100% satisfaction guarantee Immediately available after payment Both online and in PDF No strings attached 4.6 TrustPilot
logo-home
Exam (elaborations)

NSG 3850 Exam 1 Patho 2

Rating
5.0
(1)
Sold
6
Pages
14
Grade
A
Uploaded on
17-07-2025
Written in
2024/2025

This was the closest document to what was exam 1 has most of the questions. The review with the mark ups with title “NSG 3850 Exam 1 GOOD review” and this will get you through exam 1

Institution
NSG 3850
Course
NSG 3850

Content preview

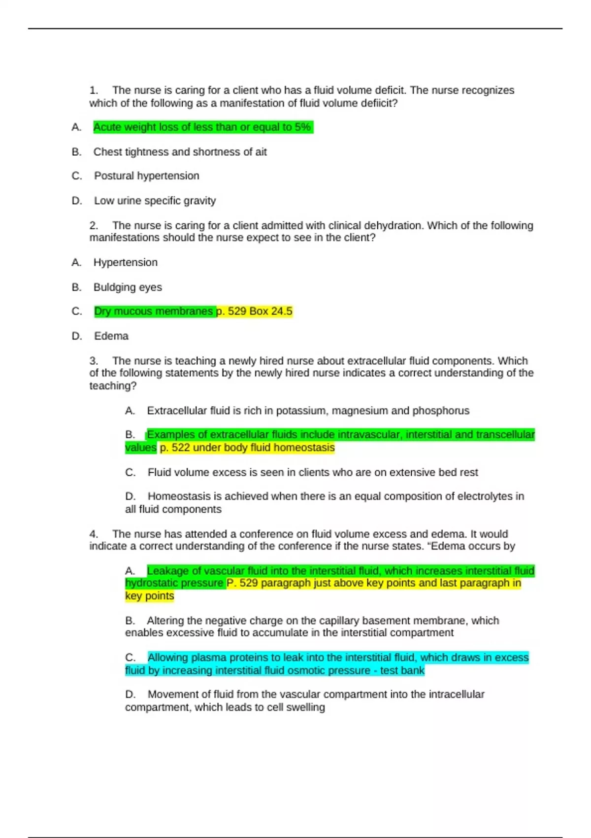
1. The nurse is caring for a client who has a fluid volume deficit. The nurse recognizes
which of the following as a manifestation of fluid volume defiicit?

A. Acute weight loss of less than or equal to 5%

B. Chest tightness and shortness of ait

C. Postural hypertension

D. Low urine specific gravity

2. The nurse is caring for a client admitted with clinical dehydration. Which of the following
manifestations should the nurse expect to see in the client?

A. Hypertension

B. Buldging eyes

C. Dry mucous membranes p. 529 Box 24.5

D. Edema

3. The nurse is teaching a newly hired nurse about extracellular fluid components. Which
of the following statements by the newly hired nurse indicates a correct understanding of the
teaching?

A. Extracellular fluid is rich in potassium, magnesium and phosphorus

B. Examples of extracellular fluids include intravascular, interstitial and transcellular
values p. 522 under body fluid homeostasis

C. Fluid volume excess is seen in clients who are on extensive bed rest

D. Homeostasis is achieved when there is an equal composition of electrolytes in
all fluid components

4. The nurse has attended a conference on fluid volume excess and edema. It would
indicate a correct understanding of the conference if the nurse states. “Edema occurs by

A. Leakage of vascular fluid into the interstitial fluid, which increases interstitial fluid
hydrostatic pressure P. 529 paragraph just above key points and last paragraph in
key points

B. Altering the negative charge on the capillary basement membrane, which
enables excessive fluid to accumulate in the interstitial compartment

C. Allowing plasma proteins to leak into the interstitial fluid, which draws in excess
fluid by increasing interstitial fluid osmotic pressure - test bank

D. Movement of fluid from the vascular compartment into the intracellular
compartment, which leads to cell swelling

, 5. The nurse working on a medical-surgical unit is caring for a 70 year old client. Which of
the following statements by the nurse indicates a correct understanding of the water in an
older adults body?

A. It is decreased because of increased adipose tissue and decreased muscle
mass

B. It is increased because of decreased renal function and hormonal fluctuations

C. It is decreased because of renal changes that cause diuresis with sodium
excretion p. 537 Geriatric considerations at bottom of page

D. It is increased because of decreased adipose tissue and decreased bone mass

6. The nurse preceptor is talking with a newly hired nurse about ways in which a client can
have electrolyte loss. It regulates further teaching by the nurse preceptor if the newly hired
nurse listed that electrolyte excretion occurs through

A. Lymph p. 531 electrolyte excretion and abnormal routes

B. Vomitus

C. Urine

D. Feces

7. The nurse has attended a conference about electrolyte imbalances. The nurse learns
that both hypokalemia and hyperkalemia have similar manifestations. Which of the following
manifestations listed by the nurse requires additional teaching

A. Cardiac dysrhythmia

B. Abdominal distention

C. Elevated body temperature p. 532

D. Muscle weakness

8. The nurse is caring for a client who has a sodium imbalance. The nurse understands
the manifestations from sodium imbalances occur primarily due to

A. Hypervolemia

B. Cellular fluid shifts p. 526Body Fluid Concentration

C. Hyperosmolarity

D. Vascular changes

9. The nurse is caring for a client who has developed a sodium level of 128 mEq/L. Which
of the following should the nurse recognize as contributing to this clients sodium level?

Written for

Institution
NSG 3850
Course
NSG 3850

Document information

Uploaded on
July 17, 2025
Number of pages
14
Written in
2024/2025
Type
Exam (elaborations)
Contains
Questions & answers

Reviews from verified buyers

Showing all reviews
5 months ago

5.0

1 reviews

5
1
4
0
3
0
2
0
1
0
Trustworthy reviews on Stuvia

All reviews are made by real Stuvia users after verified purchases.

Get to know the seller

Seller avatar
Reputation scores are based on the amount of documents a seller has sold for a fee and the reviews they have received for those documents. There are three levels: Bronze, Silver and Gold. The better the reputation, the more your can rely on the quality of the sellers work.
anagalvis Galen College Of Nursing
View profile
Follow You need to be logged in order to follow users or courses
Sold
456
Member since
1 year
Number of followers
41
Documents
89
Last sold
5 hours ago

4.0

43 reviews

5
22
4
7
3
8
2
3
1
3

Recently viewed by you

Why students choose Stuvia

Created by fellow students, verified by reviews

Quality you can trust: written by students who passed their tests and reviewed by others who've used these notes.

Didn't get what you expected? Choose another document

No worries! You can instantly pick a different document that better fits what you're looking for.

Pay as you like, start learning right away

No subscription, no commitments. Pay the way you're used to via credit card and download your PDF document instantly.

Student with book image

“Bought, downloaded, and aced it. It really can be that simple.”

Alisha Student

Frequently asked questions