100% satisfaction guarantee Immediately available after payment Both online and in PDF No strings attached 4.6 TrustPilot
logo-home
Exam (elaborations)

Chapter 13 Decentralization and Shared Governance Questions and Answers with Complete Solutions

Rating
-
Sold
-
Pages
12
Grade
A+
Uploaded on
11-09-2025
Written in
2025/2026

Chapter 13 Decentralization and Shared Governance Questions and Answers with Complete Solutions










Whoops! We can’t load your doc right now. Try again or contact support.

Document information

Uploaded on
September 11, 2025
Number of pages
12
Written in
2025/2026
Type
Exam (elaborations)
Contains
Questions & answers

Subjects

Content preview

lOMoAR cPSD| 47061011




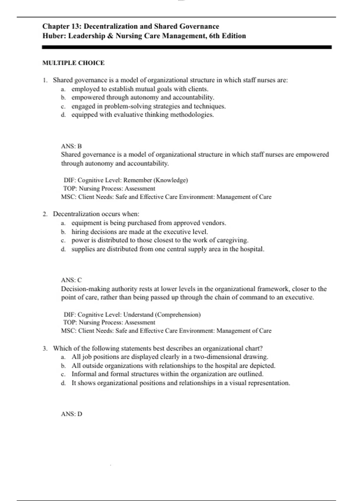
Chapter 13: Decentralization and Shared Governance
Huber: Leadership & Nursing Care Management, 6th Edition


MULTIPLE CHOICE

1. Shared governance is a model of organizational structure in which staff nurses are:
a. employed to establish mutual goals with clients.
b. empowered through autonomy and accountability.
c. engaged in problem-solving strategies and techniques.
d. equipped with evaluative thinking methodologies.



ANS: B
Shared governance is a model of organizational structure in which staff nurses are empowered
through autonomy and accountability.

DIF: Cognitive Level: Remember (Knowledge)
TOP: Nursing Process: Assessment
MSC: Client Needs: Safe and Effective Care Environment: Management of Care

2. Decentralization occurs when:
a. equipment is being purchased from approved vendors.
b. hiring decisions are made at the executive level.
c. power is distributed to those closest to the work of caregiving.
d. supplies are distributed from one central supply area in the hospital.



ANS: C
Decision-making authority rests at lower levels in the organizational framework, closer to the
point of care, rather than being passed up through the chain of command to an executive.

DIF: Cognitive Level: Understand (Comprehension)
TOP: Nursing Process: Assessment
MSC: Client Needs: Safe and Effective Care Environment: Management of Care

3. Which of the following statements best describes an organizational chart?
a. All job positions are displayed clearly in a two-dimensional drawing.
b. All outside organizations with relationships to the hospital are depicted.
c. Informal and formal structures within the organization are outlined.
d. It shows organizational positions and relationships in a visual representation.



ANS: D




.

, lOMoAR cPSD| 47061011




The organizational chart is a diagrammatic representation that displays “the flow of authority,
chain of command, titles, and functions.

DIF: Cognitive Level: Understand (Comprehension)
TOP: Nursing Process: Assessment
MSC: Client Needs: Safe and Effective Care Environment: Management of Care

4. Nurses’ involvement in shared governance is an important component of:
a. practice models.
b. Magnet recognition.
c. increased reimbursement.
d. physician satisfaction.



ANS: B
Nurses’ involvement in governance is an important component of the American Nurses
Credentialing Center’s Magnet Recognition Program®.

DIF: Cognitive Level: Remember (Knowledge)
TOP: Nursing Process: Assessment
MSC: Client Needs: Safe and Effective Care Environment: Management of Care

5. A nurse works in the critical care unit (CCU). She enjoys being on the unit charge nurse team,
the recruitment and retention team, and the peer evaluation team. The recruitment and retention
team is responsible for hiring new employees into the CCU. The five-member team, consisting of
three registered nurses (RNs), a unit clerk, and a nurse’s aide, conduct the interviewing process
with key questions that were developed by the team. This is an example of:
a. centralized power.
b. shared governance.
c. span of control.
d. vertical authority.



ANS: B
For shared governance to be effective, decision making must be shared by empowered staff at
the point where patients receive care.

DIF: Cognitive Level: Apply (Application) TOP: Nursing Process: Planning
MSC: Client Needs: Safe and Effective Care Environment: Management of Care

6. Which of the following leadership styles is best suited for implementation of a shared
governance structure? a. Authoritarian
b. Autocratic
c. Participative
d. Laissez-faire




.

Get to know the seller

Seller avatar
Reputation scores are based on the amount of documents a seller has sold for a fee and the reviews they have received for those documents. There are three levels: Bronze, Silver and Gold. The better the reputation, the more your can rely on the quality of the sellers work.
Performance Chamberlain College Of Nursing
View profile
Follow You need to be logged in order to follow users or courses
Sold
333
Member since
1 year
Number of followers
38
Documents
15903
Last sold
19 hours ago

GET EVERYTHING YOU NEED TO ACE YOUR CLASSES IN ONE PLACE. WE OFFER INSTANT DOWNLOADS OF TEST BANKS, EASY-TO-READ STUDY GUIDES, STEP-BY-STEP HOMEWORK HELP, AND SAMPLE RESEARCH PAPERS TO SAVE YOU HOURS OF WORK. WHETHER YOU'RE PREPPING FOR A BIG FINAL OR STUCK ON A TOUGH ASSIGNMENT, OUR RESOURCES GIVE YOU THE EXACT SHORTCUTS AND PRACTICE YOU NEED TO BOOST YOUR GRADES FAST. STOP STRESSING AND GET THE COMPETITIVE EDGE YOU NEED TO SUCCEED RIGHT NOW!!!

Read more Read less
4.4

220 reviews

5
128
4
60
3
22
2
4
1
6

Recently viewed by you

Why students choose Stuvia

Created by fellow students, verified by reviews

Quality you can trust: written by students who passed their tests and reviewed by others who've used these notes.

Didn't get what you expected? Choose another document

No worries! You can instantly pick a different document that better fits what you're looking for.

Pay as you like, start learning right away

No subscription, no commitments. Pay the way you're used to via credit card and download your PDF document instantly.

Student with book image

“Bought, downloaded, and aced it. It really can be that simple.”

Alisha Student

Frequently asked questions