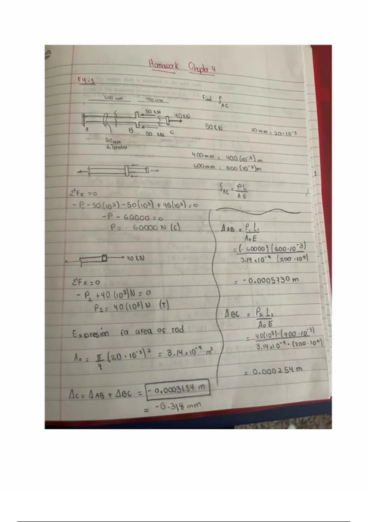
R TS e ch)

"""" COw_ Uagpn Yl §
. 7 AC
. ¢ 0 : )
Iz i > jnj*_:‘;{}—““iw
- — — 50(1\) 2
) i Fo ne S ’ Vwmm: 35103
20 mm T

— Oam g,
J\.OT‘G\BVA . - = i D8



d_gr_—flifl; ———— Q0mm - 600
(W 2w

| e T
_V.?jF_x_ ZOi ¢ bl % Sfi(’ R— k: A/
L-P-s0(g2)=50h@ +albed)-0
=P - 60000 =0 . = =
P- - coomo N () S e LA
Ac E
= [« 60000“'(600.19_-_3) hig v
“”F:fl‘_. 40 KN 240" (200 -10%)

SFxzo . - -0.0005130m
i LT N
"Px’«\lO(\o:‘\N:O EER
TEs
(1 e ABL P=>a . 24|4ie
-p1£d \
P =- 40 (\ 0?\V
iy AN
Expres\d\
fo_afeq O roq - _ yoli03)-(400
: ! Ll
e
: \0’3\1
3.4 07" - (200-10 gl
Ao - L (on - 3.M x\Q_“ o
\‘
- 0.000284Mm -

I 0. 0003LE4JM "
L A A y ABC 3\:'0003
2 —-6.2;\‘6 ) aae--

, s Raveuak Qe Y
L

i 4-1. The copper shall is subjected 1o t : N [,
B shown. Determine the displacen ent of end heA withaxial r loads
I to end D. The diameters of mh‘ w;n"‘n"“:‘ m‘ 3 th .t‘:pic:g S Wen Cens % \\\\ > \\5\ :
=z dygc = 2in..and dgyy = 1 in. Take Ey = “*(l“‘)":n. 3in, - |
= ® o : éAB: d1in b ind fMo &2
L5 P AV O » &Qg: 2w
\ \ d :
- e S0 i, e 75 in. —ok 60in — Q= i\“




k. VG
L Prob. 4-1 AE

- s
— : :
= LC)‘S_. eind e welacanent & <o %Q%fl‘B\'\ and Hren add ol i
i? : (:'\“A 5/4/0




= @ GK $ @ = @ -1 le

= Gho { e Boce’ G
i Pao
A 2Fx-0 SFx=0

4 zFx:O ‘6l§p+l*l*(366 =9 ‘A;PCQ
i 6K p 4 pAO:O pQ)c,-, 2 Yap Feo Kie

Go - Grie >
3 - P 2(38) 6’ PL _ (Al
el ool o 8.
[-A TAE C ILBVl
(2} (g 102
(0818
— ol y 7 = - )T LB I oY
@ At B 043

46 Ae L((e)loP [ § - 2080072 A -
-3 ? 6C Jepz 4Mx\0 " \n
)= 23S0 in
1%


—\.\‘


: S,\Bk Lot Sco 21163 x\0 \nl
\S)A-—»O - ZfS

Get to know the seller

Seller avatar
Reputation scores are based on the amount of documents a seller has sold for a fee and the reviews they have received for those documents. There are three levels: Bronze, Silver and Gold. The better the reputation, the more your can rely on the quality of the sellers work.
Studyacesmart Teachme2-tutor
View profile
Follow You need to be logged in order to follow users or courses
Sold
3050
Member since
11 months
Number of followers
36
Documents
1600
Last sold
1 day ago
professional academic Tutor

As trusted professional working as study material sourcing agents, We offer authentic exam papers directly sourced from reputable institutions, (with genuine copyright) Our papers serve as invaluable tools to aid aspiring nurses and many other professions in their exam preparations. Backed by Our experience and expertise, We ensure that each paper is meticulously crafted. NOTE!! Supper Discounted, Comprehensive Bundle Packages with Seamless Content, Tailored to Summarize &amp; Perfect each Subject. STUDY LESS STUDY SMART.

Read more Read less
4.2

555 reviews

5
278
4
175
3
68
2
22
1
12

Recently viewed by you

Why students choose Stuvia

Created by fellow students, verified by reviews

Quality you can trust: written by students who passed their tests and reviewed by others who've used these notes.

Didn't get what you expected? Choose another document

No worries! You can instantly pick a different document that better fits what you're looking for.

Pay as you like, start learning right away

No subscription, no commitments. Pay the way you're used to via credit card and download your PDF document instantly.

Student with book image

“Bought, downloaded, and aced it. It really can be that simple.”

Alisha Student

Frequently asked questions