100% satisfaction guarantee Immediately available after payment Both online and in PDF No strings attached 4.6 TrustPilot
logo-home
Class notes

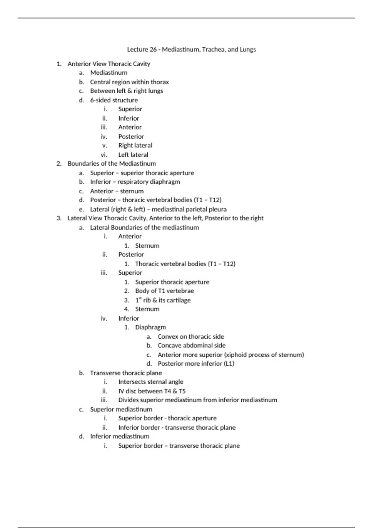
Lecture 26: Mediastinum Intro

Rating
-
Sold
-
Pages
10
Uploaded on
05-06-2023
Written in
2022/2023

In depth outline for the lecture covering the mediastinum. Outline is organized for efficient learning and organizational skills to study exactly what is required for the exam.










Whoops! We can’t load your doc right now. Try again or contact support.

Document information

Uploaded on
June 5, 2023
Number of pages
10
Written in
2022/2023
Type
Class notes
Professor(s)
Dr. k
Contains
All classes

Subjects

$11.99
Get access to the full document:

100% satisfaction guarantee
Immediately available after payment
Both online and in PDF
No strings attached

Get to know the seller
Seller avatar
noorbaban

Get to know the seller

Seller avatar
noorbaban Drexel University
View profile
Follow You need to be logged in order to follow users or courses
Sold
-
Member since
2 year
Number of followers
0
Documents
7
Last sold
-

0.0

0 reviews

5
0
4
0
3
0
2
0
1
0

Trending documents

Recently viewed by you

Why students choose Stuvia

Created by fellow students, verified by reviews

Quality you can trust: written by students who passed their tests and reviewed by others who've used these notes.

Didn't get what you expected? Choose another document

No worries! You can instantly pick a different document that better fits what you're looking for.

Pay as you like, start learning right away

No subscription, no commitments. Pay the way you're used to via credit card and download your PDF document instantly.

Student with book image

“Bought, downloaded, and aced it. It really can be that simple.”

Alisha Student

Frequently asked questions