100% satisfaction guarantee Immediately available after payment Both online and in PDF No strings attached 4.6 TrustPilot
logo-home
Exam (elaborations)

NRNP6645FINAL EXAM/NRNP 6645 WEEK 11 FINAL EXAM LATEST REAL EXAM WITH 300+ QUESTIONS AND CORRECT ANSWERS|AGRADE (WALDEN UNIVERSITY

Rating
-
Sold
-
Pages
98
Grade
A+
Uploaded on
19-08-2025
Written in
2025/2026

NRNP6645FINAL EXAM/NRNP 6645 WEEK 11 FINAL EXAM LATEST REAL EXAM WITH 300+ QUESTIONS AND CORRECT ANSWERS|AGRADE (WALDEN UNIVERSITYThe advanced practice psychiatric nurse encourages a patient with gambling addiction to develop a relapse prevention plan. Which of the following is true about a relapse prevention plan? Which of the following is consistent with the psychotherapeutic approach used by existential psychotherapists? l l OOMM o oA AR Rc cP PSS D D| | 09 68 86 7 A Shame drives a person to engage in treatment while guilt drives a person to avoid . treatment. B Shame causes a person to perceive self as a failure and guilt causes avoidance of . treatment. C Guilt causes a person to perceive himself as a loser and shame drives a person to . avoid treatment. D Shame drives avoidance from treatment, Guilt often motivates a person to seek . treatment. A Relapse indicates treatment failure. . B Relapse is a persistent risk in addiction. . C Relapse is a characteristic of all chronic medical diseases. . D Relapse is the return to substance use or addictive behaviors after periods . of abstinence. A IPT is not an appropriate model for treating depression in older adults. . B This is a common IPT issue with older adults during the initial sessions. . C The advanced practice psychiatric nurse should consider using a standardized scale . to quantify the depression and use this to educate the patient and the family. D B and C . According to Dearing, Stuewig, and Tangney (2005), understanding the difference between guilt and shame and its impact on an individual’s motivation is critical to hope and the rec

Show more Read less
Institution
NRNP6645
Course
NRNP6645











Whoops! We can’t load your doc right now. Try again or contact support.

Written for

Institution
NRNP6645
Course
NRNP6645

Document information

Uploaded on
August 19, 2025
Number of pages
98
Written in
2025/2026
Type
Exam (elaborations)
Contains
Questions & answers

Subjects

  • nrnp6645

Content preview

lOMoAR b cPSD|
b19334687




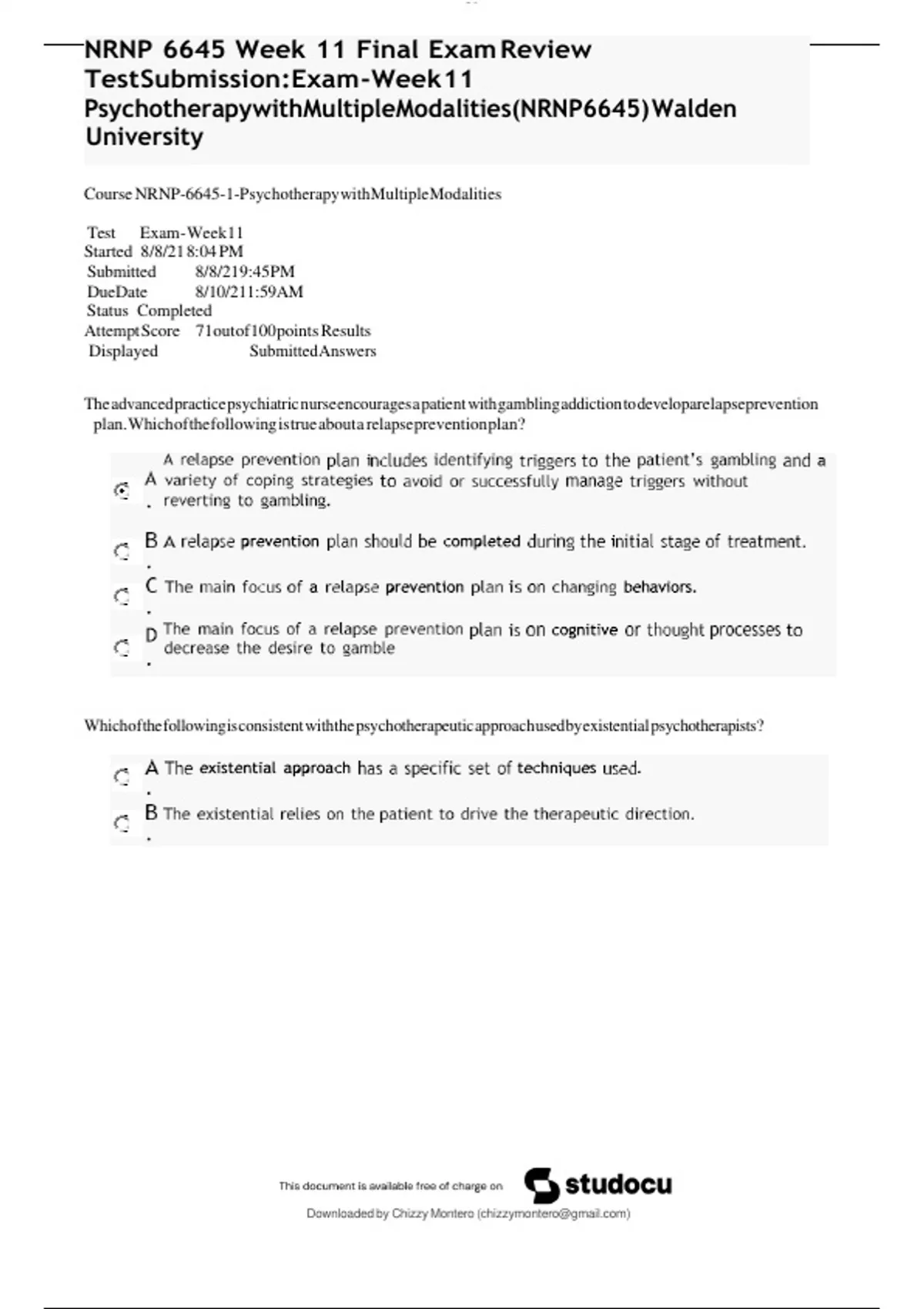
NRNP 6645 Week 11 Final Exam Review
b b b b b b




Test Submission:Exam - Week 11
b b b b b




PsychotherapywithMultipleModalities(NRNP6645) Walden b b b b b b




University
b




Course NRNP-6645-1-Psychotherapywith Multiple Modalities
b n n




Test Exam - Week 11
b b b b




Started 8/8/21 8:04 PM
b b b




Submitted
b 8/8/219:45PM b b




DueDate
b b 8/10/211:59AM
Status Completed
b b




Attempt Score 71out of100 points Results
b b b b b b b




Displayed
b Submitted Answers n




Theadvanced practicepsychiatric nurseencourages apatient withgamblingaddictiontodeveloparelapseprevention
n n b b




bplan. Which of the following is true about a relapse prevention plan?
b b b b b b b b n b b




Whichofthefollowingisconsistentwiththepsychotherapeutic approach usedbyexistential psychotherapists? n n n n




Downloaded by Chizzy Montero ()
b b b b

, lOMoAR b cPSD|
b19334687




.

psychotherapeutic models .
.
According to Dearing,Stuewig,andTangney(2005),understandingthe differencebetween guilt andshameand its impact
n b b b n b b




onanindividual’smotivationiscriticaltohopeandtherecoveryprocess.Whichofthefollowingistrue regarding guilt
b b b b b b b b b b b b b b b b b b b b




and shame?
b b




treatment.


treatment.




treatment.




Whichofthefollowingisnot consistent withwhatis knownabout relapse? n b b b




of abstinence. b




The advanced practicepsychiatric nurseproficient inInterpersonalPsychotherapy(IPT)isworking withan older adult
n n b b n b




who does not realize she hasdepression. Which of the following is true?
b b b b b b b b b b b b




The patient in Dialectical Behavior Therapy (DBT) complains the skills being taught in DBT don’t work,
b b b b b b b b b b b b b b b




struggles with keeping diary cards, and doing assigned homework. This is consistent with which stage of
b b b b b b b b b b b b b b b b




treatment within the DBT model?
b b b b b




Downloaded by Chizzy Montero ()
b b b b

, lOMoAR b cPSD|
b19334687




.


.


.


.
The existentialconceptofanopenness,readiness,andflexibilitytogrowandchange,whichnecessitatesacapacity
b b b b b b b b b b b b b b b b




tochoosealternatives, andshapeone’sowndestinyasauthorsofcreatingtheirown worldiswhichof the following?
b b b b b b n b b




Whichofthefollowingisnot consistent withafamily-centeredapproach inchild therapy?
n n n n




TheGestalt therapist noticesthepatientisfidgeting withfingers,legs areshakingand asksthe patient“What are you
b n b n n n b




bexperiencingrightnowinyourbody?”Thisisatypeofcreativeexperimentation knownaswhichofthefollowing?
b b b b b b b b b b b b n b b b b b




Downloaded by Chizzy Montero ()
b b b b

, lOMoAR b cPSD|
b19334687




.
Theadvancedpracticepsychiatricnurseisworkingwithagroupofpatientsinanoutpatientsubstanceabuse
b b b b b b b b b b b b b b b b




treatmentprogram.Onepatient comestotheadvancedpracticepsychiatricnurseafterthegroupsessionandasks if the
b b b b




advancedpracticepsychiatricnursewouldmeetatanearbyStarbuckstoclarifyacoupleofquestionsthatcameupat the
b b b b b b b b b b b b b b b b b b b b b




endofthesessionandfearsrelapse.Whichofthefollowingwould beconsistentwiththetraditionaltherapeutic frame?
b b b b b b b b b b b b n b b b b b b




Whichofthe followingstatementswould notbeconsistentwiththehumanistic-existentialconceptof“holism”?
n n b




Whichofthe followingstatementswould notbeconsistentwiththehumanistic-existentialconcept of“holism”?
n n n




Downloaded by Chizzy Montero ()
b b b b

Get to know the seller

Seller avatar
Reputation scores are based on the amount of documents a seller has sold for a fee and the reviews they have received for those documents. There are three levels: Bronze, Silver and Gold. The better the reputation, the more your can rely on the quality of the sellers work.
STUVINTAGE Strayer University
View profile
Follow You need to be logged in order to follow users or courses
Sold
24
Member since
9 months
Number of followers
3
Documents
879
Last sold
1 day ago
REALITIEXAMS STORE (CALIBRE)

Success is no accident. Pele said, " Success is hardwork, perseverance, learning, studying, sacrifice and most of all, love of what you're doing" . I'm here to help you navigate the ship of success in the best way possible in most fields as I possibly can. Don't fail to check out my store and recommend it to a friend. Buy with no doubt and make the cut in those exams. Don't forget to leave a review in order for other buyers to feel at ease when purchasing.

Read more Read less
4.6

5 reviews

5
4
4
0
3
1
2
0
1
0

Recently viewed by you

Why students choose Stuvia

Created by fellow students, verified by reviews

Quality you can trust: written by students who passed their tests and reviewed by others who've used these notes.

Didn't get what you expected? Choose another document

No worries! You can instantly pick a different document that better fits what you're looking for.

Pay as you like, start learning right away

No subscription, no commitments. Pay the way you're used to via credit card and download your PDF document instantly.

Student with book image

“Bought, downloaded, and aced it. It really can be that simple.”

Alisha Student

Frequently asked questions