100% satisfaction guarantee Immediately available after payment Both online and in PDF No strings attached 4.6 TrustPilot
logo-home
Exam (elaborations)

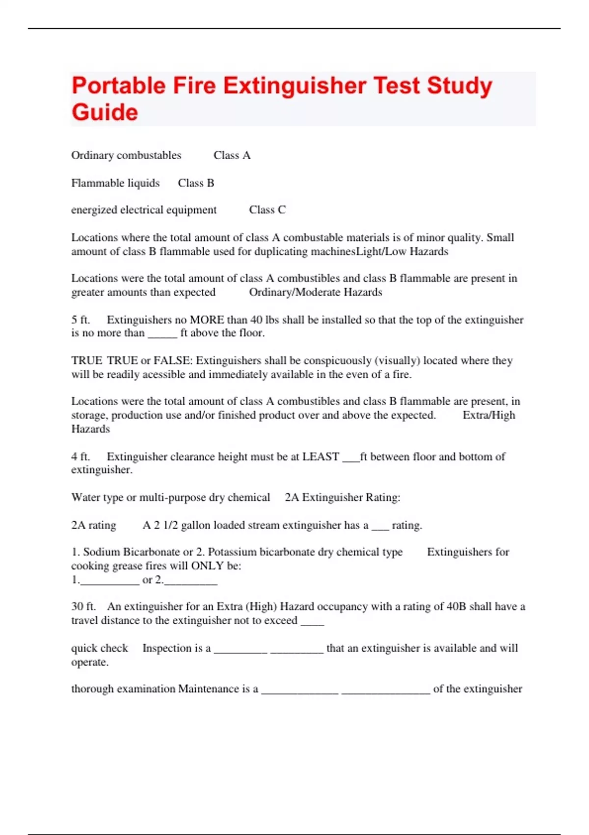
Portable Fire Extinguisher Test Study Guide

Rating
-
Sold
-
Pages
3
Grade
A+
Uploaded on
19-02-2024
Written in
2023/2024

Portable Fire Extinguisher Test Study Guide

Institution
Portable Fire Extinguisher
Course
Portable Fire Extinguisher








Whoops! We can’t load your doc right now. Try again or contact support.

Written for

Institution
Portable Fire Extinguisher
Course
Portable Fire Extinguisher

Document information

Uploaded on
February 19, 2024
Number of pages
3
Written in
2023/2024
Type
Exam (elaborations)
Contains
Questions & answers

Subjects

Get to know the seller

Seller avatar
Reputation scores are based on the amount of documents a seller has sold for a fee and the reviews they have received for those documents. There are three levels: Bronze, Silver and Gold. The better the reputation, the more your can rely on the quality of the sellers work.
STUVEX NURSING
View profile
Follow You need to be logged in order to follow users or courses
Sold
734
Member since
2 year
Number of followers
313
Documents
15295
Last sold
3 days ago
STUVATE - STUVIA USA

My store is a comprehensive destination for buying and selling a variety of documents. we offer a vast range of documents that cater to different needs and requirements, our documents are well-researched, accurate, and of high quality, ensuring customer satisfaction. whether you are looking for legal documents, academic papers, business reports or miscellaneous documents we`ve got you covered.

3.8

114 reviews

5
45
4
29
3
23
2
7
1
10

Recently viewed by you

Why students choose Stuvia

Created by fellow students, verified by reviews

Quality you can trust: written by students who passed their tests and reviewed by others who've used these notes.

Didn't get what you expected? Choose another document

No worries! You can instantly pick a different document that better fits what you're looking for.

Pay as you like, start learning right away

No subscription, no commitments. Pay the way you're used to via credit card and download your PDF document instantly.

Student with book image

“Bought, downloaded, and aced it. It really can be that simple.”

Alisha Student

Frequently asked questions