Page |122
Week 8¢ Perfusion
Weekly Reading: Giddens: Chapter 18; Linton & Matteson: 518-520, 568-574, 621-624, 628-629,
654-656, 702-710; Silvestri: 293;385-388; 558-559; 668; 718-722; Willihnganz/Clayton: 417-422; 424-
426, 427-429, 431-435
Lecture 1
o Recall the definition of perfusion in the Giddens' text: "Tissue perfusion refers to the flow of blood
through arteries and capillaries delivering nutrition and oxygen to cells and removing cellular
waste products". Perfusion refers to the "flow of blood".
o Perfusion is necessary for the concept of gas exchange to be normal. The definition of gas exchange
(from Giddens) is: "the process by which oxygen is transported to cells and carbon dioxide is
transported from cells".
As you can see -- these two concepts are closely related -- if you don't ha\‘r‘e one, it is difficult for the
other to have done its "job". '
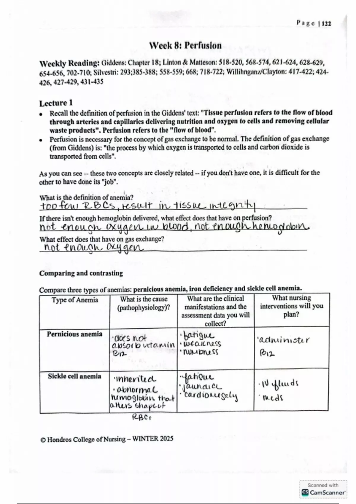
What is the definition of anemia? : )
tpofou 2R Cs, reswlt i fissu integnhy
If there isn't enough hemoglobin delivered, what effect does that have on perfusion?
te wod, n )
What effect does that have on gas exchange?
not €nowdh, Xy aen,
Comparing and contrasting
Compare three types of anemias: pernicious anemia, iron deficiency and sickle cell anemia.
Type of Anemia What is the cause What are the clinical What nursing
(pathophysiology)? manifestations and the interventions will you
assessment data you will plan?
collect?
Pernicious anemia
-0oes. nok \
brhque
. i
@iosorb utamin | WEILness admivister
2 ‘WM bn §§ (bn_
Sickle cell anemia ‘Mhentect . QuLL
robnormaC s_\\cUoy cu e W e ds
WMOQIobi thet| COrdiOMLgaley “eeds
OHLvs ehape ok
LRCe
© Hondros College of Nursing — WINTER 2025
Scanned with
{8 CamScanner’|
, R«T
Page [123
IIIIIDIIEOUTPPPPFETTFEFFFFFP
|
fl\()l enoeniTsn. '\6““‘3“(‘
Iron t:eficiency
\:)\ bod\| cusCaknitt i ALS
Aot IOV
anemia
Vica Colepeessione td
estiess e ' md.v:{(w
e I4
ST,
apadior Lo
Medications
Generic hame: cyanocobalamin Drug class urd Gy P)fl-
Trade name: O‘d 'h\k?\’ Action (how does the medication work):
Nt ot ol tm odequete
Indication (what is this medication used ne LVL functioning, pofein®,
~
for): Vilamin © delyeiency, tarbOhydraty v etodooliont « pogrdl
antmia, vilamin Yamaelobsug. fowbn.
Contraindications:
Route of administration: hypersensih uihy to 4ns p ochuot
Po/inm]Iv Cobett, beyyl alevhol, cphe
AL Bfvopinyg -
Nursing Considerations: Common side effects:
0SSeSS hor Vit amin b Hlushing, ophe nerve thoph1,
defisi eniy itthing, vash, pasve
w - \ed.bee
ngwfl
pemtesous
Patient teaching:
e atmendt must continueko URe o
“QOnemiae
Generic name: hydromorphone Drug class op cate
naloycie
Trade name: Dilaudid Action (how does the medication work):
Indication (what is this medication used
Iihthilowausys ascending aww
pa 1 eds
for): poaerate to acvere
YYD
Joaw Contraindications:
Route of administration: hypersensih Vhl\1 to prduet,
© Hondros College of Nursing — WINTER 2025
Scanned with
ECamScanner“i
Week 8¢ Perfusion
Weekly Reading: Giddens: Chapter 18; Linton & Matteson: 518-520, 568-574, 621-624, 628-629,
654-656, 702-710; Silvestri: 293;385-388; 558-559; 668; 718-722; Willihnganz/Clayton: 417-422; 424-
426, 427-429, 431-435
Lecture 1
o Recall the definition of perfusion in the Giddens' text: "Tissue perfusion refers to the flow of blood
through arteries and capillaries delivering nutrition and oxygen to cells and removing cellular
waste products". Perfusion refers to the "flow of blood".
o Perfusion is necessary for the concept of gas exchange to be normal. The definition of gas exchange
(from Giddens) is: "the process by which oxygen is transported to cells and carbon dioxide is
transported from cells".
As you can see -- these two concepts are closely related -- if you don't ha\‘r‘e one, it is difficult for the
other to have done its "job". '
What is the definition of anemia? : )
tpofou 2R Cs, reswlt i fissu integnhy
If there isn't enough hemoglobin delivered, what effect does that have on perfusion?
te wod, n )
What effect does that have on gas exchange?
not €nowdh, Xy aen,
Comparing and contrasting
Compare three types of anemias: pernicious anemia, iron deficiency and sickle cell anemia.
Type of Anemia What is the cause What are the clinical What nursing
(pathophysiology)? manifestations and the interventions will you
assessment data you will plan?
collect?
Pernicious anemia
-0oes. nok \
brhque
. i
@iosorb utamin | WEILness admivister
2 ‘WM bn §§ (bn_
Sickle cell anemia ‘Mhentect . QuLL
robnormaC s_\\cUoy cu e W e ds
WMOQIobi thet| COrdiOMLgaley “eeds
OHLvs ehape ok
LRCe
© Hondros College of Nursing — WINTER 2025
Scanned with
{8 CamScanner’|
, R«T
Page [123
IIIIIDIIEOUTPPPPFETTFEFFFFFP
|
fl\()l enoeniTsn. '\6““‘3“(‘
Iron t:eficiency
\:)\ bod\| cusCaknitt i ALS
Aot IOV
anemia
Vica Colepeessione td
estiess e ' md.v:{(w
e I4
ST,
apadior Lo
Medications
Generic hame: cyanocobalamin Drug class urd Gy P)fl-
Trade name: O‘d 'h\k?\’ Action (how does the medication work):
Nt ot ol tm odequete
Indication (what is this medication used ne LVL functioning, pofein®,
~
for): Vilamin © delyeiency, tarbOhydraty v etodooliont « pogrdl
antmia, vilamin Yamaelobsug. fowbn.
Contraindications:
Route of administration: hypersensih uihy to 4ns p ochuot
Po/inm]Iv Cobett, beyyl alevhol, cphe
AL Bfvopinyg -
Nursing Considerations: Common side effects:
0SSeSS hor Vit amin b Hlushing, ophe nerve thoph1,
defisi eniy itthing, vash, pasve
w - \ed.bee
ngwfl
pemtesous
Patient teaching:
e atmendt must continueko URe o
“QOnemiae
Generic name: hydromorphone Drug class op cate
naloycie
Trade name: Dilaudid Action (how does the medication work):
Indication (what is this medication used
Iihthilowausys ascending aww
pa 1 eds
for): poaerate to acvere
YYD
Joaw Contraindications:
Route of administration: hypersensih Vhl\1 to prduet,
© Hondros College of Nursing — WINTER 2025
Scanned with
ECamScanner“i