100% satisfaction guarantee Immediately available after payment Both online and in PDF No strings attached 4.6 TrustPilot
logo-home
Class notes

Introduction to Pharmacology

Rating
-
Sold
-
Pages
6
Uploaded on
19-09-2025
Written in
2024/2025

Here are my notes regarding the introduction for pharmacology. Hope they help. xoxo










Whoops! We can’t load your doc right now. Try again or contact support.

Document information

Uploaded on
September 19, 2025
Number of pages
6
Written in
2024/2025
Type
Class notes
Professor(s)
Dr mj
Contains
All classes

Content preview

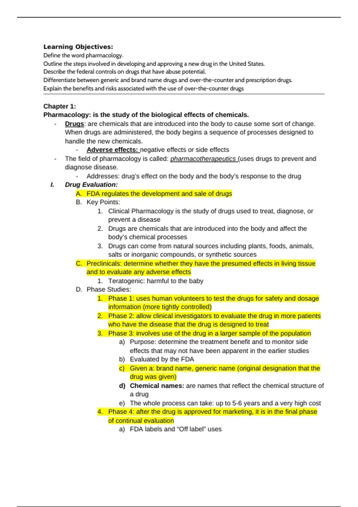
Learning Objectives:
Define the word pharmacology.
Outline the steps involved in developing and approving a new drug in the United States.
Describe the federal controls on drugs that have abuse potential.
Differentiate between generic and brand name drugs and over-the-counter and prescription drugs.
Explain the benefits and risks associated with the use of over-the-counter drugs

Chapter 1:
Pharmacology: is the study of the biological effects of chemicals.
- Drugs: are chemicals that are introduced into the body to cause some sort of change.
When drugs are administered, the body begins a sequence of processes designed to
handle the new chemicals.
- Adverse effects: negative effects or side effects
- The field of pharmacology is called: pharmacotherapeutics (uses drugs to prevent and
diagnose disease.
- Addresses: drug’s effect on the body and the body’s response to the drug
I. Drug Evaluation:
A. FDA regulates the development and sale of drugs
B. Key Points:
1. Clinical Pharmacology is the study of drugs used to treat, diagnose, or
prevent a disease
2. Drugs are chemicals that are introduced into the body and affect the
body’s chemical processes
3. Drugs can come from natural sources including plants, foods, animals,
salts or inorganic compounds, or synthetic sources
C. Preclinicals: determine whether they have the presumed effects in living tissue
and to evaluate any adverse effects
1. Teratogenic: harmful to the baby
D. Phase Studies:
1. Phase 1: uses human volunteers to test the drugs for safety and dosage
information (more tightly controlled)
2. Phase 2: allow clinical investigators to evaluate the drug in more patients
who have the disease that the drug is designed to treat
3. Phase 3: involves use of the drug in a larger sample of the population
a) Purpose: determine the treatment benefit and to monitor side
effects that may not have been apparent in the earlier studies
b) Evaluated by the FDA
c) Given a: brand name, generic name (original designation that the
drug was given)
d) Chemical names: are names that reflect the chemical structure of
a drug
e) The whole process can take: up to 5-6 years and a very high cost
4. Phase 4: after the drug is approved for marketing, it is in the final phase
of continual evaluation
a) FDA labels and “Off label” uses

, (1) Prescribed info is refined and med is “labeled”
(2) “Off label” is referred to uses of a drug that are not part of
the stated therapeutic indications for which the drug was
approved by the FDA
II. Legal Regulation of Drugs:
A. FDA regulates the development and sale of drugs
B. Drugs are categorized: indicating a drug’s potential or actual teratogenic effects,
thus offering guidelines for use
C. Controlled substances:
1. Comprehensive Drug Abuse Prevention and Control Act of 1970
established categories for ranking the abuse potential of various drugs
2. Prescription, distribution, storage, and use of controlled substance drugs
are closely monitored by the DEA in an attempt to decrease substance
abuse of prescribed medications
D. Generic drugs: are chemicals that are produced by companies involved solely in
the manufacturing of drugs
E. Orphan drugs: are drugs that have been discovered but are not financially
viable and have not been adopted by any drug company
F. Over the counter (OTC) drugs: are products that are available without
prescription for self-treatment of a variety of complaints

Learning Objectives:
Describe how body cells respond to the presence of drugs that are capable of altering their function.
Outline the process of dynamic equilibrium that determines the actual concentration of a drug in the body.
Explain the meaning of half-life of a drug and calculate the half-life of given drugs.
List at least six factors that can influence the actual effectiveness of drugs in the body.
Define drug–drug, drug–alternative therapy, drug–food, and drug–laboratory test interactions.

Chapter 2:
Pharmacodynamics: how the drug affects the body
Pharmacokinetics: how the body acts on the drug
I. Pharmacodynamics: the study of the interactions between the chemical components of
living systems and the foreign chemicals, including drugs, that enter those systems
A. Drugs work in 4 ways:
1. To replace or act as substitutes for missing chemicals
2. To increase or stimulate certain cellular activities
3. To depress or slow cellular activities
4. To interfere with the functioning of foreign cells, such as invading
microorganisms or neoplasms that cause cell death (drugs that act in this
way are called chemotherapeutic agents)
B. Receptor site: specific areas on cell membranes that react with certain chemicals
to cause an effect within the cell
C. Drugs also can cause their effects by interfering with the enzyme systems that
act as catalysts for various chemical reactions
$9.99
Get access to the full document:

100% satisfaction guarantee
Immediately available after payment
Both online and in PDF
No strings attached

Get to know the seller
Seller avatar
oliviad

Also available in package deal

Thumbnail
Package deal
Pharmacology Notes for Nursing School
-
7 2025
$ 68.53 More info

Get to know the seller

Seller avatar
oliviad College Of Saint Elizabeth
View profile
Follow You need to be logged in order to follow users or courses
Sold
0
Member since
3 months
Number of followers
0
Documents
12
Last sold
-
Living Life with Liv

Hi everyone! I hope that this account helps ease any stress you have with school. My goal is to provide as much help as possible to help you succeed on your education journey like I have. I strive to always have organized, precise, and colorful notes. Good luck :) xoxo

0.0

0 reviews

5
0
4
0
3
0
2
0
1
0

Recently viewed by you

Why students choose Stuvia

Created by fellow students, verified by reviews

Quality you can trust: written by students who passed their tests and reviewed by others who've used these notes.

Didn't get what you expected? Choose another document

No worries! You can instantly pick a different document that better fits what you're looking for.

Pay as you like, start learning right away

No subscription, no commitments. Pay the way you're used to via credit card and download your PDF document instantly.

Student with book image

“Bought, downloaded, and aced it. It really can be that simple.”

Alisha Student

Frequently asked questions