100% satisfaction guarantee Immediately available after payment Both online and in PDF No strings attached 4.6 TrustPilot
logo-home
Exam (elaborations)

WGU C214 OA FINANCIAL MANAGEMENT EXAM QUESTIONS AND ANSWERS

Rating
-
Sold
-
Pages
16
Grade
A+
Uploaded on
17-12-2023
Written in
2023/2024

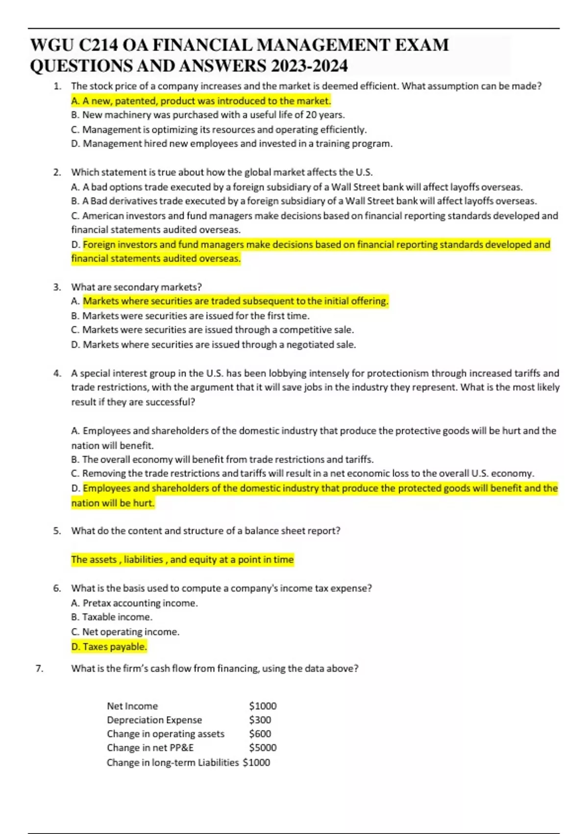
100% Complete Graded A+ WGU C214 OA FINANCIAL MANAGEMENT EXAMQUESTIONS AND1. The ANSWERS stock price of a company 2023-increases 2024and themarket is deemed efficient. What assumption can be made? A. A new, patented, product was introduced to the market. B. New machinery was purchased with a useful life of 20 years. C. Managementis optimizing itsresources and operating efficiently. D. Management hired new employees and invested in a training program. 2. Which statementistrue about how the global market affectsthe U.S. A. A bad options trade executed by a foreign subsidiary of a Wall Street bank will affectlayoffs overseas. B. A Bad derivativestrade executed by a foreign subsidiary of a Wall Street bank will affectlayoffs overseas. C. American investors and fund managers make decisions based on financial reporting standards developed and financial statements audited overseas. D. Foreign investors and fund managers make decisions based on financial reporting standards developed and financial statements audited overseas. 3. What are secondary markets? A. Markets where securities are traded subsequentto the initial offering. B. Markets were securities are issued forthe firsttime. C. Markets were securities are issued through a competitive sale. D. Markets where securities are issued through a negotiated sale. 4. A special interest group in the U.S. has been lobbying intensely for protectionism through increased tariffs and trade restrictions, with the argument that it will save jobs in the industry they represent. What is the most likely result if they are successful? A. Employees and shareholders of the domestic industry that produce the protective goods will be hurt and the nation will benefit. B. The overall economy will benefit from trade restrictions and tariffs. C. Removing the trade restrictions and tariffs will resultin a net economic loss to the overall U.S. economy. D. Employees and shareholders of the domestic industry that produce the protected goods will benefit and the nation will be hurt. 5. What do the content and structure of a balance sheetreport? The assets , liabilities , and equity at a point in time 6. Whatisthe basis used to compute a company'sincome tax expense? A. Pretax accounting income. B. Taxable income. C. Net operating income. D. Taxes payable. 7. Whatisthe firm’s cash flow from financing, using the data above? Net Income $1000 Depreciation Expense $300 Change in operating assets $600 Change in net PP&E $5000 Change in long-term Liabilities $1000 100% Complete Graded A+ WGU C214 OA FINANCIAL MANAGEMENT EXAMQUES

Show more Read less
Institution
100% Complete Graded A+ WGU C214 OA FINANCIAL MANA
Course
100% Complete Graded A+ WGU C214 OA FINANCIAL MANA










Whoops! We can’t load your doc right now. Try again or contact support.

Written for

Institution
100% Complete Graded A+ WGU C214 OA FINANCIAL MANA
Course
100% Complete Graded A+ WGU C214 OA FINANCIAL MANA

Document information

Uploaded on
December 17, 2023
Number of pages
16
Written in
2023/2024
Type
Exam (elaborations)
Contains
Questions & answers

Subjects

$4.49
Get access to the full document:

100% satisfaction guarantee
Immediately available after payment
Both online and in PDF
No strings attached

Get to know the seller
Seller avatar
Hesisolutions

Get to know the seller

Seller avatar
Hesisolutions Chamberlain College Of Nursing
View profile
Follow You need to be logged in order to follow users or courses
Sold
15
Member since
2 year
Number of followers
2
Documents
483
Last sold
4 months ago
Nursingsolutions

BUY FOR AS LOW AS $3!!!!!! ALL DOCUMENTS ON OFFER!! Welcome to nursing solutions where you find all nursing revision questions with their verified answers . Be sure of great grades. ALL THE BEST. YOU GOT THIS!!

0.0

0 reviews

5
0
4
0
3
0
2
0
1
0

Recently viewed by you

Why students choose Stuvia

Created by fellow students, verified by reviews

Quality you can trust: written by students who passed their tests and reviewed by others who've used these notes.

Didn't get what you expected? Choose another document

No worries! You can instantly pick a different document that better fits what you're looking for.

Pay as you like, start learning right away

No subscription, no commitments. Pay the way you're used to via credit card and download your PDF document instantly.

Student with book image

“Bought, downloaded, and aced it. It really can be that simple.”

Alisha Student

Frequently asked questions