100% satisfaction guarantee Immediately available after payment Both online and in PDF No strings attached 4.6 TrustPilot
logo-home
Exam (elaborations)

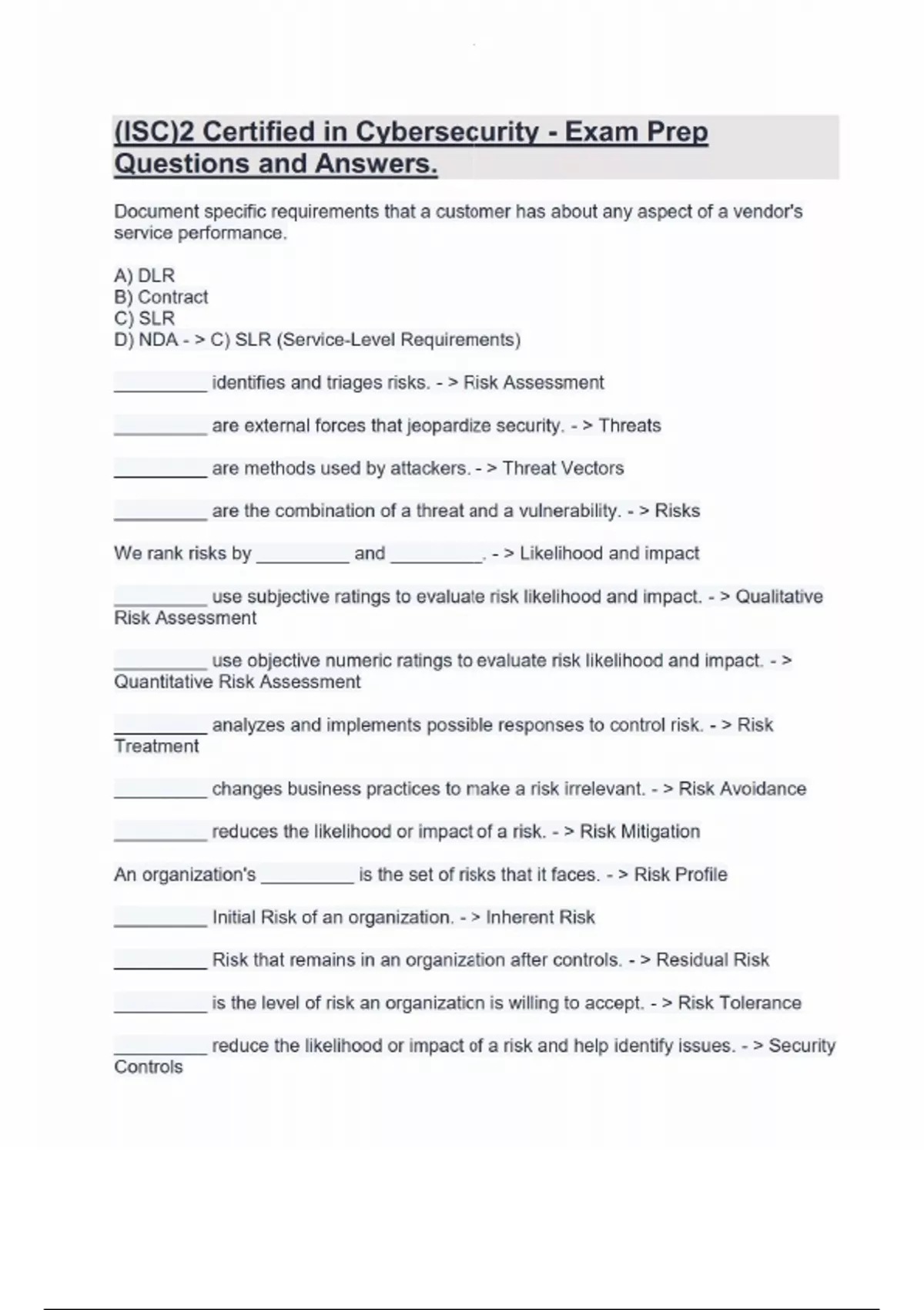
(ISC)2 Certified in Cybersecurity - Exam Prep Questions and Answers.

Rating
-
Sold
-
Pages
66
Grade
A+
Uploaded on
22-03-2025
Written in
2024/2025

(ISC)2 Certified in Cybersecurity - Exam Prep Questions and Answers.

Institution
2 Certified In Cybersecurity
Course
2 Certified in Cybersecurity











Whoops! We can’t load your doc right now. Try again or contact support.

Written for

Institution
2 Certified in Cybersecurity
Course
2 Certified in Cybersecurity

Document information

Uploaded on
March 22, 2025
Number of pages
66
Written in
2024/2025
Type
Exam (elaborations)
Contains
Questions & answers

Subjects

Get to know the seller

Seller avatar
Reputation scores are based on the amount of documents a seller has sold for a fee and the reviews they have received for those documents. There are three levels: Bronze, Silver and Gold. The better the reputation, the more your can rely on the quality of the sellers work.
Onlinexam Chamberlain College Of Nursing
View profile
Follow You need to be logged in order to follow users or courses
Sold
440
Member since
5 year
Number of followers
351
Documents
12909
Last sold
2 days ago
Concrete study materials for exams,study guides,notes,summaries and study quizes.

Hello , I am very friendly and experienced tutor dedicated to my teaching work. If you need any kind of help then you can contact me with any questions about your course .I can help you with everything - tests, quizzes, exams, db threads and so on. Just ask me if you want to get an A on your courses. Anyway Welcome to Tutoring with Experience and Enthusiasm! I am thrilled to have the opportunity to help you with best study guides and assignments. Be prepared.

Read more Read less
4.3

77 reviews

5
51
4
12
3
4
2
5
1
5

Recently viewed by you

Why students choose Stuvia

Created by fellow students, verified by reviews

Quality you can trust: written by students who passed their tests and reviewed by others who've used these notes.

Didn't get what you expected? Choose another document

No worries! You can instantly pick a different document that better fits what you're looking for.

Pay as you like, start learning right away

No subscription, no commitments. Pay the way you're used to via credit card and download your PDF document instantly.

Student with book image

“Bought, downloaded, and aced it. It really can be that simple.”

Alisha Student

Frequently asked questions