SQE 2 LEGAL RESEARCH ASSESSMENT - EXAM NOTES
Problem-solving
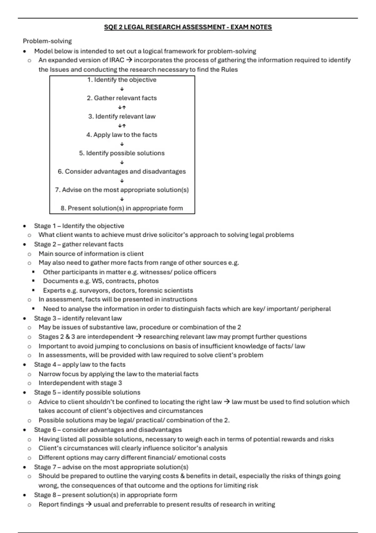
• Model below is intended to set out a logical framework for problem-solving
o An expanded version of IRAC → incorporates the process of gathering the information required to identify
the Issues and conducting the research necessary to find the Rules
1. Identify the objective
↓
2. Gather relevant facts
↓↑
3. Identify relevant law
↓↑
4. Apply law to the facts
↓
5. Identify possible solutions
↓
6. Consider advantages and disadvantages
↓
7. Advise on the most appropriate solution(s)
↓
8. Present solution(s) in appropriate form
• Stage 1 – Identify the objective
What client wants to achieve must drive solicitor’s approach to solving legal problems
o
• Stage 2 – gather relevant facts
o Main source of information is client
o May also need to gather more facts from range of other sources e.g.
▪ Other participants in matter e.g. witnesses/ police officers
▪ Documents e.g. WS, contracts, photos
▪ Experts e.g. surveyors, doctors, forensic scientists
o In assessment, facts will be presented in instructions
▪ Need to analyse the information in order to distinguish facts which are key/ important/ peripheral
• Stage 3 – identify relevant law
o May be issues of substantive law, procedure or combination of the 2
o Stages 2 & 3 are interdependent → researching relevant law may prompt further questions
o Important to avoid jumping to conclusions on basis of insufficient knowledge of facts/ law
o In assessments, will be provided with law required to solve client’s problem
• Stage 4 – apply law to the facts
o Narrow focus by applying the law to the material facts
o Interdependent with stage 3
• Stage 5 – identify possible solutions
o Advice to client shouldn’t be confined to locating the right law → law must be used to find solution which
takes account of client’s objectives and circumstances
o Possible solutions may be legal/ practical/ combination of the 2.
• Stage 6 – consider advantages and disadvantages
o Having listed all possible solutions, necessary to weigh each in terms of potential rewards and risks
o Client’s circumstances will clearly influence solicitor’s analysis
o Different options may carry different financial/ emotional costs
• Stage 7 – advise on the most appropriate solution(s)
o Should be prepared to outline the varying costs & benefits in detail, especially the risks of things going
wrong, the consequences of that outcome and the options for limiting risk
• Stage 8 – present solution(s) in appropriate form
o Report findings → usual and preferrable to present results of research in writing
Problem-solving
• Model below is intended to set out a logical framework for problem-solving
o An expanded version of IRAC → incorporates the process of gathering the information required to identify
the Issues and conducting the research necessary to find the Rules
1. Identify the objective
↓
2. Gather relevant facts
↓↑
3. Identify relevant law
↓↑
4. Apply law to the facts
↓
5. Identify possible solutions
↓
6. Consider advantages and disadvantages
↓
7. Advise on the most appropriate solution(s)
↓
8. Present solution(s) in appropriate form
• Stage 1 – Identify the objective
What client wants to achieve must drive solicitor’s approach to solving legal problems
o
• Stage 2 – gather relevant facts
o Main source of information is client
o May also need to gather more facts from range of other sources e.g.
▪ Other participants in matter e.g. witnesses/ police officers
▪ Documents e.g. WS, contracts, photos
▪ Experts e.g. surveyors, doctors, forensic scientists
o In assessment, facts will be presented in instructions
▪ Need to analyse the information in order to distinguish facts which are key/ important/ peripheral
• Stage 3 – identify relevant law
o May be issues of substantive law, procedure or combination of the 2
o Stages 2 & 3 are interdependent → researching relevant law may prompt further questions
o Important to avoid jumping to conclusions on basis of insufficient knowledge of facts/ law
o In assessments, will be provided with law required to solve client’s problem
• Stage 4 – apply law to the facts
o Narrow focus by applying the law to the material facts
o Interdependent with stage 3
• Stage 5 – identify possible solutions
o Advice to client shouldn’t be confined to locating the right law → law must be used to find solution which
takes account of client’s objectives and circumstances
o Possible solutions may be legal/ practical/ combination of the 2.
• Stage 6 – consider advantages and disadvantages
o Having listed all possible solutions, necessary to weigh each in terms of potential rewards and risks
o Client’s circumstances will clearly influence solicitor’s analysis
o Different options may carry different financial/ emotional costs
• Stage 7 – advise on the most appropriate solution(s)
o Should be prepared to outline the varying costs & benefits in detail, especially the risks of things going
wrong, the consequences of that outcome and the options for limiting risk
• Stage 8 – present solution(s) in appropriate form
o Report findings → usual and preferrable to present results of research in writing