100% satisfaction guarantee Immediately available after payment Both online and in PDF No strings attached 4.2 TrustPilot
logo-home
Exam (elaborations)

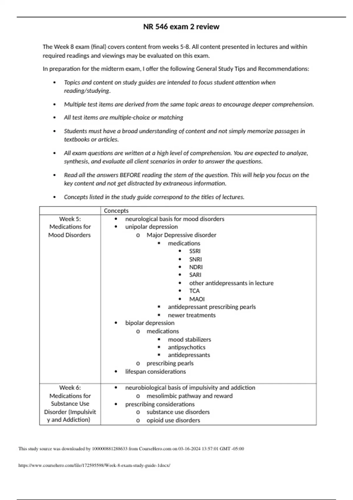
NR 546 exam 2 review / Week 8 exam study guide with complete solution

Rating
-
Sold
-
Pages
2
Grade
A+
Uploaded on
16-03-2024
Written in
2023/2024

NR 546 exam 2 review NR 546 exam 2 review / Week 8 exam study guide with complete solution

Institution
NR 546 Exm 2 Reviw
Course
NR 546 exm 2 reviw








Whoops! We can’t load your doc right now. Try again or contact support.

Written for

Institution
NR 546 exm 2 reviw
Course
NR 546 exm 2 reviw

Document information

Uploaded on
March 16, 2024
Number of pages
2
Written in
2023/2024
Type
Exam (elaborations)
Contains
Questions & answers

Subjects

Get to know the seller

Seller avatar
Reputation scores are based on the amount of documents a seller has sold for a fee and the reviews they have received for those documents. There are three levels: Bronze, Silver and Gold. The better the reputation, the more your can rely on the quality of the sellers work.
DoctorHkane Havard School
View profile
Follow You need to be logged in order to follow users or courses
Sold
735
Member since
4 year
Number of followers
168
Documents
22488
Last sold
1 day ago

Explore my Stuvia collection for essential study aids: test banks, exams, summaries, and cases. With five years of expertise as an academic writer, I have honed my skills in crafting top-notch essays, exams, and research dissertations. My proficiency lies in producing well-structured and thoroughly researched content that meets academic standards. I am adept at handling various subjects and ensuring a seamless flow of ideas. Whether it's delivering compelling arguments in essays, creating challenging yet fair exam questions, or delving into in-depth research for dissertations, my experience equips me to excel in diverse academic writing tasks. I pride myself on meeting deadlines and maintaining the highest quality in every piece I produce. REACH ON iamnjokikelvin1@gmail

Read more Read less
4.6

387 reviews

5
309
4
29
3
21
2
10
1
18

Why students choose Stuvia

Created by fellow students, verified by reviews

Quality you can trust: written by students who passed their tests and reviewed by others who've used these notes.

Didn't get what you expected? Choose another document

No worries! You can instantly pick a different document that better fits what you're looking for.

Pay as you like, start learning right away

No subscription, no commitments. Pay the way you're used to via credit card and download your PDF document instantly.

Student with book image

“Bought, downloaded, and aced it. It really can be that simple.”

Alisha Student

Frequently asked questions