100% satisfaction guarantee Immediately available after payment Both online and in PDF No strings attached 4.2 TrustPilot
logo-home
Class notes

Differential-Equations Separable Differential Equations, guaranteed and verified 100% Pass

Rating
-
Sold
-
Pages
13
Uploaded on
29-12-2024
Written in
2024/2025

Differential-Equations Separable Differential Equations, guaranteed and verified 100% PassDifferential-Equations Separable Differential Equations, guaranteed and verified 100% PassDifferential-Equations Separable Differential Equations, guaranteed and verified 100% PassDifferential-Equations Separable Differential Equations, guaranteed and verified 100% PassDifferential-Equations Separable Differential Equations, guaranteed and verified 100% PassDifferential-Equations Separable Differential Equations, guaranteed and verified 100% Pass

Show more Read less
Institution
Math
Course
Math









Whoops! We can’t load your doc right now. Try again or contact support.

Written for

Institution
Math
Course
Math

Document information

Uploaded on
December 29, 2024
Number of pages
13
Written in
2024/2025
Type
Class notes
Professor(s)
Auroux, denis
Contains
All classes

Content preview

1


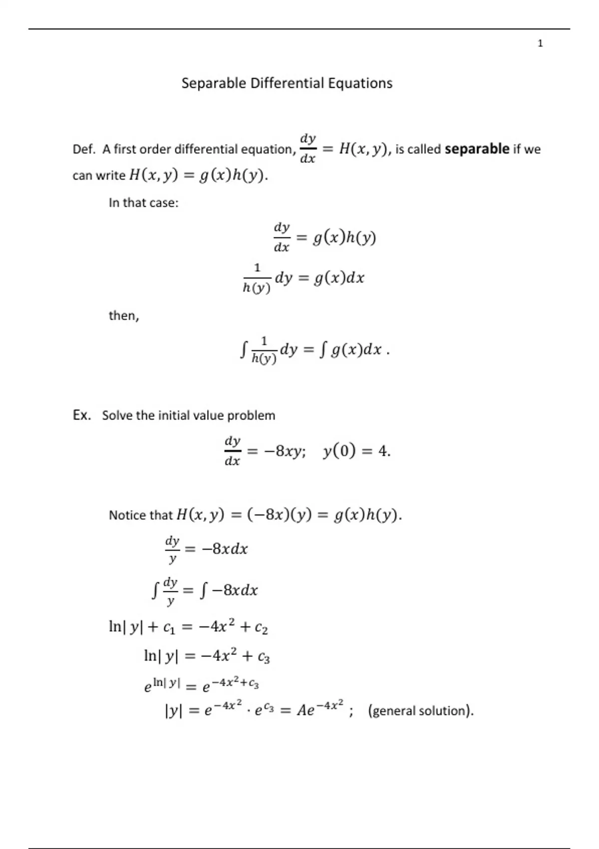
Separable Differential Equations


𝑑𝑦
Def. A first order differential equation, = 𝐻(𝑥, 𝑦), is called separable if we
𝑑𝑥
can write 𝐻 (𝑥, 𝑦) = 𝑔(𝑥 )ℎ(𝑦).
In that case:
𝑑𝑦
= 𝑔(𝑥)ℎ(𝑦)
𝑑𝑥
1
𝑑𝑦 = 𝑔(𝑥 )𝑑𝑥
ℎ(𝑦)

then,
1
∫ ℎ(𝑦) 𝑑𝑦 = ∫ 𝑔(𝑥 )𝑑𝑥 .



Ex. Solve the initial value problem
𝑑𝑦
= −8𝑥𝑦; 𝑦(0) = 4.
𝑑𝑥



Notice that 𝐻 (𝑥, 𝑦) = (−8𝑥 )(𝑦) = 𝑔(𝑥 )ℎ(𝑦).
𝑑𝑦
= −8𝑥𝑑𝑥
𝑦
𝑑𝑦
∫ 𝑦 = ∫ −8𝑥𝑑𝑥

ln| 𝑦| + 𝑐1 = −4𝑥 2 + 𝑐2
ln| 𝑦| = −4𝑥 2 + 𝑐3
2
𝑒 ln| 𝑦| = 𝑒 −4𝑥 +𝑐3
2 2
|𝑦| = 𝑒 −4𝑥 ⋅ 𝑒 𝑐3 = 𝐴𝑒 −4𝑥 ; (general solution).

, 2


𝑦(0) = 4 so,
2
|𝑦(0)| = 4 = 𝐴𝑒 −4(0)
4 = 𝐴𝑒 0 = 𝐴
2
So, |𝑦| = 4𝑒 −4𝑥
But 𝑦(0) = 4 > 0 so 𝑦 > 0 near 𝑥 = 0.
Thus 𝑦 = |𝑦| and
2
𝑦 = 4𝑒 −4𝑥 (particular solution).


Ex. Solve the initial value problem
𝑑𝑦 5−4𝑥
= 𝑦(4𝑦 2 +2) ; 𝑦(1) = 2.
𝑑𝑥



𝑑𝑦 5−4𝑥 1
= 4𝑦 3 +2𝑦 = (5 − 4𝑥) (4𝑦3 +2𝑦) = 𝑔(𝑥)ℎ(𝑦).
𝑑𝑥

(4𝑦 3 + 2𝑦)𝑑𝑦 = (5 − 4𝑥 )𝑑𝑥
∫(4𝑦 3 + 2𝑦) 𝑑𝑦 = ∫(5 − 4𝑥 )𝑑𝑥
𝑦 4 + 𝑦 2 + 𝑐1 = 5𝑥 − 2𝑥 2 + 𝑐2
𝑦 4 + 𝑦 2 = 5𝑥 − 2𝑥 2 + 𝑐3 (general solution).

One can’t easily solve this equation for 𝑦 in terms of 𝑥, so we leave the
solution in this form. This equation represents a set of curves in the 𝑥-𝑦 plane
𝑑𝑦 5−4𝑥
where = 4𝑦 3 +2𝑦 at every point (𝑥, 𝑦) that fits the equation
𝑑𝑥
𝑦 4 + 𝑦 2 = 5𝑥 − 2𝑥 2 + 𝑐3 .
$11.39
Get access to the full document:

100% satisfaction guarantee
Immediately available after payment
Both online and in PDF
No strings attached

Get to know the seller
Seller avatar
sudoexpert119

Also available in package deal

Thumbnail
Package deal
Differential Equations Full Course Notes
-
18 2024
$ 205.02 More info

Get to know the seller

Seller avatar
sudoexpert119 Harvard University
View profile
Follow You need to be logged in order to follow users or courses
Sold
0
Member since
1 year
Number of followers
0
Documents
411
Last sold
-
A+ Smart Scholars Studio

Ace your exams with trusted, expertly crafted resources built for top-tier results.

0.0

0 reviews

5
0
4
0
3
0
2
0
1
0

Recently viewed by you

Why students choose Stuvia

Created by fellow students, verified by reviews

Quality you can trust: written by students who passed their tests and reviewed by others who've used these notes.

Didn't get what you expected? Choose another document

No worries! You can instantly pick a different document that better fits what you're looking for.

Pay as you like, start learning right away

No subscription, no commitments. Pay the way you're used to via credit card and download your PDF document instantly.

Student with book image

“Bought, downloaded, and aced it. It really can be that simple.”

Alisha Student

Frequently asked questions