100% satisfaction guarantee Immediately available after payment Both online and in PDF No strings attached 4.6 TrustPilot
logo-home
Exam (elaborations)

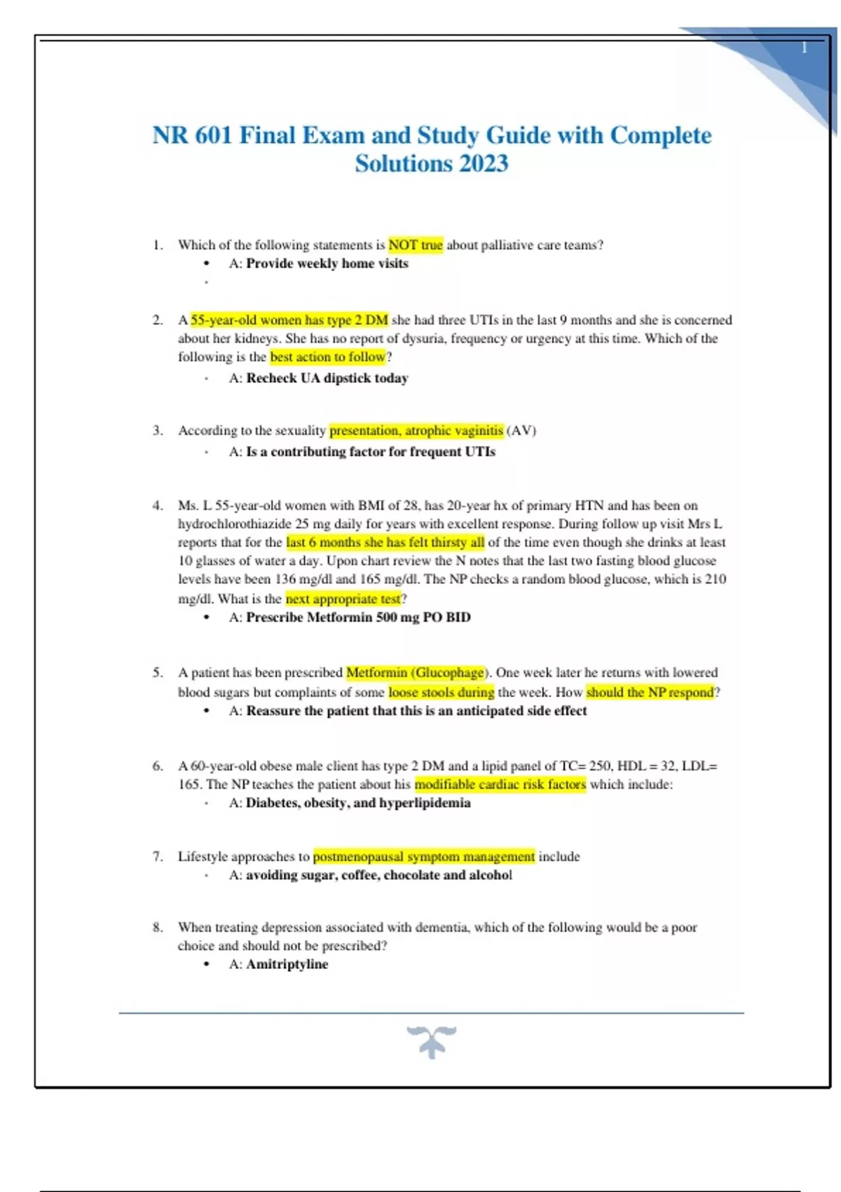
NR 601 Final Exam and Study Guide with Complete Solutions 2023

Rating
-
Sold
-
Pages
10
Grade
A+
Uploaded on
27-09-2023
Written in
2023/2024

NR 601 Final Exam and Study Guide with Complete Solutions 2023










Whoops! We can’t load your doc right now. Try again or contact support.

Document information

Uploaded on
September 27, 2023
Number of pages
10
Written in
2023/2024
Type
Exam (elaborations)
Contains
Questions & answers

Subjects

Get to know the seller

Seller avatar
Reputation scores are based on the amount of documents a seller has sold for a fee and the reviews they have received for those documents. There are three levels: Bronze, Silver and Gold. The better the reputation, the more your can rely on the quality of the sellers work.
AIMHigher West Virginia University
View profile
Follow You need to be logged in order to follow users or courses
Sold
126
Member since
2 year
Number of followers
77
Documents
2707
Last sold
1 week ago

2.9

14 reviews

5
2
4
2
3
6
2
0
1
4

Trending documents

Recently viewed by you

Why students choose Stuvia

Created by fellow students, verified by reviews

Quality you can trust: written by students who passed their tests and reviewed by others who've used these notes.

Didn't get what you expected? Choose another document

No worries! You can instantly pick a different document that better fits what you're looking for.

Pay as you like, start learning right away

No subscription, no commitments. Pay the way you're used to via credit card and download your PDF document instantly.

Student with book image

“Bought, downloaded, and aced it. It really can be that simple.”

Alisha Student

Frequently asked questions