100% satisfaction guarantee Immediately available after payment Both online and in PDF No strings attached 4.6 TrustPilot
logo-home
Exam (elaborations)

NURSING 620 ADVANCE PHYSICAL ASSESSMENT FINALS

Rating
-
Sold
-
Pages
17
Grade
A+
Uploaded on
10-12-2023
Written in
2023/2024

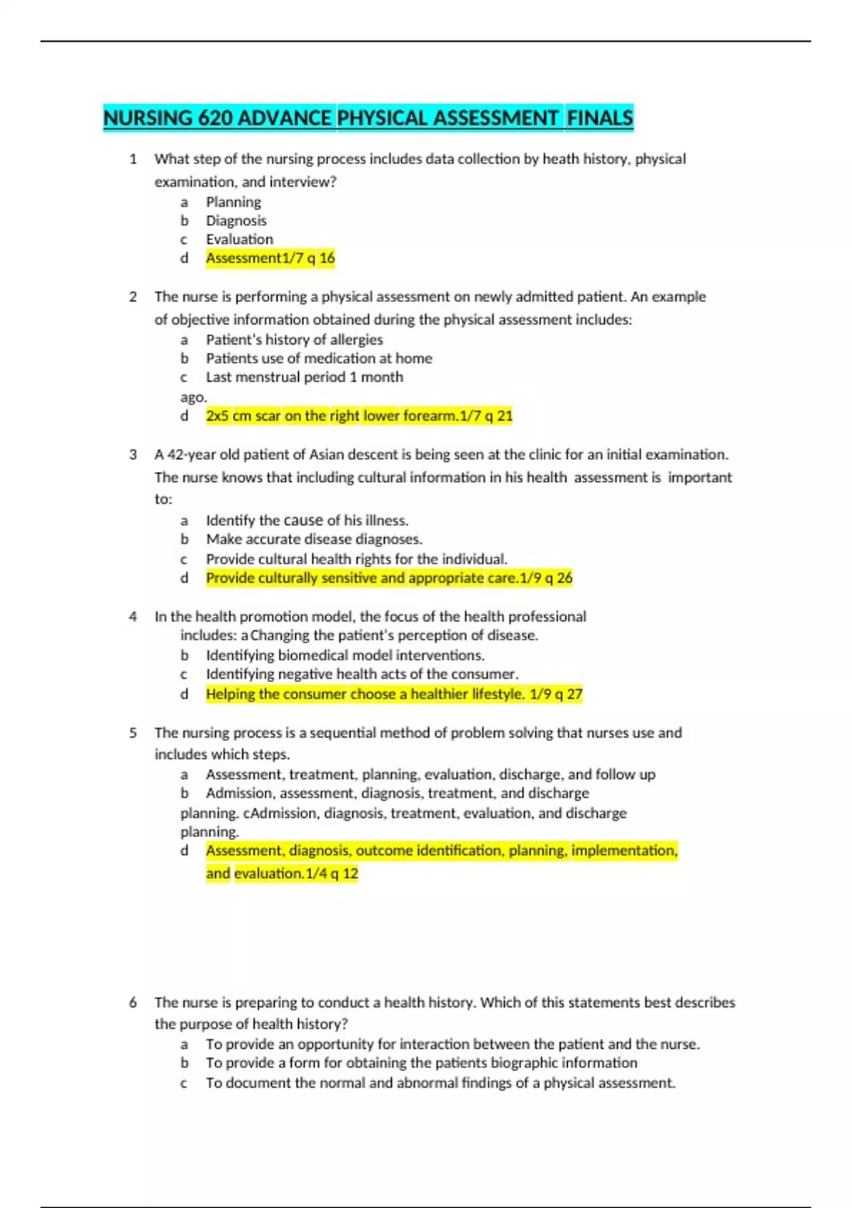
NURSING 620 ADVANCE PHYSICAL ASSESSMENT FINALS 1 What step of the nursing process includes data collection by heath history, physical examination, and interview? a Planning b Diagnosis c Evaluation d Assessment1/7 q 16 2 The nurse is performing a physical assessment on newly admitted patient. An example of objective information obtained during the physical assessment includes: a Patient’s history of allergies b Patients use of medication at home c Last menstrual period 1 month ago. d 2x5 cm scar on the right lower forearm.1/7 q 21 3 A 42-year old patient of Asian descent is being seen at the clinic for an initial examination. The nurse knows that including cultural information in his health assessment is important to: a Identify the cause of his illness. b Make accurate disease diagnoses. c Provide cultural health rights for the individual. d Provide culturally sensitive and appropriate care.1/9 q 26 4 In the health promotion model, the focus of the health professional includes: a Changing the patient’s perception of disease. b Identifying biomedical model interventions. c Identifying negative health acts of the consumer. d Helping the consumer choose a healthier lifestyle. 1/9 q 27 5 The nursing process is a sequential method of problem solving that nurses use and includes which steps. a Assessment, treatment, planning, evaluation, discharge, and follow up b Admission, assessment, diagnosis, treatment, and discharge planning. c Admission, diagnosis, treatment, evaluation, and discharge planning. d Assessment, diagnosis, outcome identification, planning, implementation, and evaluation.1/4 q 12 6 The nurse is preparing to conduct a health history. Which of this statements best describes the purpose of health history? a To provide an opportunity for interaction between the patient and the nurse. b To provide a form for obtaining the patients biographic information c To document the normal and abnormal findings of a physical assessment. d To provide a database of subjective information about the patients past and current health.4/1 q 1 7 A patient tell the nurse that he is allergic to penicillin. What would be the nurse’s best response to this information? a “Are you allergic to any other drugs?” b “How often have you received penicillin?” c “I’ll write your allergy on your chart so you won’t receive any penicillin.” d “Describe what happen to you when you take penicillin”4/3 q 8 8 The nurse is asking a patient for his reason for seeking care and ask a about the signs and symptoms he is experiencing. Which of this is an example of a symptoms? a Chest pain 4/10 q 27 b Clammy skin c Serum potassium level at 4.2 mEq/L d Body temperature of 100 deg F 9 When performing a physical assessment, the first technique the nurse will always use is: a Palpation b Inspection 8/1 q 1 c Percussion d Auscultation 10 The nurse is assessing a patient’s skin during an office visit. What part of the hand and technique should be used to best assess the patients skin temperature? a Fingertips; they are more sensitive to small changes in temperature. b Dorsal surface of the hand; the skin is thinner on this surface than on the palm 8/2 q 3. c Ulnar portion of the hand; increased blood supply in this area enhances temperature sensitivity. d Palmar surface of the hand; this surface is the most sensitive to temperature variations because of it’s increased nerve supply in this area. 11 Which of this techniques uses the sense of touch to assess texture, temperature, moisture, and swelling when the nurse is assessing a patient? a Palpation 8/2 q 4 b Auscultation c Inspection d Percussion 12 The nurse is preparing to assess a patients abdomen by palpitation. How should the nurse proceed? a Palpation of reportedly “tender” areas are avoided because palpation in these areas may cause pain. b Palpating a tender area is quickly performed to avoid any discomfort that the patient may experience.

Show more Read less
Institution
NURSING 620
Course
NURSING 620










Whoops! We can’t load your doc right now. Try again or contact support.

Written for

Institution
NURSING 620
Course
NURSING 620

Document information

Uploaded on
December 10, 2023
Number of pages
17
Written in
2023/2024
Type
Exam (elaborations)
Contains
Questions & answers

Subjects

Get to know the seller

Seller avatar
Reputation scores are based on the amount of documents a seller has sold for a fee and the reviews they have received for those documents. There are three levels: Bronze, Silver and Gold. The better the reputation, the more your can rely on the quality of the sellers work.
MedTestPro Chamberlain College Nursing
View profile
Follow You need to be logged in order to follow users or courses
Sold
58
Member since
3 year
Number of followers
30
Documents
4367
Last sold
1 week ago
Get instant access to a wide range of educational resources, practice quizzes, and study materials designed to empower nursing students. Enhance your knowledge, ace your exams, and build confidence with medtestpro's comprehensive collection of text-based

Get instant access to a wide range of educational resources, practice quizzes, and study materials designed to empower nursing students. Enhance your knowledge, ace your exams, and build confidence with medtestpro's comprehensive collection of text-based nursing resources.

3.4

5 reviews

5
1
4
1
3
2
2
1
1
0

Recently viewed by you

Why students choose Stuvia

Created by fellow students, verified by reviews

Quality you can trust: written by students who passed their tests and reviewed by others who've used these notes.

Didn't get what you expected? Choose another document

No worries! You can instantly pick a different document that better fits what you're looking for.

Pay as you like, start learning right away

No subscription, no commitments. Pay the way you're used to via credit card and download your PDF document instantly.

Student with book image

“Bought, downloaded, and aced it. It really can be that simple.”

Alisha Student

Frequently asked questions