100% satisfaction guarantee Immediately available after payment Both online and in PDF No strings attached 4.6 TrustPilot
logo-home
Exam (elaborations)

ATI PHARMACOLOGY 2019 PROCTORED EXAM-REVISED 100%CORRECT ANSWERS.

Rating
-
Sold
-
Pages
43
Grade
A+
Uploaded on
03-01-2024
Written in
2023/2024

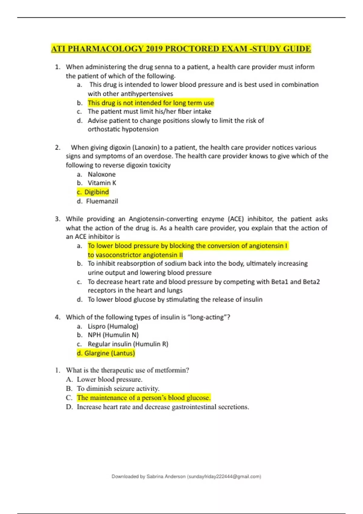
ATI PHARMACOLOGY 2019 PROCTORED EXAM-REVISED 100%CORRECT ANSWERS. ATI Pharmacology Final Exam Questions 1. When administering the drug senna to a patient, a health care provider must inform the patient of which of the following a. This drug is intended to lower blood pressure and is best used ...

Show more Read less
Institution
ATI PHARMACOLOGY
Course
ATI PHARMACOLOGY











Whoops! We can’t load your doc right now. Try again or contact support.

Written for

Institution
ATI PHARMACOLOGY
Course
ATI PHARMACOLOGY

Document information

Uploaded on
January 3, 2024
Number of pages
43
Written in
2023/2024
Type
Exam (elaborations)
Contains
Questions & answers

Subjects

Get to know the seller

Seller avatar
Reputation scores are based on the amount of documents a seller has sold for a fee and the reviews they have received for those documents. There are three levels: Bronze, Silver and Gold. The better the reputation, the more your can rely on the quality of the sellers work.
Greattmind Chamberlain College Of Nursing
View profile
Follow You need to be logged in order to follow users or courses
Sold
34
Member since
2 year
Number of followers
17
Documents
402
Last sold
4 months ago

2.8

4 reviews

5
1
4
1
3
0
2
0
1
2

Recently viewed by you

Why students choose Stuvia

Created by fellow students, verified by reviews

Quality you can trust: written by students who passed their tests and reviewed by others who've used these notes.

Didn't get what you expected? Choose another document

No worries! You can instantly pick a different document that better fits what you're looking for.

Pay as you like, start learning right away

No subscription, no commitments. Pay the way you're used to via credit card and download your PDF document instantly.

Student with book image

“Bought, downloaded, and aced it. It really can be that simple.”

Alisha Student

Frequently asked questions