100% satisfaction guarantee Immediately available after payment Both online and in PDF No strings attached 4.6 TrustPilot
logo-home
Exam (elaborations)

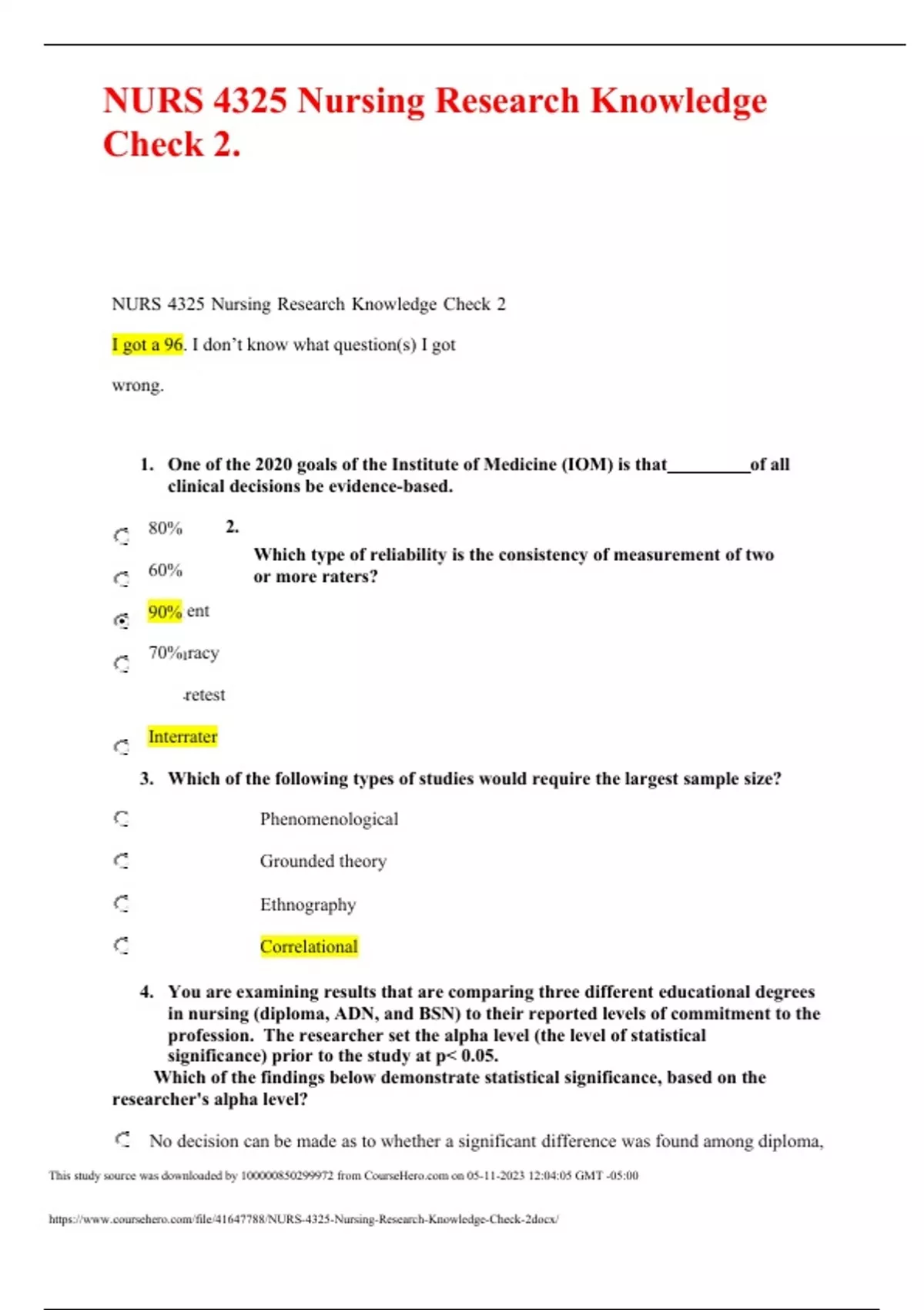
NURS 4325 Nursing Research Knowledge Check 2.

Rating
-
Sold
-
Pages
8
Grade
A+
Uploaded on
11-05-2023
Written in
2022/2023

NURS 4325 Nursing Research Knowledge Check 2.

Institution
NURS 4325
Module
NURS 4325









Whoops! We can’t load your doc right now. Try again or contact support.

Written for

Institution
NURS 4325
Module
NURS 4325

Document information

Uploaded on
May 11, 2023
Number of pages
8
Written in
2022/2023
Type
Exam (elaborations)
Contains
Questions & answers

Subjects

Get to know the seller

Seller avatar
Reputation scores are based on the amount of documents a seller has sold for a fee and the reviews they have received for those documents. There are three levels: Bronze, Silver and Gold. The better the reputation, the more your can rely on the quality of the sellers work.
Bestnursesolution001 Harvard University
View profile
Follow You need to be logged in order to follow users or courses
Sold
15
Member since
5 year
Number of followers
14
Documents
2276
Last sold
6 months ago

3.0

2 reviews

5
1
4
0
3
0
2
0
1
1

Trending documents

Recently viewed by you

Why students choose Stuvia

Created by fellow students, verified by reviews

Quality you can trust: written by students who passed their exams and reviewed by others who've used these revision notes.

Didn't get what you expected? Choose another document

No problem! You can straightaway pick a different document that better suits what you're after.

Pay as you like, start learning straight away

No subscription, no commitments. Pay the way you're used to via credit card and download your PDF document instantly.

Student with book image

“Bought, downloaded, and smashed it. It really can be that simple.”

Alisha Student

Frequently asked questions