100% satisfaction guarantee Immediately available after payment Both online and in PDF No strings attached 4.6 TrustPilot
logo-home
Exam (elaborations)

Chapter 10 Stresses in a Soil Mass

Rating
-
Sold
-
Pages
14
Grade
A+
Uploaded on
18-03-2025
Written in
2024/2025

Chapter 10 Stresses in a Soil Mass










Whoops! We can’t load your doc right now. Try again or contact support.

Document information

Uploaded on
March 18, 2025
Number of pages
14
Written in
2024/2025
Type
Exam (elaborations)
Contains
Questions & answers

Subjects

Content preview

Chapter 10

2
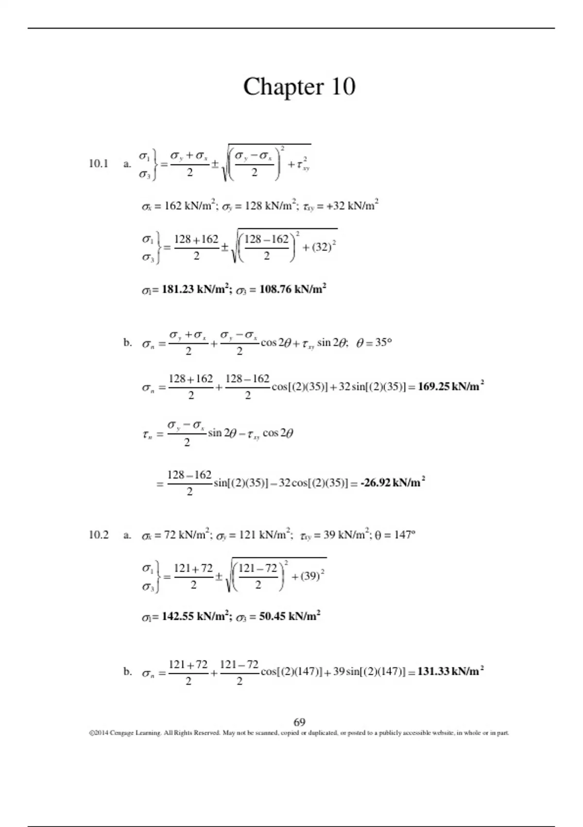
1 y x y x 2
10.1 a. xy
3 2 2

x = 162 kN/m2; y = 128 kN/m2; xy = +32 kN/m2

2
1 128 162 128 162
(32) 2
3 2 2

1= 181.23 kN/m2; 3 = 108.76 kN/m2


y x y x
b. n cos 2 xy sin 2 ; 35
2 2

128 162 128 162
n cos[(2)(35)] 32 sin[( 2)(35)] 169.25 kN/m 2
2 2

y x
n sin 2 xy cos 2
2

128 162
sin[( 2)(35)] 32 cos[(2)(35)] -26.92 kN/m 2
2


10.2 a. x = 72 kN/m2; y = 121 kN/m2; xy = 39 kN/m2; = 147º

2
1 121 72 121 72
(39) 2
3 2 2

1= 142.55 kN/m2; 3 = 50.45 kN/m2



121 72 121 72
b. n cos[(2)(147)] 39 sin[( 2)(147)] 131.33 kN/m 2
2 2


69
2014 Cengage Learning. All Rights Reserved. May not be scanned, copied or duplicated, or posted to a publicly accessible website, in whole or in part.

, 121 72
n sin[( 2)(147)] (39) cos[(2)(147)] 38.24 kN/m 2
2


10.3 a. The Mohr’s circle is shown below.




550 350
OO1 450 lb/ft 2 ; O1O2 550 450 100 lb/ft 2
2

2
350 550
O1 B ( 175) 2 201.5 lb/ft 2
2


3 OS 450 201.5 248.4 lb/ft 2 ( )


1 ON 450 201.5 651.5 lb/ft 2 ( )

1 175
BO1O2 tan 60.25
100


b. n OO1 O1 D cos(29.75) 450 201.5 cos(29.75) 275.1 lb/ft 2 ( )


n O1 D sin(29.75) 99.98 lb/ft 2 ( )




70
2014 Cengage Learning. All Rights Reserved. May not be scanned, copied or duplicated, or posted to a publicly accessible website, in whole or in part.

Get to know the seller

Seller avatar
Reputation scores are based on the amount of documents a seller has sold for a fee and the reviews they have received for those documents. There are three levels: Bronze, Silver and Gold. The better the reputation, the more your can rely on the quality of the sellers work.
Stuviaaa Grand Canyon University
View profile
Follow You need to be logged in order to follow users or courses
Sold
803
Member since
4 year
Number of followers
521
Documents
1501
Last sold
3 weeks ago

4.2

176 reviews

5
113
4
27
3
13
2
5
1
18

Recently viewed by you

Why students choose Stuvia

Created by fellow students, verified by reviews

Quality you can trust: written by students who passed their tests and reviewed by others who've used these notes.

Didn't get what you expected? Choose another document

No worries! You can instantly pick a different document that better fits what you're looking for.

Pay as you like, start learning right away

No subscription, no commitments. Pay the way you're used to via credit card and download your PDF document instantly.

Student with book image

“Bought, downloaded, and aced it. It really can be that simple.”

Alisha Student

Frequently asked questions