100% satisfaction guarantee Immediately available after payment Both online and in PDF No strings attached 4.6 TrustPilot
logo-home
Exam (elaborations)

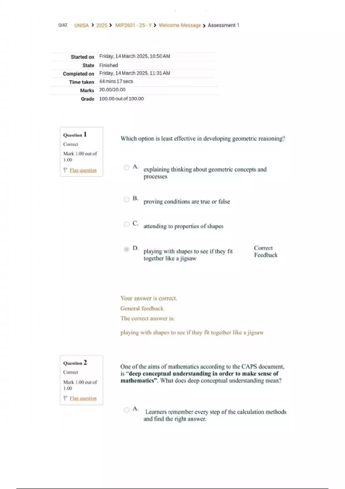
MIP2601 Assignment 1 Quiz (ANSWERS) 2025 - DUE 14 May 2025.

Rating
-
Sold
-
Pages
11
Grade
A+
Uploaded on
15-04-2025
Written in
2024/2025

MIP2601 Assignment 1 Quiz (ANSWERS) 2025 - DUE 14 May 2025.

Institution
Course









Whoops! We can’t load your doc right now. Try again or contact support.

Written for

Institution
Course

Document information

Uploaded on
April 15, 2025
Number of pages
11
Written in
2024/2025
Type
Exam (elaborations)
Contains
Questions & answers

Subjects

Get to know the seller

Seller avatar
Reputation scores are based on the amount of documents a seller has sold for a fee and the reviews they have received for those documents. There are three levels: Bronze, Silver and Gold. The better the reputation, the more your can rely on the quality of the sellers work.
jhdavisoedu09 Boston City Campus and Business College
Follow You need to be logged in order to follow users or courses
Sold
2310
Member since
1 year
Number of followers
4
Documents
449
Last sold
12 hours ago

4.8

158 reviews

5
140
4
11
3
3
2
0
1
4

Recently viewed by you

Why students choose Stuvia

Created by fellow students, verified by reviews

Quality you can trust: written by students who passed their tests and reviewed by others who've used these notes.

Didn't get what you expected? Choose another document

No worries! You can instantly pick a different document that better fits what you're looking for.

Pay as you like, start learning right away

No subscription, no commitments. Pay the way you're used to via credit card and download your PDF document instantly.

Student with book image

“Bought, downloaded, and aced it. It really can be that simple.”

Alisha Student

Frequently asked questions