100% satisfaction guarantee Immediately available after payment Both online and in PDF No strings attached 4.2 TrustPilot
logo-home
Class notes

College aantekeningen Statistiek voor Bachelors (800551-B-6)

Rating
-
Sold
3
Pages
27
Uploaded on
19-06-2023
Written in
2022/2023

Dit document bevat aantekeningen van alle colleges van Statistiek voor Bachelors.

Institution
Course










Whoops! We can’t load your doc right now. Try again or contact support.

Written for

Institution
Study
Course

Document information

Uploaded on
June 19, 2023
Number of pages
27
Written in
2022/2023
Type
Class notes
Professor(s)
Schilperoord
Contains
All classes

Subjects

Content preview

Werkcollege: woensdagen 12.30-13.30

College 1: introductie, statistiek in het onderzoeksproces (30/01/2023)
Numerieke gegevens, die antwoord geven op de onderzoeksvraag
- Je hebt verschillende condities bij de onderzoeken
- n = aantal deelnemers
- SD = ‘’mean’’/gemiddelde
- Combinatie rijen en kolommen -> de gegevens
- (…), getal tussen haakjes = standaarddeviatie

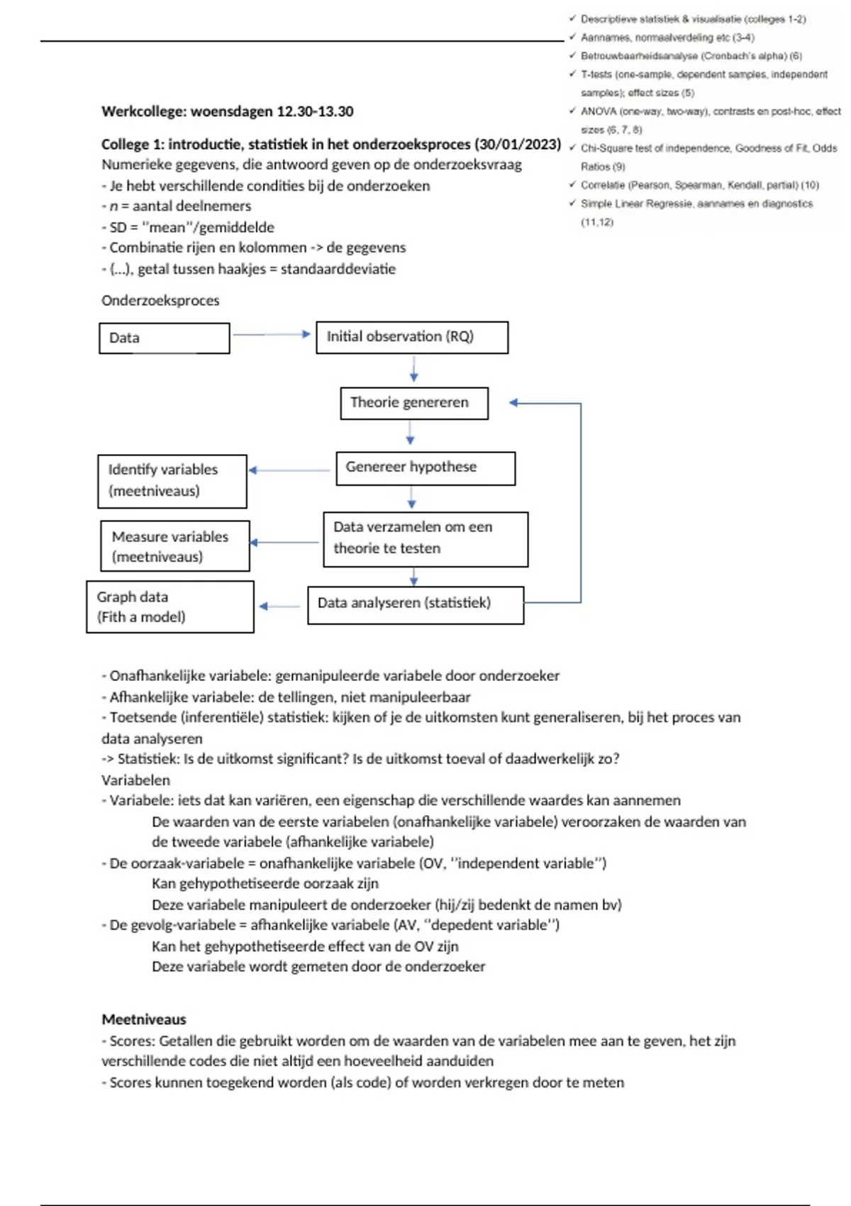
Onderzoeksproces

Data Initial observation (RQ)



Theorie genereren



Identify variables Genereer hypothese
(meetniveaus)

Data verzamelen om een
Measure variables
theorie te testen
(meetniveaus)

Graph data Data analyseren (statistiek)
(Fith a model)


- Onafhankelijke variabele: gemanipuleerde variabele door onderzoeker
- Afhankelijke variabele: de tellingen, niet manipuleerbaar
- Toetsende (inferentiële) statistiek: kijken of je de uitkomsten kunt generaliseren, bij het proces van
data analyseren
-> Statistiek: Is de uitkomst significant? Is de uitkomst toeval of daadwerkelijk zo?
Variabelen
- Variabele: iets dat kan variëren, een eigenschap die verschillende waardes kan aannemen
De waarden van de eerste variabelen (onafhankelijke variabele) veroorzaken de waarden van
de tweede variabele (afhankelijke variabele)
- De oorzaak-variabele = onafhankelijke variabele (OV, ‘’independent variable’’)
Kan gehypothetiseerde oorzaak zijn
Deze variabele manipuleert de onderzoeker (hij/zij bedenkt de namen bv)
- De gevolg-variabele = afhankelijke variabele (AV, ‘’depedent variable’’)
Kan het gehypothetiseerde effect van de OV zijn
Deze variabele wordt gemeten door de onderzoeker


Meetniveaus
- Scores: Getallen die gebruikt worden om de waarden van de variabelen mee aan te geven, het zijn
verschillende codes die niet altijd een hoeveelheid aanduiden
- Scores kunnen toegekend worden (als code) of worden verkregen door te meten

,Hoofdtypen meetniveaus
1. Categorieële scores/variabelen
- Scores ‘’betekenen’’ verschillende categorieën
- Bijvoorbeeld: Geslacht, links- of rechtshandig, bloedtype, oogkleur, etc.
- Subsoorten
Nominale scores, duidt aan tot welke categorie een fenomeen behoord (alleen maar ’tellen’,
gelijkheid)
Ordinale scores, ingedeeld in categorieën mét een bepaalde ordening (volgorde,
gelijkheid/ordening)
2. Continue scores/variabelen
- De scores duiden bepaalde hoeveelheden aan ‘’van iets’’ (dmv meten)
- Bijvoorbeeld: Leeftijd, lengte, IQ, etc.
- Subsoorten
Interval, de categorieën met ordening bevatten ook gelijke verschillen tussen de scores,
waardes op een bepaalde schaal (hoeveelheden, gelijkheid/ordening/verschil)
Ratio, hetzelfde als interval-score maar dan in aanwezigheid van een absoluut 0-punt
(afwezigheid, gelijkheid/ordening/verschil/verhouding)
-> Betekent ‘’0’’ ook echt ‘’niks’’ van iets op deze schaal? (Ja) Heeft het zin om te spreken
over negatieve waarden? (Nee), ratio (antwoorden andersom is interval)
Grafieken
- Rij: horizontale lijnen, vertegenwoordigen onderwerpen
- Column: verticale lijnen, gemeten variabelen
-> Uiteindelijk komt hier een score uit, bijvoorbeeld bij geslacht ‘’man of vrouw’’


College 2: statistische modellen: een steekproef karakteriseren (06/02/2023)
- Interval en ratio wordt door Jamovi allemaal continue variabelen genoemd
Steekproef karakteriseren
- Frequentie-verdelig
Welke scores komen voor?
Hoe vaak komt elke score voor? (ruwe tellingen en percentages (percenten))
- Histogram: grafische weergave van een frequentie-verdeling
Verticaal -> hoe vaak de score voorkomt/frequenties (density)
Horizontaal -> de score
De middelste scores komen vaak het meeste voor (gemiddeld, normaalverdeling)
- Scores rond het gemiddelde zijn relatief frequent
- Scores ‘’ver van’’ het gemiddelde zijn relatief zeldzaam
Centrummaten
- Modus: Score met de hoogste frequentie, dus de score die het vaakst voorkomt
- Mediaan: score waaronder en waarboven 50% van alle scores liggen (ligt in het midden)
- Gemiddelde: som van alle scores gedeeld door het aantal scores

, Wanneer gebruik je welke maat?

Variabele Categorical Continuous
Niveau Nominaal Ordinaal Interval Ratio
Betekenis Gelijkheid Gelijkheid en Gelijkheid, Gelijkheid,
ordening ordening en ordening, afstand
afstand en ratio
Geschikte Modus Modus Modus
centrummaat Mediaan Mediaan
Gemiddelde




- Modus: gebaseerd op frequentie, NIET op ordening of afstand tussen scores
- Mediaan: gebaseerd op frequentie en ordening, NIET op afstand tussen scores
- Gemiddelde: gebaseerd op frequentie, ordening en afstand
-> Lager geordende centrummaat kun je altijd gebruiken
Maar welke dan gebruiken? Kijk naar het niveau van het ‘’probleem’’
- Heb je te maken met continue scores, dan is de vuistregel:
1. Als modus, mediaan en gemiddelde ongeveer gelijk: gebruik het gemiddelde
Die is verreweg het meest informatief
2. Verschillen ze evident van elkaar: check je dataset en ga na wat er gaande is
Gemiddelde zegt niet veel meer, gebruik mediaan of misschien zelfs de modus
Spreidingsmaten (maten voor de verdeling in de scores (‘’dispersion’’))
- Hoe ‘’goed’’ is het gemiddelde in het karakteriseren van de individuele scores?
- Wat is het verschil tussen de individuele score en het gemiddelde, ‘’afwijking’’ of ‘’error’’
Hoe groter de uitkomsten van onderstaande berekeningen hoe ‘’slechter’’ het gemiddelde
Spreiding:
- SD (standaarddeviatie, s): de gemiddelde afwijking van de scores tov het gemiddelde
Alle ‘’errors’’ optellen gedeeld door het aantal
(uitgedrukt in dezelfde eenheid als de oorspronkelijke waarden, op schaal van aantal soorten
scores (schoolcijfer is dus op schaal van 1 tot 10))


De variantie (s^2):
(uitgedrukt in grotere
eenheden, bijvoorbeeld
vierkante meters)

Samenvattend
1. Centrale tendensmaten: modus, mediaan, mean
2. Dispersiematen: standaarddeviatie, variantie
SD: gemiddelde afstand van de individuele scores tov het gemiddelde
$8.98
Get access to the full document:

100% satisfaction guarantee
Immediately available after payment
Both online and in PDF
No strings attached


Also available in package deal

Get to know the seller

Seller avatar
Reputation scores are based on the amount of documents a seller has sold for a fee and the reviews they have received for those documents. There are three levels: Bronze, Silver and Gold. The better the reputation, the more your can rely on the quality of the sellers work.
Nora101 Tilburg University
Follow You need to be logged in order to follow users or courses
Sold
70
Member since
2 year
Number of followers
32
Documents
42
Last sold
4 weeks ago

Ik hoop (aankomende) Communicatie- en Informatiewetenschappen studenten door middel van mijn samenvattingen en aantekeningen te helpen in hun collegejaren door de moeite van het schrijven van samenvattingen en het geld voor het aanschaffen van boeken te ontnemen. Ook hoop ik door de college aantekeningen te delen, dat studenten tijdens de colleges beter kunnen opletten en de stof na het zien van mijn aantekeningen beter begrijpen.

4.7

3 reviews

5
2
4
1
3
0
2
0
1
0

Recently viewed by you

Why students choose Stuvia

Created by fellow students, verified by reviews

Quality you can trust: written by students who passed their tests and reviewed by others who've used these notes.

Didn't get what you expected? Choose another document

No worries! You can instantly pick a different document that better fits what you're looking for.

Pay as you like, start learning right away

No subscription, no commitments. Pay the way you're used to via credit card and download your PDF document instantly.

Student with book image

“Bought, downloaded, and aced it. It really can be that simple.”

Alisha Student

Frequently asked questions