100% satisfaction guarantee Immediately available after payment Both online and in PDF No strings attached 4.6 TrustPilot
logo-home
Exam (elaborations)

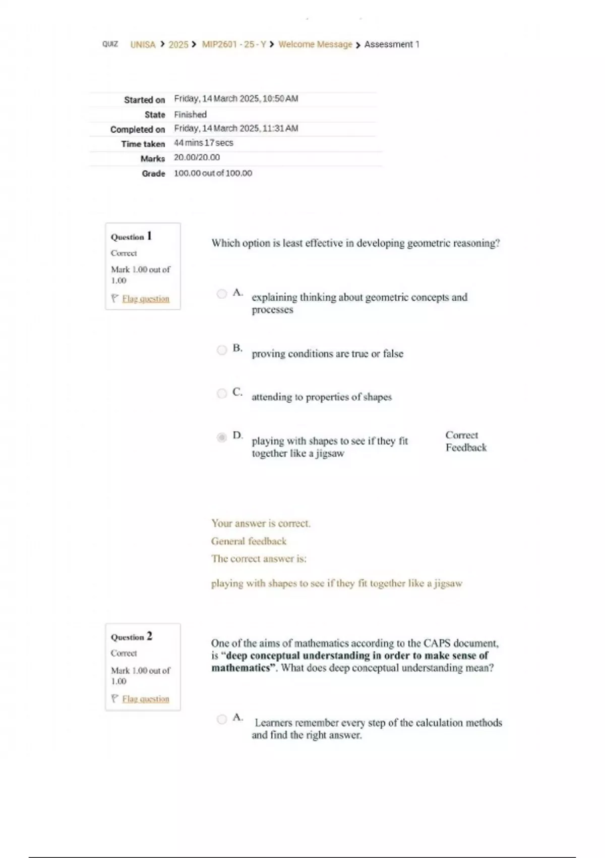
MIP2601 Assignment 1 Quiz (ANSWERS) 2025 - DUE 14 May 2025.

Rating
-
Sold
-
Pages
11
Grade
A+
Uploaded on
15-04-2025
Written in
2024/2025

MIP2601 Assignment 1 Quiz (ANSWERS) 2025 - DUE 14 May 2025.

Institution
Course









Whoops! We can’t load your doc right now. Try again or contact support.

Written for

Institution
Course

Document information

Uploaded on
April 15, 2025
Number of pages
11
Written in
2024/2025
Type
Exam (elaborations)
Contains
Questions & answers

Subjects

$2.50
Get access to the full document:

100% satisfaction guarantee
Immediately available after payment
Both online and in PDF
No strings attached

Get to know the seller
Seller avatar
cokeyo22

Get to know the seller

Seller avatar
cokeyo22 Blackpool and The Fylde College An Associate College of Lancaster University
Follow You need to be logged in order to follow users or courses
Sold
0
Member since
1 year
Number of followers
0
Documents
391
Last sold
-

0.0

0 reviews

5
0
4
0
3
0
2
0
1
0

Recently viewed by you

Why students choose Stuvia

Created by fellow students, verified by reviews

Quality you can trust: written by students who passed their tests and reviewed by others who've used these notes.

Didn't get what you expected? Choose another document

No worries! You can instantly pick a different document that better fits what you're looking for.

Pay as you like, start learning right away

No subscription, no commitments. Pay the way you're used to via credit card and download your PDF document instantly.

Student with book image

“Bought, downloaded, and aced it. It really can be that simple.”

Alisha Student

Frequently asked questions