100% satisfaction guarantee Immediately available after payment Both online and in PDF No strings attached 4.2 TrustPilot
logo-home
Summary

CH 232 Unknown Acid Lab Summary

Rating
-
Sold
-
Pages
2
Uploaded on
09-03-2025
Written in
2018/2019

Unknown Acid Lab Summary for Ch 232 An Essential Study Resource just for YOU!!









Whoops! We can’t load your doc right now. Try again or contact support.

Document information

Uploaded on
March 9, 2025
Number of pages
2
Written in
2018/2019
Type
Summary

Subjects

Content preview

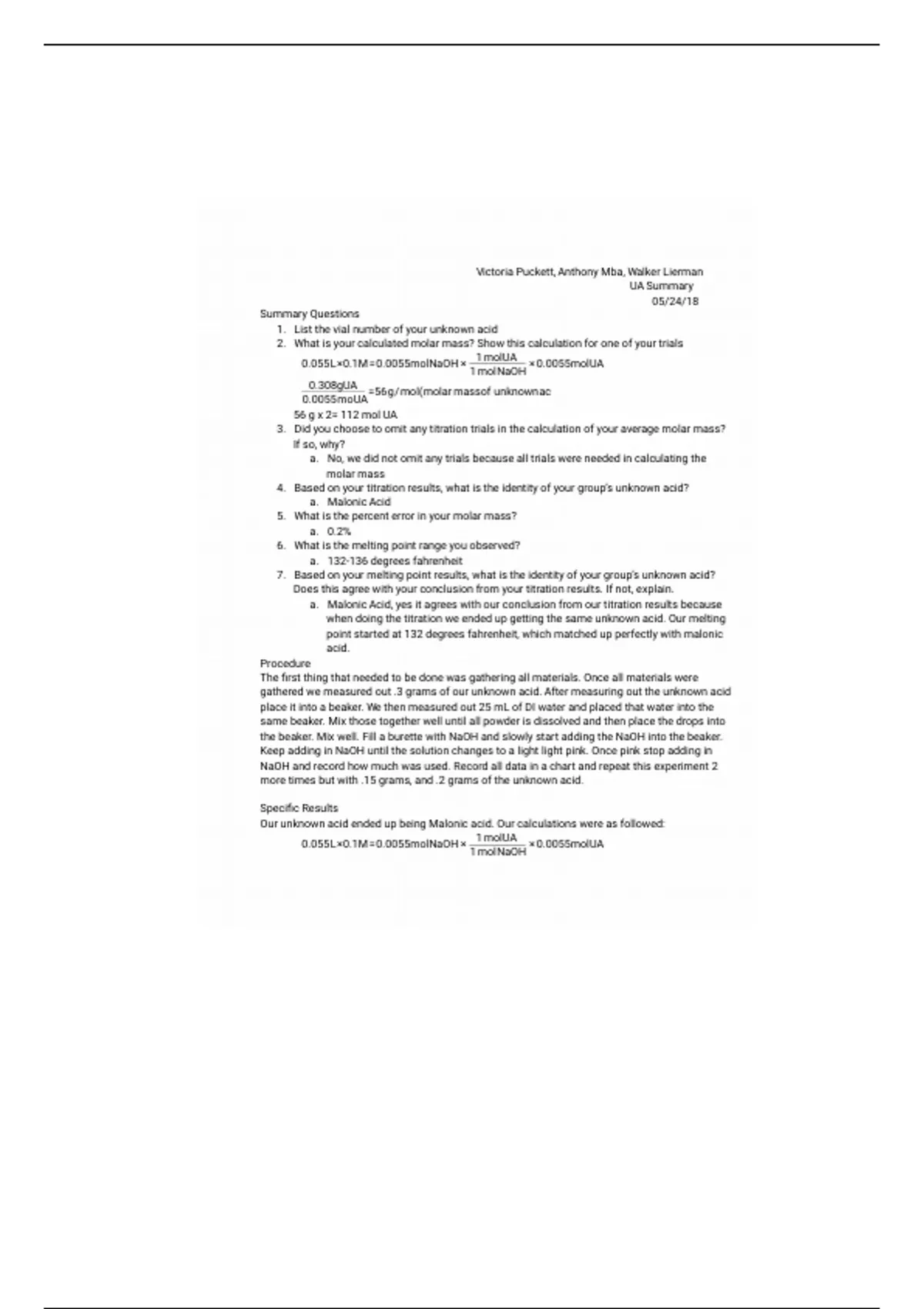
Victoria Puckett, Anthony Mba, Walker Lierman
UA Summary
05/24/18
Summary Questions
1. List the vial number of your unknown acid
2. What is your calculated molar mass? Show this calculation for one of your trials
1 molUA
0.055L×0.1M =0.0055molNaOH × × 0.0055molUA
1 molNaOH
0.308gUA
=56g/mol(molar massof unknownac
0.0055moUA
56 g x 2= 112 mol UA
3. Did you choose to omit any titration trials in the calculation of your average molar mass?
If so, why?
a. No, we did not omit any trials because all trials were needed in calculating the
molar mass
4. Based on your titration results, what is the identity of your group’s unknown acid?
a. Malonic Acid
5. What is the percent error in your molar mass?
a. 0.2%
6. What is the melting point range you observed?
a. 132-136 degrees fahrenheit
7. Based on your melting point results, what is the identity of your group’s unknown acid?
Does this agree with your conclusion from your titration results. If not, explain.
a. Malonic Acid, yes it agrees with our conclusion from our titration results because
when doing the titration we ended up getting the same unknown acid. Our melting
point started at 132 degrees fahrenheit, which matched up perfectly with malonic
acid.
Procedure
The first thing that needed to be done was gathering all materials. Once all materials were
gathered we measured out .3 grams of our unknown acid. After measuring out the unknown acid
place it into a beaker. We then measured out 25 mL of DI water and placed that water into the
same beaker. Mix those together well until all powder is dissolved and then place the drops into
the beaker. Mix well. Fill a burette with NaOH and slowly start adding the NaOH into the beaker.
Keep adding in NaOH until the solution changes to a light light pink. Once pink stop adding in
NaOH and record how much was used. Record all data in a chart and repeat this experiment 2
more times but with .15 grams, and .2 grams of the unknown acid.

Specific Results
Our unknown acid ended up being Malonic acid. Our calculations were as followed:
1 molUA
0.055L×0.1M =0.0055molNaOH × × 0.0055molUA
1 molNaOH

Get to know the seller

Seller avatar
Reputation scores are based on the amount of documents a seller has sold for a fee and the reviews they have received for those documents. There are three levels: Bronze, Silver and Gold. The better the reputation, the more your can rely on the quality of the sellers work.
anyiamgeorge19 Arizona State University
View profile
Follow You need to be logged in order to follow users or courses
Sold
60
Member since
2 year
Number of followers
16
Documents
7001
Last sold
1 month ago
Scholarshub

Scholarshub – Smarter Study, Better Grades! Tired of endless searching for quality study materials? ScholarsHub got you covered! We provide top-notch summaries, study guides, class notes, essays, MCQs, case studies, and practice resources designed to help you study smarter, not harder. Whether you’re prepping for an exam, writing a paper, or simply staying ahead, our resources make learning easier and more effective. No stress, just success! A big thank you goes to the many students from institutions and universities across the U.S. who have crafted and contributed these essential study materials. Their hard work makes this store possible. If you have any concerns about how your materials are being used on ScholarsHub, please don’t hesitate to reach out—we’d be glad to discuss and resolve the matter. Enjoyed our materials? Drop a review to let us know how we’re helping you! And don’t forget to spread the word to friends, family, and classmates—because great study resources are meant to be shared. Wishing y'all success in all your academic pursuits! ✌️

Read more Read less
3.4

5 reviews

5
2
4
0
3
2
2
0
1
1

Recently viewed by you

Why students choose Stuvia

Created by fellow students, verified by reviews

Quality you can trust: written by students who passed their tests and reviewed by others who've used these notes.

Didn't get what you expected? Choose another document

No worries! You can instantly pick a different document that better fits what you're looking for.

Pay as you like, start learning right away

No subscription, no commitments. Pay the way you're used to via credit card and download your PDF document instantly.

Student with book image

“Bought, downloaded, and aced it. It really can be that simple.”

Alisha Student

Frequently asked questions