100% satisfaction guarantee Immediately available after payment Both online and in PDF No strings attached 4.2 TrustPilot
logo-home
Class notes

class notes and worksheets

Rating
-
Sold
-
Pages
4
Uploaded on
15-10-2025
Written in
2025/2026

Lecture notes of 4 pages for the course MAT283 at Bergen Community College (notes)









Whoops! We can’t load your doc right now. Try again or contact support.

Document information

Uploaded on
October 15, 2025
Number of pages
4
Written in
2025/2026
Type
Class notes
Professor(s)
Doj
Contains
All classes

Content preview

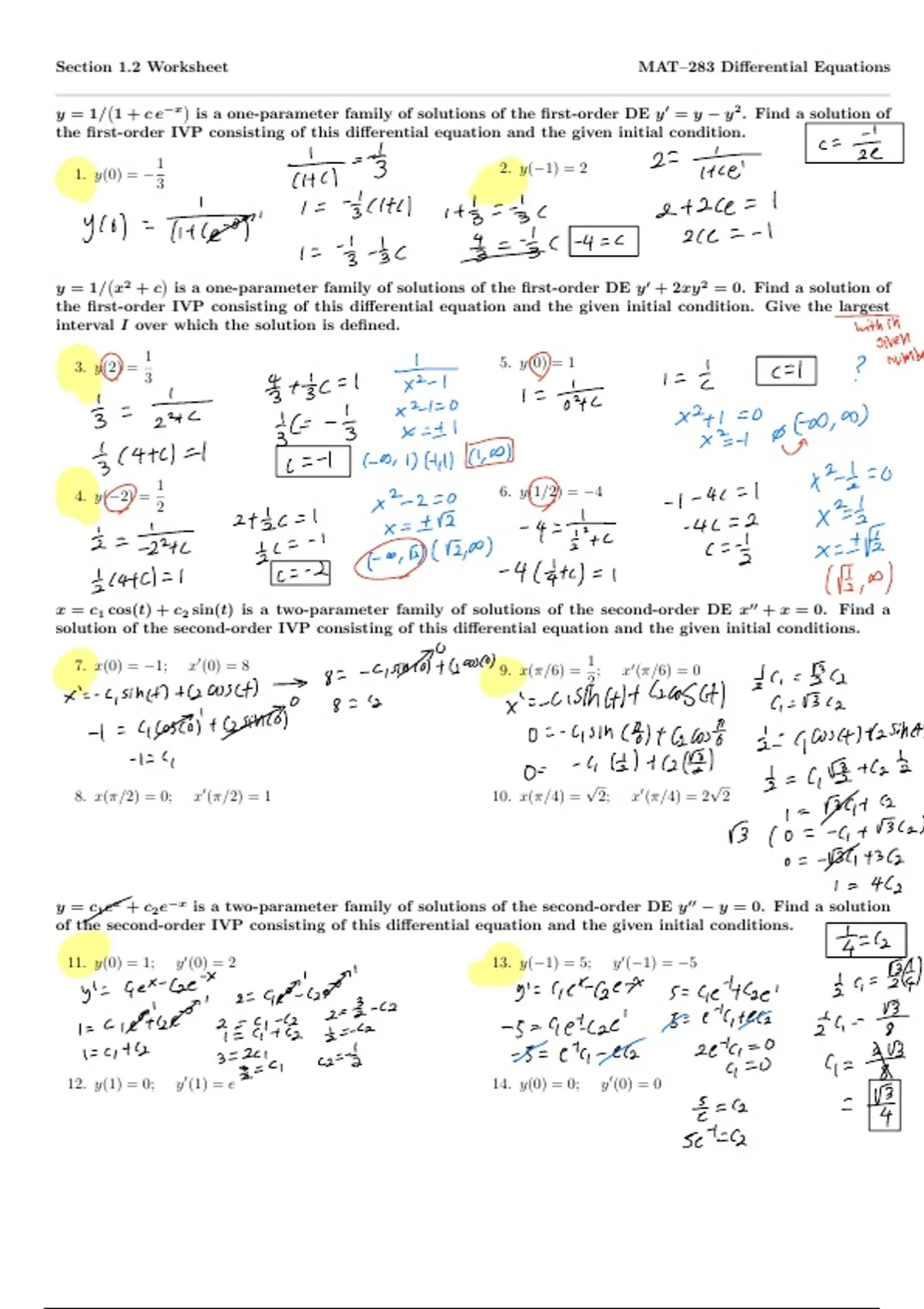
Section 1.2 Worksheet MAT–283 Di↵erential Equations


y = 1/ 1 + c e x is a one-parameter family of solutions of the first-order DE y 0 = y y 2 . Find a solution of
the first-order IVP consisting of this di↵erential equation and the given initial condition.
c
2 Fei
ÉÉ
1 2. y( 1) = 2
1. y(0) =
3

it's be at
yeol Ee 1 1C C 4 C E
y = 1/ x + c is a one-parameter family of solutions of the first-order DE y 0 + 2xy 2 = 0. Find a solution of
2

the first-order IVP consisting of this di↵erential equation and the given initial condition. Give the largest
interval I over which the solution is defined.

1 5. y(0) = 1 Thieme
3. y(2) =
3 5 1
1


4. y( 2) =
4 4
1
ii 6. y(1/2) = 4 21 0
2
1
2



aol.ae E
y n
re
x = c1 cos(t) + c2 sin(t) is a two-parameter family of solutions of the second-order DE x00 + x = 0. Find a
solution of the second-order IVP consisting of this di↵erential equation and the given initial conditions.

7. x(0) = 1; x0 (0) = 8 Tyosco 9. 1
Ea
x0 (⇡/6) = 0
8 cis x(⇡/6) =
2
;
csinct fast x cisihaltcause
oiteol8 itchiness.net
fi c
8. x(⇡/2) = 0; x0 (⇡/2) = 1 10. x(⇡/4) =
p
2;
p
x0 (⇡/4) = 2 2 1 1,63 12

IEEE
y = c1 ex + c2 e x is a two-parameter family of solutions of the second-order DE y 00 y = 0. Find a solution
of the second-order IVP consisting of this di↵erential equation and the given initial conditions.

11. y(0) = 1; y 0 (0) = 2 13. y( 1) = 5; y 0 ( 1) = 5 4 12
y GexCae g get get s Gettle a 4
1
taxi
4442
12. y(1) = 0; y 0 (1) = e
E 14. y(0) = 0;
E
y 0 (0) = 0
it G
3
$8.49
Get access to the full document:

100% satisfaction guarantee
Immediately available after payment
Both online and in PDF
No strings attached

Get to know the seller
Seller avatar
-8

Get to know the seller

Seller avatar
-8 bergen community college
View profile
Follow You need to be logged in order to follow users or courses
Sold
New on Stuvia
Member since
2 months
Number of followers
0
Documents
5
Last sold
-

0.0

0 reviews

5
0
4
0
3
0
2
0
1
0

Recently viewed by you

Why students choose Stuvia

Created by fellow students, verified by reviews

Quality you can trust: written by students who passed their tests and reviewed by others who've used these notes.

Didn't get what you expected? Choose another document

No worries! You can instantly pick a different document that better fits what you're looking for.

Pay as you like, start learning right away

No subscription, no commitments. Pay the way you're used to via credit card and download your PDF document instantly.

Student with book image

“Bought, downloaded, and aced it. It really can be that simple.”

Alisha Student

Frequently asked questions