100% satisfaction guarantee Immediately available after payment Both online and in PDF No strings attached 4.6 TrustPilot
logo-home
Exam (elaborations)

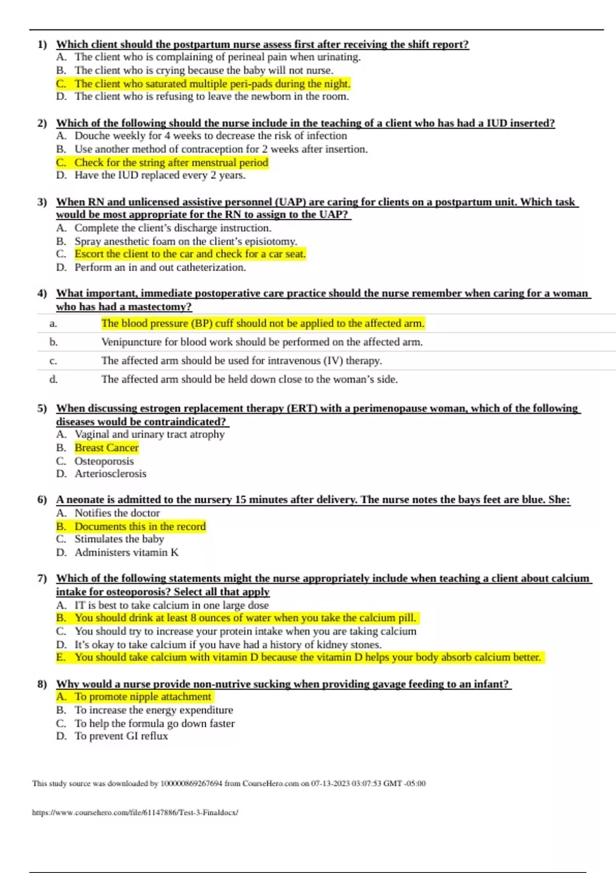
RNSG 2208 Test 3 Final

Rating
-
Sold
-
Pages
5
Uploaded on
24-08-2023
Written in
2023/2024

RNSG 2208 Test 3 Final

Institution
Nursing Assessment
Course
Nursing assessment









Whoops! We can’t load your doc right now. Try again or contact support.

Written for

Institution
Nursing assessment
Course
Nursing assessment

Document information

Uploaded on
August 24, 2023
Number of pages
5
Written in
2023/2024
Type
Exam (elaborations)
Contains
Unknown
$13.99
Get access to the full document:

100% satisfaction guarantee
Immediately available after payment
Both online and in PDF
No strings attached

Get to know the seller
Seller avatar
bookmark
5.0
(1)

Get to know the seller

Seller avatar
bookmark Walden University
View profile
Follow You need to be logged in order to follow users or courses
Sold
6
Member since
2 year
Number of followers
5
Documents
3961
Last sold
1 year ago

Hi there! I'm a former nursing student who loves to share my knowledge and experience with others. I have a collection of study notes and papers that I've written for various courses and programs, and I'm selling them for a reasonable price. Whether you need help with anatomy, pharmacology, ethics, or anything else, I've got you covered. My notes are clear, concise, and fun to read. They will help you ace your exams and assignments, and maybe even make you laugh along the way. If you're interested, check out my profile and contact me. I'm looking forward to hearing from you!

Read more Read less
5.0

1 reviews

5
1
4
0
3
0
2
0
1
0

Trending documents

Recently viewed by you

Why students choose Stuvia

Created by fellow students, verified by reviews

Quality you can trust: written by students who passed their tests and reviewed by others who've used these notes.

Didn't get what you expected? Choose another document

No worries! You can instantly pick a different document that better fits what you're looking for.

Pay as you like, start learning right away

No subscription, no commitments. Pay the way you're used to via credit card and download your PDF document instantly.

Student with book image

“Bought, downloaded, and aced it. It really can be that simple.”

Alisha Student

Frequently asked questions