100% satisfaction guarantee Immediately available after payment Both online and in PDF No strings attached 4.6 TrustPilot
logo-home
Exam (elaborations)

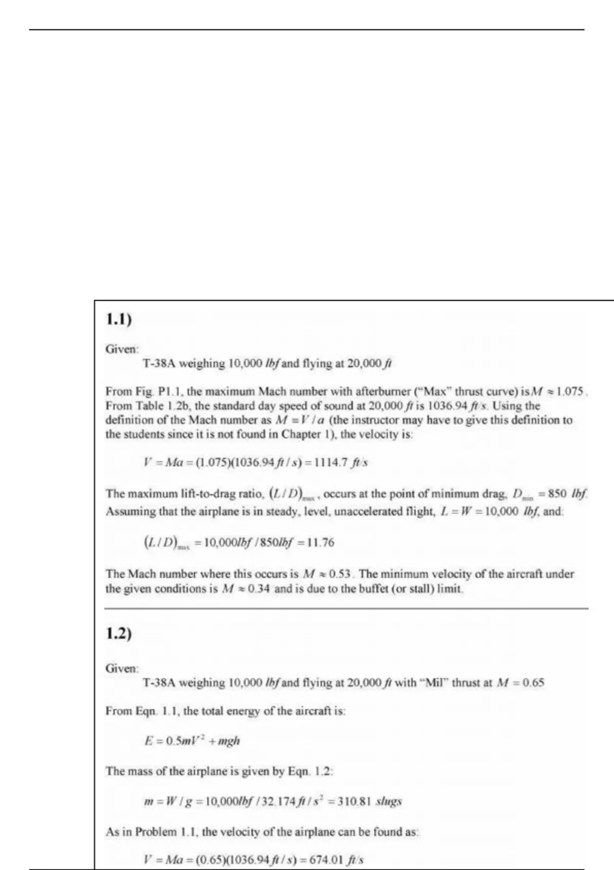
Solution Manual for Aerodynamics for Engineers 7th Edition Bertin Cummings 2024,2025 All Chapters

Rating
-
Sold
-
Pages
10
Grade
A+
Uploaded on
18-11-2024
Written in
2024/2025

Solution Manual for Aerodynamics for Engineers 7th Edition Bertin Cummings 2024,2025 All Chapters










Whoops! We can’t load your doc right now. Try again or contact support.

Document information

Uploaded on
November 18, 2024
Number of pages
10
Written in
2024/2025
Type
Exam (elaborations)
Contains
Questions & answers

Subjects

Get to know the seller

Seller avatar
Reputation scores are based on the amount of documents a seller has sold for a fee and the reviews they have received for those documents. There are three levels: Bronze, Silver and Gold. The better the reputation, the more your can rely on the quality of the sellers work.
Bellasexams Stanford University
View profile
Follow You need to be logged in order to follow users or courses
Sold
34
Member since
3 year
Number of followers
26
Documents
560
Last sold
8 months ago

About Me Welcome to my Stuvia online store! I specialise in providing top-quality nursing test banks and exam prep materials to help you excel in your studies. With 5 years of experience in the healthcare field and a deep understanding of nursing curricula, I ensure that all my resources are accurate, up-to-date, and easy to follow. Whether you\'re preparing for NCLEX, nursing quizzes, or midterms, my materials are designed to save you time and boost your confidence. Why Choose My Materials? ✅ Comprehensive Content: Covers key nursing topics, including pharmacology, anatomy, and patient care. ✅ Accurate & Reliable: Curated from trusted textbooks and real exam formats. ✅ Student-Friendly: Simplified explanations with practice questions to reinforce learning. ✅ Affordable Pricing: High-quality resources at pocket-friendly rates. Popular Study Materials Nursing Fundamentals Test Bank – Perfect for first-year nursing students. Pharmacology Nursing Test Bank – Master medications and their effects. NCLEX Practice Questions – Sharpen your skills for the licensure exam. Medical-Surgical Nursing Exam Prep – Detailed content for acing Med-Surg tests.

Read more Read less
3.1

10 reviews

5
4
4
1
3
1
2
0
1
4

Recently viewed by you

Why students choose Stuvia

Created by fellow students, verified by reviews

Quality you can trust: written by students who passed their tests and reviewed by others who've used these notes.

Didn't get what you expected? Choose another document

No worries! You can instantly pick a different document that better fits what you're looking for.

Pay as you like, start learning right away

No subscription, no commitments. Pay the way you're used to via credit card and download your PDF document instantly.

Student with book image

“Bought, downloaded, and aced it. It really can be that simple.”

Alisha Student

Frequently asked questions