100% satisfaction guarantee Immediately available after payment Both online and in PDF No strings attached 4.6 TrustPilot
logo-home
Class notes

Pharmacology Psychotropic Drugs

Rating
-
Sold
-
Pages
26
Uploaded on
19-09-2025
Written in
2024/2025

Here is a combination of my friend and I's notes regarding psychotropic drugs. Hope it helps. xoxo











Whoops! We can’t load your doc right now. Try again or contact support.

Document information

Uploaded on
September 19, 2025
Number of pages
26
Written in
2024/2025
Type
Class notes
Professor(s)
Dr. mj
Contains
All classes

Content preview

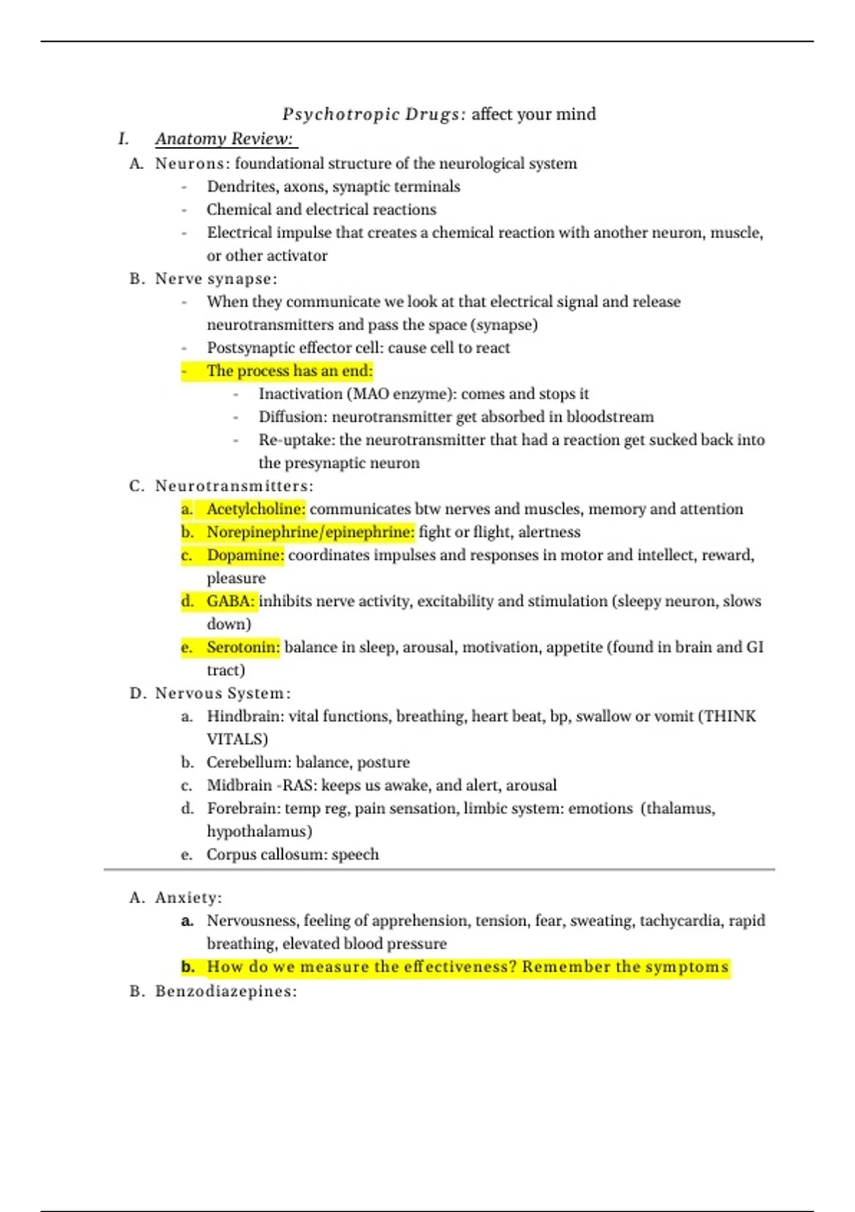
Psy ch otropic Dru gs: affect your mind
I. Anatomy Review:
A. Neur ons: foundational structure of the neurological system
- Dendrites, axons, synaptic terminals
- Chemical and electrical reactions
- Electrical impulse that creates a chemical reaction with another neuron, muscle,
or other activator
B . Ner ve synapse:
- When they communicate we look at that electrical signal and release
neurotransmitters and pass the space (synapse)
- Postsynaptic effector cell: cause cell to react
- The process has an end:
- Inactivation (MAO enzyme): comes and stops it
- Diffusion: neurotransmitter get absorbed in bloodstream
- Re-uptake: the neurotransmitter that had a reaction get sucked back into
the presynaptic neuron
C. Neur otr ansm itter s:
a. Acetylcholine: communicates btw nerves and muscles, memory and attention
b. Norepinephrine/epinephrine: fight or flight, alertness
c. Dopamine: coordinates impulses and responses in motor and intellect, reward,
pleasure
d. GABA: inhibits nerve activity, excitability and stimulation (sleepy neuron, slows
down)
e. Serotonin: balance in sleep, arousal, motivation, appetite (found in brain and GI
tract)
D. Ner vous System :
a. Hindbrain: vital functions, breathing, heart beat, bp, swallow or vomit (THINK
VITALS)
b. Cerebellum: balance, posture
c. Midbrain -RAS: keeps us awake, and alert, arousal
d. Forebrain: temp reg, pain sensation, limbic system: emotions (thalamus,
hypothalamus)
e. Corpus callosum: speech

A. Anxiety:
a. Nervousness, feeling of apprehension, tension, fear, sweating, tachycardia, rapid
breathing, elevated blood pressure
b. How do w e m easur e the eff ectiven ess? Rem em ber the sym ptom s
B . B enzodiazepines:

,a. Central nervous system depressants to induce calm and sleep. Makes GABA more
effective in the RAS. Suppresses the limbic system
b. Examples:
i. Shor t acting: alprazolam (xanax)
ii. Intermediate: clonazepam, lorazepam
iii. Long acting: diazepam
c. Indication: anxiety, anesthesia, seizures, alcohol withdrawal, muscle spasms
d. Side eff ects:
i. Primary: CNS depression (sedation/drowsiness, dizziness, hypotension)
ii. Wild cards:
iii. Paradoxical (rebound effect): excitement/anxiety
iv. Life threatening: respiratory depression, cardiac arrest,
dependence/abuse, withdrawal (in cr edibly addictive)
e. B enzo W ithdr aw al: I can’t STAND
i. Insomnia, pain HTN
ii. Sweating and seizures (SEIZURES!!! After stopping abruptly)
iii. Tremors and muscle spasms
iv. Anorexia and nausea
v. Nightmares and hallucinations
vi. Dizziness and headaches
1. Important:
a. How long has it been since you had it?
b. How long have you been on the medication
f. B enzo Toxicity: AB USED
i. Altered mental status
ii. Bradycardia
iii. Unable to walk
iv. Speech garbled
v. Experience hallucinations
vi. Decreased respirations
g. Patient teaching:
i. Do not consume ETOH or opioids
ii. Avoid activities that require focus such as driving
iii. Side effects may subside with time
iv. Do not stop medication abruptly
v. Tolerance to drug may develop
vi. Should not be used for everyday stress
vii. Do not use for prolonged periods
h. Nur sing im plication s:
i. PO is ideal route

, ii. If IV: give slow due to risk of respiratory arrest
iii. Taper (lessen the drug overtime) dose to discontinue
iv. Monitor for signs of toxicity - antidote is fl um azen il
v. Assess for hypotension and level of consciousness
vi. Older adults more susceptible to adverse events
vii. Assess effectiveness
viii. Safety measures for falls
ix. Caution with liver disease

A. B ar bitur ates: inhibit impulses in the cerebral cortex, RAS, and cerebellum by
enhancing the GABA receptors
B. Indication: preoperative sedation, anesthesia (brief procedures), anxiety, seizures,
induce coma with IICP
C. Side eff ects:
a. Primary: CNS depression
i. sedation/drowsiness
ii. Hypotension
iii. Bradycardia
iv. vertigo/ataxia
v. Hallucinations
vi. GI: N/V, constipation
b. Paradoxical: excitement
c. Life threatening: dependence, respiratory depression, cardiac arrest
D. Patient teaching:
a. Do not consume ETOH or opioids
b. Avoid activities that require focus such as driving
c. Do not stop medication abruptly
E. Nur sing Im plications:
a. If IV: give slow due to risk of respiratory arrest
b. Arrest IV site frequently - may cause tissue necrosis
c. Taper dose to discontinue
d. Have standby life-support
e. Monitor respiratory status before and after use
f. Seizure precautions
g. Safety measures for falls
F. Contraindication: Who should be cautioned when taking this drug?
a. Older adults
b. History of drug abuse/addiction
c. Cognitive impairment
d. Chronic respiratory conditions
$10.39
Get access to the full document:

100% satisfaction guarantee
Immediately available after payment
Both online and in PDF
No strings attached

Get to know the seller
Seller avatar
oliviad

Also available in package deal

Thumbnail
Package deal
Pharmacology Notes for Nursing School
-
7 2025
$ 68.53 More info

Get to know the seller

Seller avatar
oliviad College Of Saint Elizabeth
View profile
Follow You need to be logged in order to follow users or courses
Sold
0
Member since
3 months
Number of followers
0
Documents
12
Last sold
-
Living Life with Liv

Hi everyone! I hope that this account helps ease any stress you have with school. My goal is to provide as much help as possible to help you succeed on your education journey like I have. I strive to always have organized, precise, and colorful notes. Good luck :) xoxo

0.0

0 reviews

5
0
4
0
3
0
2
0
1
0

Recently viewed by you

Why students choose Stuvia

Created by fellow students, verified by reviews

Quality you can trust: written by students who passed their tests and reviewed by others who've used these notes.

Didn't get what you expected? Choose another document

No worries! You can instantly pick a different document that better fits what you're looking for.

Pay as you like, start learning right away

No subscription, no commitments. Pay the way you're used to via credit card and download your PDF document instantly.

Student with book image

“Bought, downloaded, and aced it. It really can be that simple.”

Alisha Student

Frequently asked questions