100% satisfaction guarantee Immediately available after payment Both online and in PDF No strings attached 4.2 TrustPilot
logo-home
Class notes

Notes on Linear Approximations and Differentials for Calculus 1 (MATH151)

Rating
-
Sold
-
Pages
3
Uploaded on
21-06-2023
Written in
2021/2022

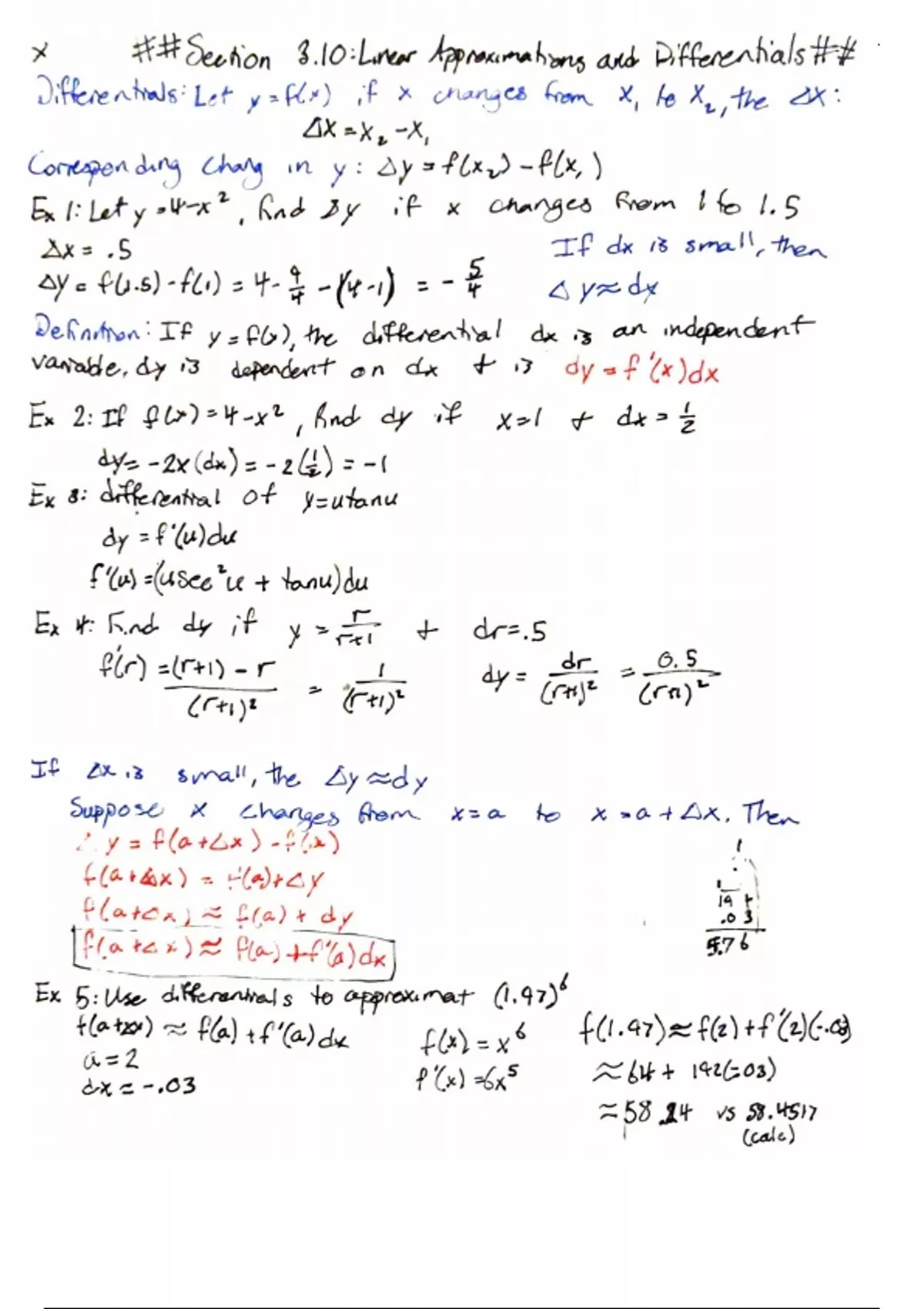
Notes taken on the topic of linear approximations and differentials as taught by Amy Austin in MATH 151 at TAMU. These notes contain formulas and explanations for how to perform linear approximations and differentials. They also contains lots of examples showing how to use these formulas.

Show more Read less








Whoops! We can’t load your doc right now. Try again or contact support.

Document information

Uploaded on
June 21, 2023
Number of pages
3
Written in
2021/2022
Type
Class notes
Professor(s)
Amy austin
Contains
Linear approximations and differentials
$7.99
Get access to the full document:

100% satisfaction guarantee
Immediately available after payment
Both online and in PDF
No strings attached

Get to know the seller
Seller avatar
danselle

Get to know the seller

Seller avatar
danselle Texas A&M University
View profile
Follow You need to be logged in order to follow users or courses
Sold
0
Member since
2 year
Number of followers
0
Documents
35
Last sold
-

0.0

0 reviews

5
0
4
0
3
0
2
0
1
0

Recently viewed by you

Why students choose Stuvia

Created by fellow students, verified by reviews

Quality you can trust: written by students who passed their tests and reviewed by others who've used these notes.

Didn't get what you expected? Choose another document

No worries! You can instantly pick a different document that better fits what you're looking for.

Pay as you like, start learning right away

No subscription, no commitments. Pay the way you're used to via credit card and download your PDF document instantly.

Student with book image

“Bought, downloaded, and aced it. It really can be that simple.”

Alisha Student

Frequently asked questions