100% satisfaction guarantee Immediately available after payment Both online and in PDF No strings attached 4.6 TrustPilot
logo-home
Exam (elaborations)

MAC2602 Assignment 2 2025 - Due 7 April 2025

Rating
5.0
(2)
Sold
17
Pages
20
Grade
A+
Uploaded on
03-04-2025
Written in
2024/2025

MAC2602 Assignment 2 2025

Institution
Course








Whoops! We can’t load your doc right now. Try again or contact support.

Written for

Institution
Course

Document information

Uploaded on
April 3, 2025
Number of pages
20
Written in
2024/2025
Type
Exam (elaborations)
Contains
Questions & answers

Subjects

Content preview

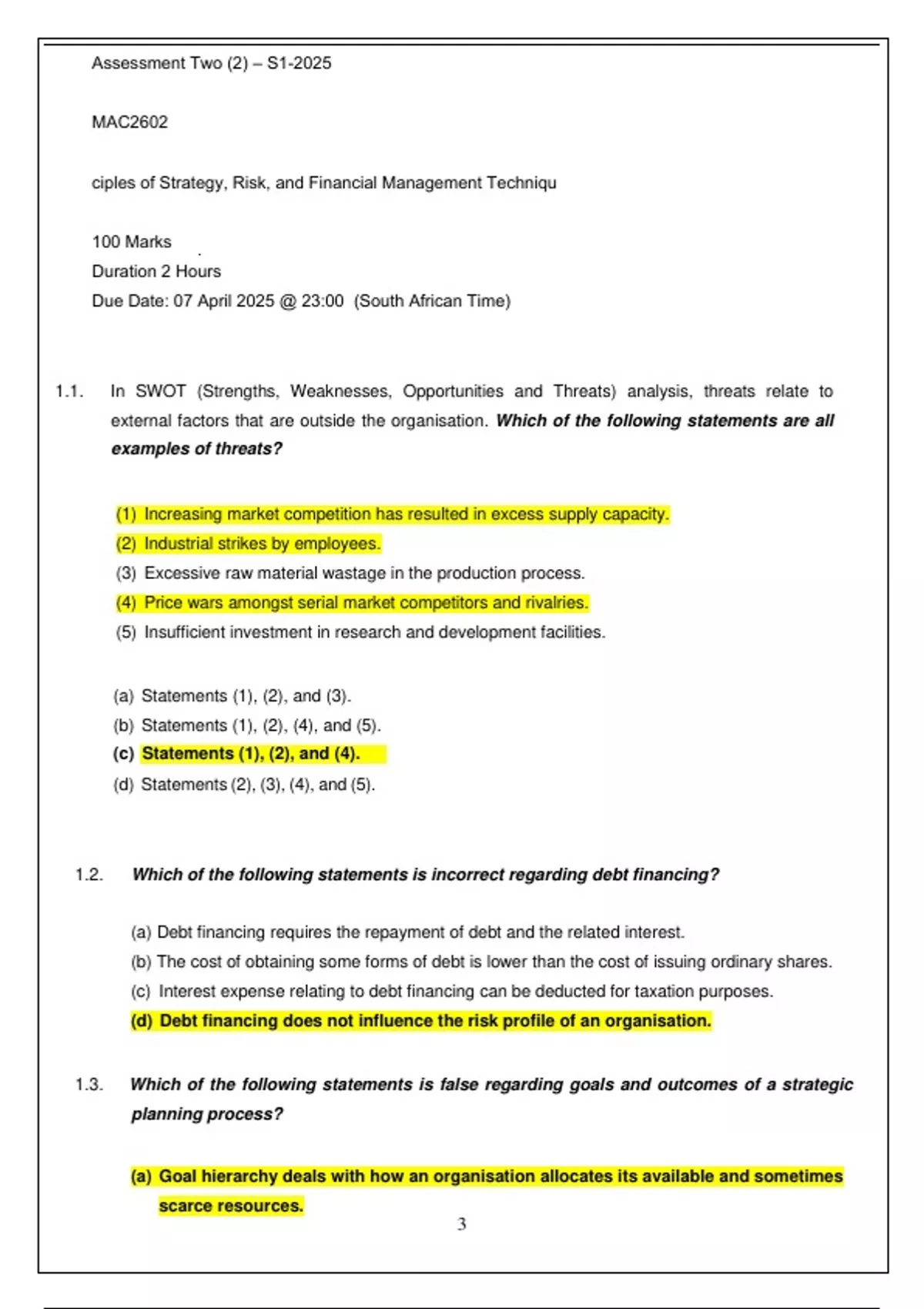
Assessment Two (2) – S1-2025


MAC2602


ciples of Strategy, Risk, and Financial Management Techniqu


100 Marks
Duration 2 Hours
Due Date: 07 April 2025 @ 23:00 (South African Time)




1.1. In SWOT (Strengths, Weaknesses, Opportunities and Threats) analysis, threats relate to
external factors that are outside the organisation. Which of the following statements are all
examples of threats?


(1) Increasing market competition has resulted in excess supply capacity.
(2) Industrial strikes by employees.
(3) Excessive raw material wastage in the production process.
(4) Price wars amongst serial market competitors and rivalries.
(5) Insufficient investment in research and development facilities.


(a) Statements (1), (2), and (3).
(b) Statements (1), (2), (4), and (5).
(c) Statements (1), (2), and (4).
(d) Statements (2), (3), (4), and (5).




1.2. Which of the following statements is incorrect regarding debt financing?


(a) Debt financing requires the repayment of debt and the related interest.
(b) The cost of obtaining some forms of debt is lower than the cost of issuing ordinary shares.
(c) Interest expense relating to debt financing can be deducted for taxation purposes.
(d) Debt financing does not influence the risk profile of an organisation.


1.3. Which of the following statements is false regarding goals and outcomes of a strategic
planning process?


(a) Goal hierarchy deals with how an organisation allocates its available and sometimes
scarce resources.
3

Reviews from verified buyers

Showing all 2 reviews
8 months ago

9 months ago

5.0

2 reviews

5
2
4
0
3
0
2
0
1
0
Trustworthy reviews on Stuvia

All reviews are made by real Stuvia users after verified purchases.

Get to know the seller

Seller avatar
Reputation scores are based on the amount of documents a seller has sold for a fee and the reviews they have received for those documents. There are three levels: Bronze, Silver and Gold. The better the reputation, the more your can rely on the quality of the sellers work.
Thandolowethu University of South Africa (Unisa)
Follow You need to be logged in order to follow users or courses
Sold
1721
Member since
3 year
Number of followers
799
Documents
369
Last sold
1 month ago

3.9

230 reviews

5
130
4
26
3
31
2
12
1
31

Recently viewed by you

Why students choose Stuvia

Created by fellow students, verified by reviews

Quality you can trust: written by students who passed their tests and reviewed by others who've used these notes.

Didn't get what you expected? Choose another document

No worries! You can instantly pick a different document that better fits what you're looking for.

Pay as you like, start learning right away

No subscription, no commitments. Pay the way you're used to via credit card and download your PDF document instantly.

Student with book image

“Bought, downloaded, and aced it. It really can be that simple.”

Alisha Student

Frequently asked questions