100% satisfaction guarantee Immediately available after payment Both online and in PDF No strings attached 4.2 TrustPilot
logo-home
Exam (elaborations)

Test Bank for Understanding Pharmacology Essentials for Medication Safety, 3rd Edition by M. Linda Workman & LaCharity

Rating
-
Sold
-
Pages
418
Grade
A+
Uploaded on
12-07-2024
Written in
2023/2024

Test Bank for Understanding Pharmacology Essentials for Medication Safety, 3rd Edition by M. Linda Workman & LaCharity

Institution
Understanding Pharmacology Essential
Course
Understanding Pharmacology Essential











Whoops! We can’t load your doc right now. Try again or contact support.

Written for

Institution
Understanding Pharmacology Essential
Course
Understanding Pharmacology Essential

Document information

Uploaded on
July 12, 2024
Number of pages
418
Written in
2023/2024
Type
Exam (elaborations)
Contains
Questions & answers

Subjects

Content preview

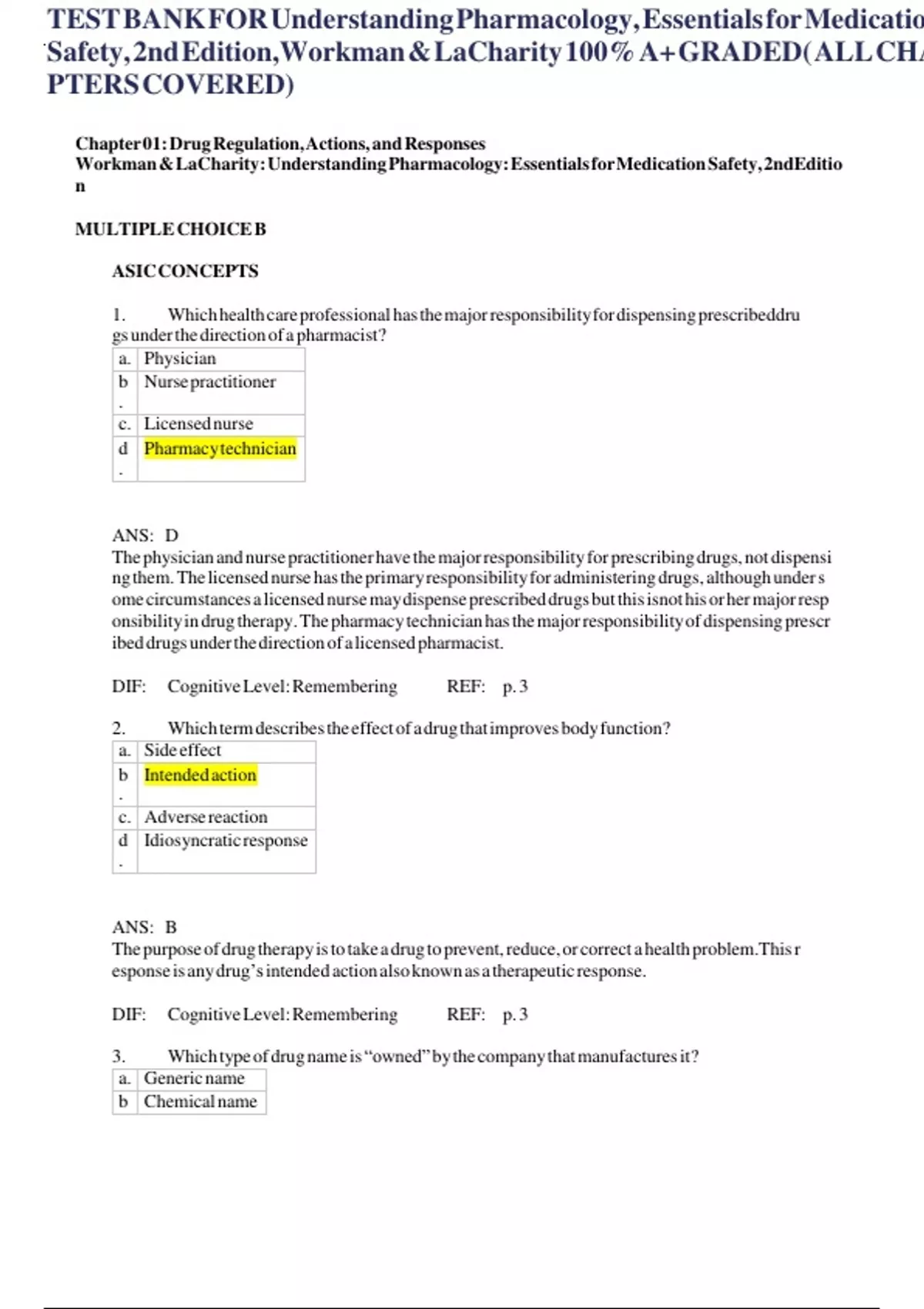
TEST iBANK iFOR iUnderstanding iPharmacology, iEssentials ifor iMedication i
Safety, i2nd iEdition,Workman i& iLaCharity i100% iA+ iGRADED( iALL iCHA
PTERS iCOVERED) Chapter i01: iDrug iRegulation, iActions, iand iResponses Workman i& iLaCharity: iUnderstanding iPharmacology: iEssentials ifor iMedication iSafety, i2nd iEditio
n MULTIPLE iCHOICE iB
ASIC iCONCEPTS 1. Which ihealth icare iprofessional ihas ithe imajor iresponsibility ifor idispensing iprescribed idru
gs iunder ithe idirection iof iaipharmacist? a. Physician b . Nurse ipractitioner c. Licensed inurse d . Pharmacy itechnician ANS: iD The iphysician iand inurse ipractitioner ihave ithe imajor iresponsibility ifor iprescribing idrugs, inot idispensi
ng ithem. iThe ilicensed inurse ihas ithe iprimary iresponsibility ifor iadministering idrugs, ialthough iunder is
ome icircumstances iailicensed inurse imay idispense iprescribed idrugs ibut ithis iisinot ihis ior iher imajor iresp
onsibility iinidrug itherapy. iThe ipharmacy itechnician ihas ithe imajo riresponsibility iof idispensing iprescr
ibed idrugs iunder ithe idirection iof iailicensed ipharmacist. DIF: Cognitive iLevel: iRemembering REF: p.i3 2. Which iterm idescribes ithe ieffect iof iaidrug ithat iimproves ibody ifunction? a. Side ieffect b . Intended iaction c. Adver se ireaction d . Idiosyncratic iresponse ANS: iB The ipurpose iof idrug itherapy iisitoitake iaidrug itoiprevent, ireduce, ior icorrect iaihealth iproblem. iThis ir
esponse iisiany idrug’s iintended iaction ialso iknown ias iaitherapeutic iresponse. DIF: Cognitive iLevel: iRememb ering REF: p.i3 3. Which itype iof idrug iname iisi―owned‖ iby ithe icompany ithat imanufactures iit? a. Generic iname b Chemical iname TEST iBANK iFOR iUnderstanding iPharmacology, iEssentials ifor iMedication i
Safety, i2nd iEdition,Workman i& iLaCharity i100% iA+ iGRADED( iALL iCHA
PTERS iCOVERED) . c. Category iname d . Trade iname ANS: iD The ichemical iname iisiaidrug’s iexact ichemical icomposition. iThe igeneric iname iisithe iname iassigned ito
ithe idrug iby ithe iU.S. iAdopted iNames iCouncil iand iisinot iowned iby ianyone. iThe icategory iname irefers it
oithe itype iof idrug i(what iitidoes ior iwhat iitiisiused ifor) iand iisinot ian iactual idrug iname. iThe itrade iname i(br
and iname) iisithe iname iprovided iand iowned iby iaispecific idrug’s imanufacturer. DIF: Cognitive iLevel: iRemembering REF: p.i4 4. Which idrug ior idrug iclass iisiai―high ialert‖ idrug? a. Penicillin b . Insulin c. NSAIDs d . Calcium ANS: iB Aihigh ialert idrug iisione iiniwhich iharm iisilikely itoiresult iifigiven iatithe iwrong idose, itoithe iwrong ipatient, i
or inot igiven itoithe icorrect ipatient. iDrugs iclassified ias ihigh ialert idrugs iinclude ipotassium, inarcotics i(op
ioids), iinsulin, icancer ichemotherapy idrugs, iand iheparin i(or iany idrug ithat istrongly iaffects iblood iclotti
ng). iPenicillin, iNSAIDs, iand icalcium iare inot iconsidered ihigh ialert idrugs. DIF: Cognitive iLevel: iRemembering REF: p.i4 5. What iisithe iterm ifor iaidrug ithat ihas ithe isame iaction ias iainaturally ioccurring ibody ihorm
one ior ienzyme? a. Agonist b . Blocking iagent c. Chemical d . Duplicator ANS: iA Aidrug iagonist iisian iextrinsic idrug ithat iactivates ithe ireceptor isites iof iaicell iand imimics ithe iactio
ns iof inaturally ioccurring ibody isubstances i(intrinsic idrugs). iAiblocking iagent iisiaidrug TEST iBANK iFOR iUnderstanding iPharmacology, iEssentials ifor iMedication i
Safety, i2nd iEdition,Workman i& iLaCharity i100% iA+ iGRADED( iALL iCHA
PTERS iCOVERED) antagonist. iAichemical iwould inotinecessarily ibe iaidrug iatiall. iAiduplicator iisinot iaipharmacologic iterm. DIF: Cognitive iLevel: iRemembering REF: pp. i6-7 6. Which iterm idescribes ihow ithe ibody iaffects idrug iactivity? a. Drug ipotency b . Pharmacodynamics c. Therapeutic ieffect d . Pharmacok inetics ANS: iD The iterm ipharmacokinetics irefers itoidrug imetabolism iand ihow ithe ibody ichanges iaidrug. iPharmacodyn
amics irefers itoihow iaidrug iworks itoichange ibody ifunction. iDrug ipotency irefers itoihow istrongly ior itoiwh
atidegree iaidrug iexerts iits ieffects. iThe itherapeutic ieffect iisicloser itoipharmacodynamics, imeaning ihow i
aidrug iworks itoichange ibody ifunction. DIF: Cognitive iLevel: iRemembering REF: p.i10 7. In ithe iUnited iStates, iwhich igroup iisiresponsible ifor ienforcing iestablished istandards ifor idru
gimanufacturing? a. U.S. iPharmacopeia b . National iInstitutes iof iHealth c. Food iand iDrug iAdministration d . Association iof iPharmaceutical iManufacturers ANS: iC The istandards ifor idrug imanufacture iare iestablished iby ithe iU.S. iPharmacopeia. iThese istandards iare ie
nforced ibyithe iFood iand iDrug iAdministration. iNeither ithe iNational iInstitutes iof iHealth inor ithe iAssoci
ation iof iPharmaceutical iManufacturers ihas iany iauthority itoienforce idrug istandards. DIF: Cognitive iLevel: iRemembering REF: p.i5 8. Which ifactor iisiaimajor idisadvantag eiof ithe itransdermal idrug idelivery iroute? a. Only iaiprescriber ican iadminister idrugs iby ithe itransdermal iroute. b . Transdermal idrugs imust ibe isterile irather ithan iclean. c. First ipass idrug iloss iby ithis iroute iisithe imost iextensive. d Drug iabsorption iisidepe ndent ion iadequate icirculation. TEST iBANK iFOR iUnderstanding iPharmacology, iEssentials ifor iMedication i
Safety, i2nd iEdition,Workman i& iLaCharity i100% iA+ iGRADED( iALL iCHA
PTERS iCOVERED) . ANS: iD Once iaitransdermal idrug imoves ithrough ithe iskin, iitimust ienter ithe ibloodstream itoireach iits itarget itissue
.iIficirculation iisipoor itoithe iarea iwhere ithe itransdermal idrug iisiapplied, ivery ilittle, iifiany, iof ithe idrug iw
ill ireach iits itarget itissue. DIF: Cognitive iLevel: iRemembering REF: p.i12 9. How iare iintrinsic idrugs idifferent ifrom iextrinsic idrugs? a. Intrinsic idrugs iare imade iby ithe ibody, iwhereas iextrinsic idrugs iare imade ioutside ithe ibody. b . Intrinsic idrugs iare iadministered iby ithe iparenteral iroute, iwhereas iextrinsic idrugs iare administered iby ithe ioral iroute. c. Extrinsic idrugs ican ionly ibe iapplied itoithe iskin ior imucous imembranes, iwhereas iintrinsic idru
gs iare itaken iinternally. d . Extrinsic idrugs irequire iaiprescripti on ifor iadministration, iwhereas iintrinsic idrugs iare available iover-the-counter. ANS: iA Intrinsic idrugs iare ithe ihormones, ienzymes, iand iother ichemicals imade iby ithe ibody ithat ichange icell iact
ivity. iExtrinsic idrugs iare imanufactured ifrom ichemical, ianimal, ior iplant isources iand imust ihave iaimean
siof ientering ithe ibody iiniorder itoichange icell iactivity. DIF: Cognitive iLevel: iUnderstanding REF: p.i3 10. Aipatient iasks iwhy ihis idrug itoicontrol ihigh iblood ipressure ihas ionly ione igeneric iname iand itwo id
ifferent itrade inames. iWhatiisiyour ibest iresponse? a. ―Most idrugs ihave idifferent itrade inames ithat iindicate idifferent idosages.‖ b . ―The itwo idifferent itrade inames iindicate ithat ione iisiaimore ipure iand isafer idrug ithan ithe iother.‖ c. ―The igeneric iname iisithe iactual iofficial idrug inameiand ithe itrade iname iisiaibrand iowned iby aispecific imanufacturer.‖ d . ―If iyou ihave iinsurance, iyou ican iget ithe itrade iname idrug, iwhich iisiusually imore iexpensive ithan ithe i
generic inamed idrug.‖ ANS: iC The igeneric iname iisithe iname iassigned itoithe idrug iby itheiU.S. iAdopted iNames iCouncil iand iisinot iown
ed iby ianyone. iThe itrade iname i(brand iname) iisithe iname iprovided iand iowned iby iaispecific idrug’s iman
ufacturer. iMore ithan ione imanufacturer ican imake iand isell ithe isame idrug iatithe isame itime iunder iaidiffere
ntitrade iname. iRegardless iof itrade iname, iall idrugs ithat ihave ithe isame igeneric iname imust ibe ialike iinithe
irichemical icomposition iand istrength. DIF: Cognitive iLevel: iApplying ior iHigher REF: pp. i3-4

Get to know the seller

Seller avatar
Reputation scores are based on the amount of documents a seller has sold for a fee and the reviews they have received for those documents. There are three levels: Bronze, Silver and Gold. The better the reputation, the more your can rely on the quality of the sellers work.
Prose1 Strayer University
View profile
Follow You need to be logged in order to follow users or courses
Sold
648
Member since
2 year
Number of followers
70
Documents
6561
Last sold
1 hour ago
REALITIEXAM

I know how frustrating it can get with all those assignments mate. Nursing Being my main profession line, i have essential guides that are A graded, I am a very friendly person so don

4.5

301 reviews

5
231
4
24
3
20
2
8
1
18

Recently viewed by you

Why students choose Stuvia

Created by fellow students, verified by reviews

Quality you can trust: written by students who passed their tests and reviewed by others who've used these notes.

Didn't get what you expected? Choose another document

No worries! You can instantly pick a different document that better fits what you're looking for.

Pay as you like, start learning right away

No subscription, no commitments. Pay the way you're used to via credit card and download your PDF document instantly.

Student with book image

“Bought, downloaded, and aced it. It really can be that simple.”

Alisha Student

Frequently asked questions