100% satisfaction guarantee Immediately available after payment Both online and in PDF No strings attached 4.6 TrustPilot
logo-home
Exam (elaborations)

Professional Nursing: Concepts & Challenges (9th Edition) | Test Bank | Beth Black | ISBN 9780323551137

Rating
-
Sold
-
Pages
188
Grade
A+
Uploaded on
12-04-2025
Written in
2024/2025

Test Bank For Professional Nursing: Concepts & Challenges, 9th Edition | Professional Nursing Ninth Edition Test Bank | Beth Black, 9780323551137, Test Bank For Nursing | Test Bank Professional Nursing, 9th Edition by Beth Black | Black's Professional Nursing: Concepts & Challenges, 9th Edition Test Bank.This test bank includes a wide range of exam-style questions covering every chapter of the textbook. Perfect for nursing students preparing for quizzes, midterms, finals, or the NCLEX. All questions are carefully designed to align with key topics and learning objectives in the book, helping you master critical concepts and covers Multiple-choice & true/false questions, Rationales for correct answers (where applicable) Covers all chapters (1–20) with Instant digital download, Professional Nursing: Concepts & Challenges (9th Edition) by Beth Black Test Bank.

Show more Read less
Institution
Professional Nursing
Course
Professional Nursing











Whoops! We can’t load your doc right now. Try again or contact support.

Written for

Institution
Professional Nursing
Course
Professional Nursing

Document information

Uploaded on
April 12, 2025
Number of pages
188
Written in
2024/2025
Type
Exam (elaborations)
Contains
Questions & answers

Content preview

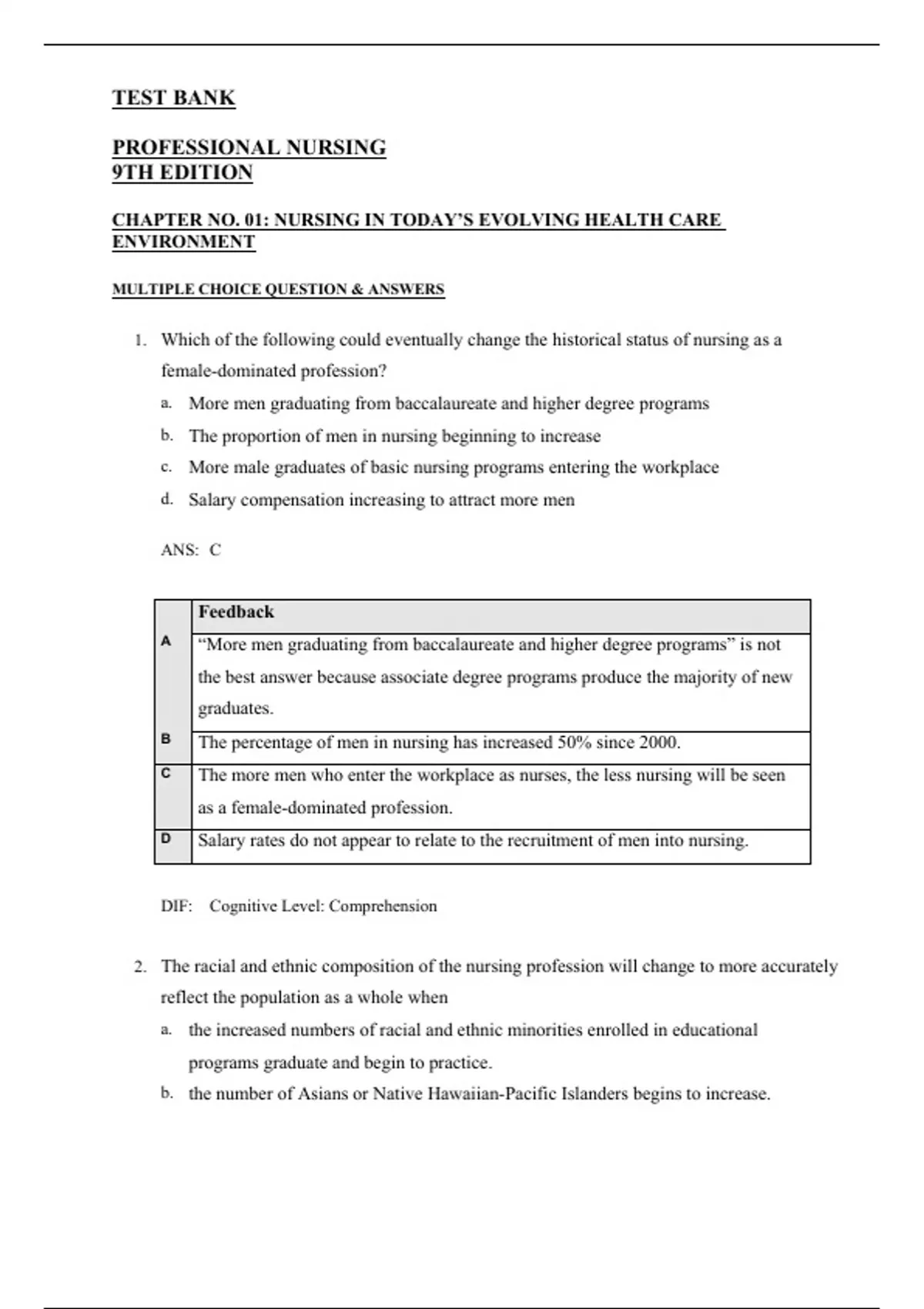
TEST BANK

PROFESSIONAL NURSING
9TH EDITION

CHAPTER NO. 01: NURSING IN TODAY’S EVOLVING HEALTH CARE
ENVIRONMENT

MULTIPLE CHOICE QUESTION & ANSWERS


1. Which of the following could eventually change the historical status of nursing as a
female-dominated profession?
a. More men graduating from baccalaureate and higher degree programs
b. The proportion of men in nursing beginning to increase
c. More male graduates of basic nursing programs entering the workplace
d. Salary compensation increasing to attract more men

ANS: C


Feedback
A “More men graduating from baccalaureate and higher degree programs” is not
the best answer because associate degree programs produce the majority of new
graduates.
B The percentage of men in nursing has increased 50% since 2000.
C The more men who enter the workplace as nurses, the less nursing will be seen
as a female-dominated profession.
D Salary rates do not appear to relate to the recruitment of men into nursing.


DIF: Cognitive Level: Comprehension


2. The racial and ethnic composition of the nursing profession will change to more accurately
reflect the population as a whole when
a. the increased numbers of racial and ethnic minorities enrolled in educational
programs graduate and begin to practice.
b. the number of Asians or Native Hawaiian-Pacific Islanders begins to increase.

, c. the percentage of African American and Hispanic nurses decreases more than the
percentage of White nurses.
d. the non-White portion of the general population decreases.

ANS: A


Feedback
A A larger percentage of minorities are enrolled in nursing educational programs
than previously.
B Asians and Native Hawaiian-Pacific Islanders are over represented in nursing
compared to their percentage of the general population.
C Not only would the percentage of African American and Hispanic nurses need to
increase, the percentage of White nurses would have to decrease in order to more
accurately reflect the population as a whole.
D The non-White portion of the general population is not likely to decrease.


DIF: Cognitive Level: Comprehension


3. Which of the following is a correct statement about the registered nurse (RN) population?
a. The racial/ethnic composition of RNs closely resembles that of the general
population.
b. The number of men entering nursing has decreased steadily over the last decade.
c. The rate of aging of RNs has slowed for the first time in the past 30 years.
d. The majority of employed RNs working full time must work a second position.

ANS: C


Feedback
A The racial/ethnic composition of RNs is increasing, but does not approximate
their percentage of the overall population.
B The number of men entering nursing is increasing.
C The average age of RNs in both 2004 and 2008 was 46. This is a result of the
numbers of RNs under 30 in the workforce.

, D The average age of BSN graduates is 25.


DIF: Cognitive Level: Knowledge


4. Which of the following best describes trends in nursing education?
a. Numbers of RNs with bachelor’s and higher degrees are increasing.
b. Numbers of RNs with associate degrees are decreasing.
c. Foreign-born nurses practicing in the United States are seen as less knowledgeable
because of their lesser educational preparation.
d. Numbers of RNs with diploma educations are increasing.

ANS: A


Feedback
A Slightly over 50% of RNs eventually obtain their bachelors of science in nursing
(BSN) or a higher nursing degree.
B The majority of nurses in this country get their initial nursing education in
associate degree in nursing (ADN) programs.
C Foreign-born nurses practicing in the United States may be viewed as less
knowledgeable by their peers because of language and cultural differences.
D The numbers of diploma-educated nurses are declining.


DIF: Cognitive Level: Knowledge


5. Despite the variety of work settings available to the RN, data indicate that the primary work
site for RNs is
a. ambulatory care settings.
b. community health settings.
c. long-term care facilities.
d. acute care hospitals.

ANS: D

, Feedback
A Ambulatory care settings account for about 10.5% of RNs’ places of
employment.
B Public health and community health settings account for 7.8% of employed RNs.
C Long-term care facilities account for 5.3% of RNs’ places of employment.
D Statistics show that 63.2% of RNs work in acute care hospitals.


DIF: Cognitive Level: Knowledge


6. One important advantage of clinical ladder programs for hospital-based RNs is that they
a. allow career advancement for nurses who choose to remain at the bedside.
b. encourage nurses to move into management positions in which they can influence
patient care on a broader scale.
c. encourage RNs to become politically active and guide the profession of nursing.
d. provide training to staff nurses so they can move seamlessly across departments.

ANS: A


Feedback
A Clinical ladder programs allow nurses to advance professionally while remaining
at the bedside.
B Clinical ladder programs are designed to keep proficient nurses at the bedside.
C Encouraging RNs to become politically active and guide the profession of
nursing is not the goal of clinical ladder programs.
D Clinical ladder programs are not designed to facilitate transfer between
departments.


DIF: Cognitive Level: Comprehension

Get to know the seller

Seller avatar
Reputation scores are based on the amount of documents a seller has sold for a fee and the reviews they have received for those documents. There are three levels: Bronze, Silver and Gold. The better the reputation, the more your can rely on the quality of the sellers work.
docusity Nyc Uni
View profile
Follow You need to be logged in order to follow users or courses
Sold
1253
Member since
2 year
Number of followers
134
Documents
1342
Last sold
13 hours ago

4.5

197 reviews

5
140
4
31
3
17
2
1
1
8

Recently viewed by you

Why students choose Stuvia

Created by fellow students, verified by reviews

Quality you can trust: written by students who passed their tests and reviewed by others who've used these notes.

Didn't get what you expected? Choose another document

No worries! You can instantly pick a different document that better fits what you're looking for.

Pay as you like, start learning right away

No subscription, no commitments. Pay the way you're used to via credit card and download your PDF document instantly.

Student with book image

“Bought, downloaded, and aced it. It really can be that simple.”

Alisha Student

Frequently asked questions