100% satisfaction guarantee Immediately available after payment Both online and in PDF No strings attached 4.2 TrustPilot
logo-home
Summary

Sumario Apuntes Análisis 3 (BII)

Rating
-
Sold
-
Pages
8
Uploaded on
15-06-2025
Written in
2024/2025

Apuntes del tema de Análisis (Parte 3) del temario de Matemáticas II. Con ejemplos y explicaciones claras para el examen de PAU.

Institution
Course









Whoops! We can’t load your doc right now. Try again or contact support.

Written for

Institution
Secondary school
Study
Bachillerato
Course
School year
6

Document information

Uploaded on
June 15, 2025
Number of pages
8
Written in
2024/2025
Type
Summary

Subjects

Content preview

EEE.E.EE im
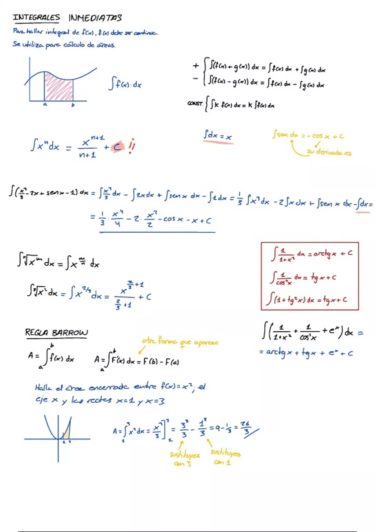
Seutilizaparacálculodeáreas

fax gex dx fuide gasde
ffey.de Stas ga dx falda gasde
a o CONST
SKfa dx K feOx

Sox Ssendx Cos C
Sx dx ÉI C derivadaes




E ex sen x 1 Ox de
faxdx sea x dx
fl dx fxsdx 2fxdxtfsenxdxfd
tz.Y 2
f cosx



SFxmdx
fxt.de SEEOx aretgx C


SÉ de tgxtc
SE dx dx
IIIC 11 tgrx dx tgx C


otraformaqueaparece tafetán e de
REFF.FI arctyx tqx e C
Affáldx F 6 Flas

Halla el arce encerradaentre fax el
eje x y lasrectas 1 y 3

9
A
Iidx
sustituyes sustituyes
con3 Con1

, T.EE1IEDIATAs 13 71 dx 13 71 de 13 71de13.13724714C


le


Sexdx
su no evitar iz.ir e


extC 7 de sen 3
1
7 C
Sycos 3 17 de cos
sueno e c
con LEEEEdgnitas
Sucosade senute 7
d TI 7 de fzdx F.in 0x71 C
fui de Inu C nstente
Integralesenlasqueen el numeradorhaynace
y en eldenominadorunpolinomio de 1ᵉʳgrado
fui fuide
arctgutc SI dx aretg12x1




2 IEsidx
Ex
tff
3
Ey Es ftp.jox FB.atExl

t Stgxdx
f Edx f Edx InicosxII



TiiiiijEI am
EEOx Infinite
de 2750 3 de
idx 31nkts.lt



FE ox i Es siiii
$4.43
Get access to the full document:

100% satisfaction guarantee
Immediately available after payment
Both online and in PDF
No strings attached

Get to know the seller
Seller avatar
saraa9

Get to know the seller

Seller avatar
saraa9
Follow You need to be logged in order to follow users or courses
Sold
0
Member since
5 months
Number of followers
0
Documents
55
Last sold
-

0.0

0 reviews

5
0
4
0
3
0
2
0
1
0

Recently viewed by you

Why students choose Stuvia

Created by fellow students, verified by reviews

Quality you can trust: written by students who passed their tests and reviewed by others who've used these notes.

Didn't get what you expected? Choose another document

No worries! You can instantly pick a different document that better fits what you're looking for.

Pay as you like, start learning right away

No subscription, no commitments. Pay the way you're used to via credit card and download your PDF document instantly.

Student with book image

“Bought, downloaded, and aced it. It really can be that simple.”

Alisha Student

Frequently asked questions