100% satisfaction guarantee Immediately available after payment Both online and in PDF No strings attached 4.6 TrustPilot
logo-home
Exam (elaborations)

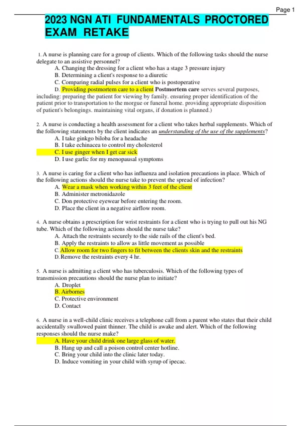
2023 NGN ATI FUNDAMENTALS PROCTORED EXAM RETAKE

Rating
-
Sold
-
Pages
24
Grade
A+
Uploaded on
13-01-2024
Written in
2023/2024

2023 NGN ATI FUNDAMENTALS PROCTORED EXAM RETAKE

Institution
2023 NGN ATI FUNDAMENTALS
Course
2023 NGN ATI FUNDAMENTALS










Whoops! We can’t load your doc right now. Try again or contact support.

Written for

Institution
2023 NGN ATI FUNDAMENTALS
Course
2023 NGN ATI FUNDAMENTALS

Document information

Uploaded on
January 13, 2024
Number of pages
24
Written in
2023/2024
Type
Exam (elaborations)
Contains
Questions & answers

Subjects

  • 2023 ngn ati fundamentals

Get to know the seller

Seller avatar
Reputation scores are based on the amount of documents a seller has sold for a fee and the reviews they have received for those documents. There are three levels: Bronze, Silver and Gold. The better the reputation, the more your can rely on the quality of the sellers work.
Ryy Chamberlian School of Nursing
View profile
Follow You need to be logged in order to follow users or courses
Sold
21
Member since
2 year
Number of followers
13
Documents
1287
Last sold
2 weeks ago
Investing in education is a life investment

Our specialty at felex is offering premium, expert-verified study guides for a variety of nursing and medical exams. With the use of our materials, nursing students, medical professionals, and test takers can easily accomplish their educational and certification objectives. Our Offerings: Complete Nursing Exam Guides: Proctored exam solutions, in-depth responses, and explanations for ATI, NCLEX, HESI, and other exams. Study Guides for Pharmacology and Pathophysiology: The most recent test questions and confirmed answers for 2024 are included for advanced courses such as NSG 530 and NSG 533. Resources on Psychopharmacology: Comprehensive study guides and test banks for courses like NSG 552 are available. Medical Case Studies: thorough case studies and scenarios (NRNP 6531, for example) that are examined by professionals and concentrate on the medical history, diagnosis, and treatment strategies of the patients. Theoretical Esthetician You will always have access to the most recent versions, the most recent content, and answers that have already received an A+ because every document is carefully selected. Why Opt for ME ? Vast Variety of Subjects: We cover everything, from fundamental nursing concepts to specialized qualifications and real-world medical case studies. Use our reliable resources to help you prepare for your exam!

Read more Read less
3.2

664 reviews

5
86
4
165
3
256
2
125
1
32

Recently viewed by you

Why students choose Stuvia

Created by fellow students, verified by reviews

Quality you can trust: written by students who passed their tests and reviewed by others who've used these notes.

Didn't get what you expected? Choose another document

No worries! You can instantly pick a different document that better fits what you're looking for.

Pay as you like, start learning right away

No subscription, no commitments. Pay the way you're used to via credit card and download your PDF document instantly.

Student with book image

“Bought, downloaded, and aced it. It really can be that simple.”

Alisha Student

Frequently asked questions