Written by students who passed Immediately available after payment Read online or as PDF Wrong document? Swap it for free 4.6 TrustPilot
logo-home
Class notes

Class notes APPM 1350 1.4

Rating
-
Sold
-
Pages
1
Uploaded on
29-08-2025
Written in
2024/2025

Class notes APPM 1350 1.4 Calculating Limits.

Content preview

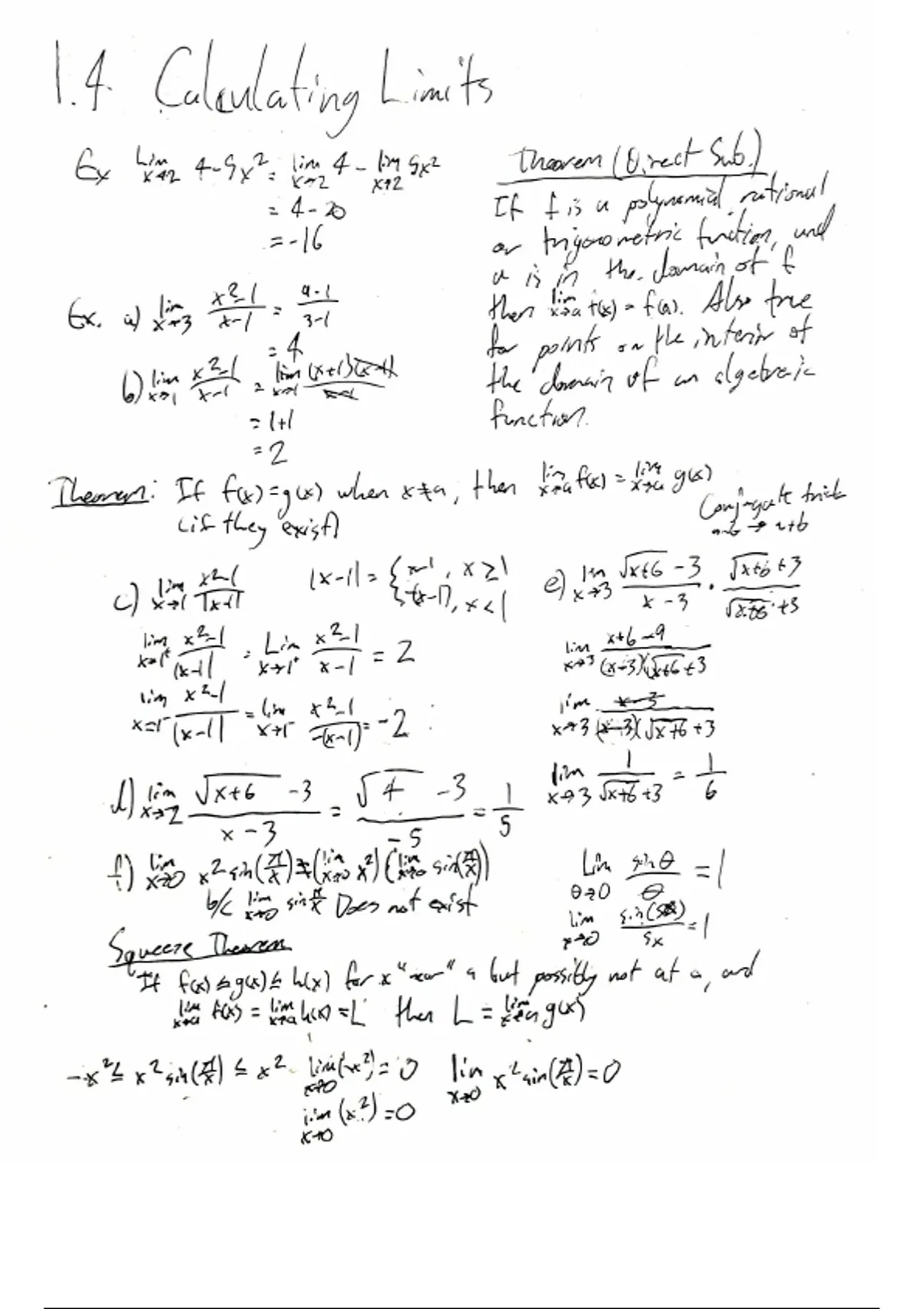
1.4. Coleulating Limits
Ex Lim 4-9x2. lime 4 - kim Sx²
X72
4-20
=-16
(x. i) 13 +21= 1.1
4
9-1
3-1
X12
6) lim x 2/2 im (x+1)+
x317-1
= |+/
=2
Theorem (Direct Sub,
If f is a polynomial rational,
trigonometric function, and
the domain of f
ov
a is in
lim
for points
then kina+(x) = f(a). Also true
points on the interior of
the domain of an algebraic
function
lim
Themen: If f(x) = g(x) when xta; then \in a xa) = lim h g(x)
Lif they exist?
とキム
дать
Conjugate trick
हर
e) x =3
I'm √xt6-3 √x+6 +3
X-3
√286+3
1x-11= {x1, x21
him x2i1 = Lin x 21 = 2
lim x²-/
x-1
lim x+6=9
(x-3)866+3
I'm 3
x23 ( 3 ) JX 76 +3
x93 √x+6+3
c) x=7x+1
lim x21
x=1(x-11
=
lime x²-1
xaľ
(x-11 x+1
-2: fi

Document information

Uploaded on
August 29, 2025
Number of pages
1
Written in
2024/2025
Type
Class notes
Professor(s)
Robert benim
Contains
Unit 1.4
$8.49
Get access to the full document:

Wrong document? Swap it for free Within 14 days of purchase and before downloading, you can choose a different document. You can simply spend the amount again.
Written by students who passed
Immediately available after payment
Read online or as PDF

Get to know the seller
Seller avatar
samfay

Also available in package deal

Thumbnail
Package deal
APPM 1350 Unit 1 Package
-
8 2025
$ 90.42 More info

Get to know the seller

Seller avatar
samfay University Of Colorado Boulder
View profile
Follow You need to be logged in order to follow users or courses
Sold
-
Member since
7 months
Number of followers
0
Documents
70
Last sold
-

0.0

0 reviews

5
0
4
0
3
0
2
0
1
0

Trending documents

Recently viewed by you

Why students choose Stuvia

Created by fellow students, verified by reviews

Quality you can trust: written by students who passed their tests and reviewed by others who've used these notes.

Didn't get what you expected? Choose another document

No worries! You can instantly pick a different document that better fits what you're looking for.

Pay as you like, start learning right away

No subscription, no commitments. Pay the way you're used to via credit card and download your PDF document instantly.

Student with book image

“Bought, downloaded, and aced it. It really can be that simple.”

Alisha Student

Frequently asked questions