Written by students who passed Immediately available after payment Read online or as PDF Wrong document? Swap it for free 4.6 TrustPilot
logo-home
Summary

Summary AP Calculus BC – Complete Integration Notes (Full Concepts + Solved Problems + Answer Keys)

Rating
-
Sold
-
Pages
34
Uploaded on
17-08-2025
Written in
2024/2025

This 34-page AP Calculus BC PDF covers all integration topics in full detail. Includes clear explanations, practice questions adapted from Barron's, all solved by the author, and answer keys. Essential resource for AP exam preparation. Some questions are Barron's, but all solutions and illustrations are original.

Show more Read less
Institution
Course

Content preview

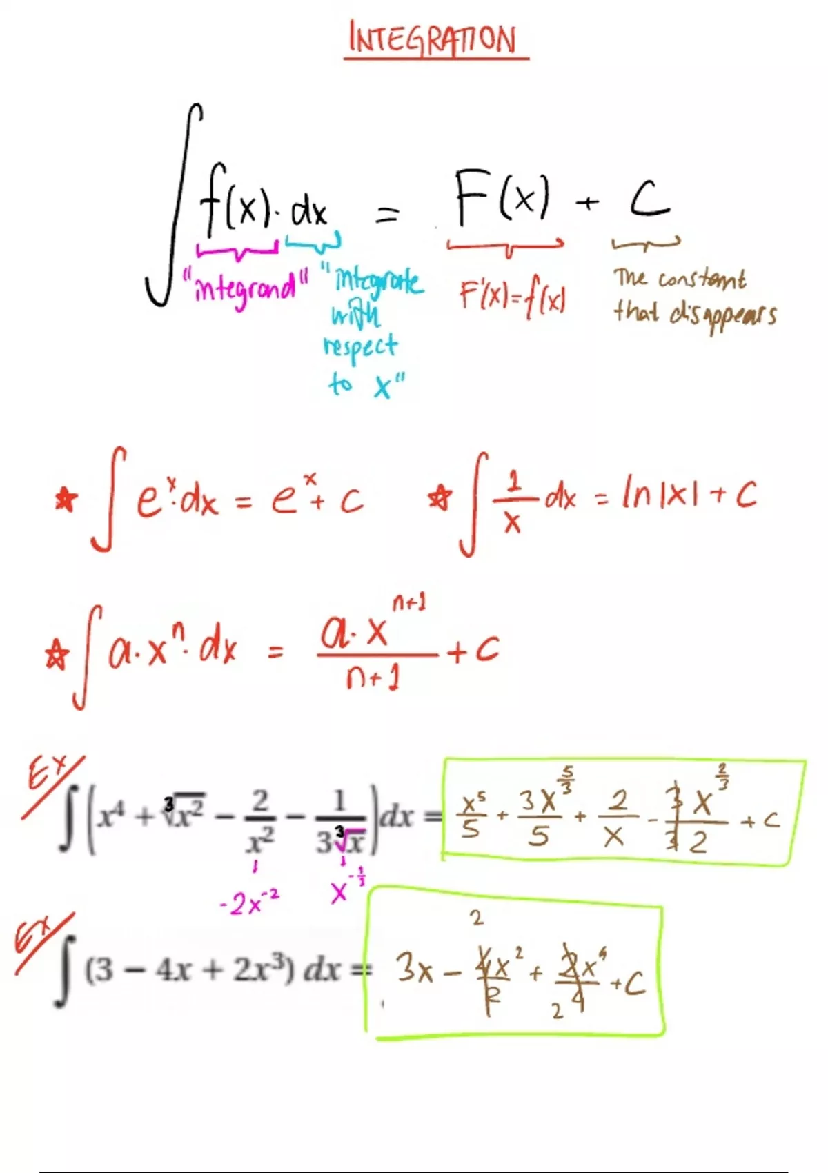
INTEGRATION




fflxl.ly!ntegrate.FI FIX C
Integrand fxFnehnstant
w!th that d!sappears
respect
to



Geld! etc dx



nlxltcsfa.xn.dk a
n 1
C




EEEE.IE
H3x
!f 4

, U subst!tut!on
U subst!tut!on !s l!ke a reverse cha!n rule where
you subst!tute the more bmplex part of an
!ntegral w!th u then rewr!te everyth!ng !n terms of u




fudu
ü
6x 13 7
C
dx



du
küçük.de uYy y tfu
3x2dx
YJ JY c Hj5P

,EY


t.!n1 YEY
E
2 7 2 Inlultc 21nl!.tv

dx IY7
EtZ x
p
3 ¡ 4x 2
dx
Efkan

C 4.34XF
yfzuk
Z
4x2

WEE tE.!t L'ün
3
(x ¡ 1)
3 dx




Ev 5

, Z p 4
(1 + x) du
p
x
dx 2 du
fu
2
U It Fx

Fx 2 ˢ N
c
EH

Z
p
2
(2 ¡ x) ¢ x ¢ dx dx 4xHE.!q
7nF
47 2EF 42EE


Z
x3 ¡ x ¡ 4
2x 2
dx
Er E El dx
E tx E.la
Yan!
Ink C

Z
3x ¡ 1
! da
ÖYLE
p
3
dx
1 ¡ 2x + 3x 2




E 6 2
C 4 47
2 3 C

Written for

Course

Document information

Uploaded on
August 17, 2025
Number of pages
34
Written in
2024/2025
Type
SUMMARY

Subjects

$10.82
Get access to the full document:

Wrong document? Swap it for free Within 14 days of purchase and before downloading, you can choose a different document. You can simply spend the amount again.
Written by students who passed
Immediately available after payment
Read online or as PDF

Get to know the seller
Seller avatar
apMathMaster

Also available in package deal

Get to know the seller

Seller avatar
apMathMaster
Follow You need to be logged in order to follow users or courses
Sold
-
Member since
7 months
Number of followers
0
Documents
8
Last sold
-
APMathMaster

Welcome to APMathMaster! Here you will find high-quality, exam-focused study notes for AP Calculus BC and other advanced high school courses. I have got a 5 from my own exam with this notes! All notes include clear explanations, solved problems, and answer keys to help you prepare effectively and achieve top scores. Perfect for students who want reliable, ready-to-use resources for exam success.

0.0

0 reviews

5
0
4
0
3
0
2
0
1
0

Trending documents

Recently viewed by you

Why students choose Stuvia

Created by fellow students, verified by reviews

Quality you can trust: written by students who passed their tests and reviewed by others who've used these notes.

Didn't get what you expected? Choose another document

No worries! You can instantly pick a different document that better fits what you're looking for.

Pay as you like, start learning right away

No subscription, no commitments. Pay the way you're used to via credit card and download your PDF document instantly.

Student with book image

“Bought, downloaded, and aced it. It really can be that simple.”

Alisha Student

Frequently asked questions