100% satisfaction guarantee Immediately available after payment Both online and in PDF No strings attached 4.2 TrustPilot
logo-home
Exam (elaborations)

ATI Mental Health Proctored Exam NEWEST VERSION With COMPLETE SOLUTION 100% VERIFIED ANSWERS A+ GRADED Free

Rating
3.0
(1)
Sold
176
Pages
20
Grade
A+
Uploaded on
11-07-2024
Written in
2023/2024

ATI Mental Health practice test Stuvia Is Available For Download After Purchase. In Case You Encounter Any Difficulties With The Download, Please Feel Free To Reach Out To Me. I Will Promptly Send It To You Through Google Doc or Email. Thank You. The ATI Mental Health Proctored Exam for 2023/2024 COMPLETE SOLUTION 100% VERIFIED ANSWERS A+ GRADED is your ultimate study tool for excelling in mental health nursing. This resource offers ATI Mental Health Proctored Exam 2023/2024 questions and ATI Mental Health complete solution answers, ensuring thorough preparation. Utilize the ATI Mental Health exam A+ graded answers for self-assessment and the ATI Mental Health study guide for comprehensive review. This tool is essential for ATI Mental Health exam prep, boosting confidence and understanding. Rely on the ATI Mental Health verified answers to guarantee success in your proctored exam.

Show more Read less
Institution
Ati Mental Health
Course
Ati mental health










Whoops! We can’t load your doc right now. Try again or contact support.

Written for

Institution
Ati mental health
Course
Ati mental health

Document information

Uploaded on
July 11, 2024
File latest updated on
December 6, 2025
Number of pages
20
Written in
2023/2024
Type
Exam (elaborations)
Contains
Questions & answers

Subjects

  • ati m

Content preview

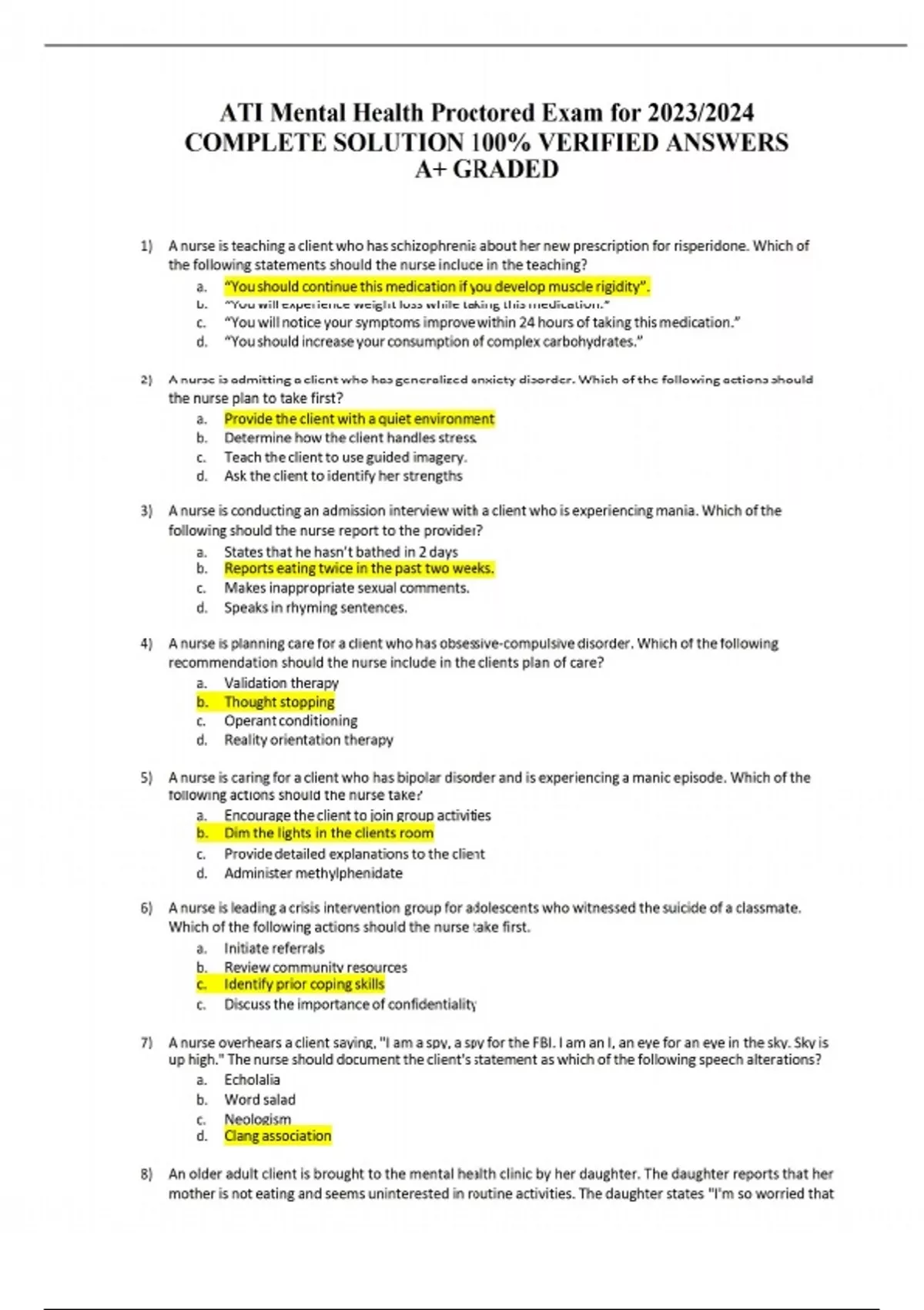
ATI Mental Health Proctored Exam for 2023/2024
COMPLETE SOLUTION 100% VERIFIED ANSWERS
A+ GRADED

1) A nurse is teaching a client who has schizophrenia about her new prescription for risperidone. Which of
the following statements should the nurse include in the teaching?
a. “You should continue this medication if you develop muscle rigidity”.
b. “You will experience weight loss while taking this medication.”
c. “You will notice your symptoms improve within 24 hours of taking this medication.”
d. “You should increase your consumption of complex carbohydrates.”

2) A nurse is admitting a client who has generalized anxiety disorder. Which of the following actions should
the nurse plan to take first?
a. Provide the client with a quiet environment
b. Determine how the client handles stress.
c. Teach the client to use guided imagery.
d. Ask the client to identify her strengths

3) A nurse is conducting an admission interview with a client who is experiencing mania. Which of the
following should the nurse report to the provider?
a. States that he hasn’t bathed in 2 days
b. Reports eating twice in the past two weeks.
c. Makes inappropriate sexual comments.
d. Speaks in rhyming sentences.

4) A nurse is planning care for a client who has obsessive-compulsive disorder. Which of the following
recommendation should the nurse include in the clients plan of care?
a. Validation therapy
b. Thought stopping
c. Operant conditioning
d. Reality orientation therapy

5) A nurse is caring for a client who has bipolar disorder and is experiencing a manic episode. Which of the
following actions should the nurse take?
a. Encourage the client to join group activities
b. Dim the lights in the clients room
c. Provide detailed explanations to the client
d. Administer methylphenidate

6) A nurse is leading a crisis intervention group for adolescents who witnessed the suicide of a classmate.
Which of the following actions should the nurse take first.
a. Initiate referrals
b. Review community resources
c. Identify prior coping skills
c. Discuss the importance of confidentiality

7) A nurse overhears a client saying, "I am a spy, a spy for the FBI. I am an I, an eye for an eye in the sky. Sky is
up high." The nurse should document the client's statement as which of the following speech alterations?
a. Echolalia
b. Word salad
c. Neologism
d. Clang association

8) An older adult client is brought to the mental health clinic by her daughter. The daughter reports that her
mother is not eating and seems uninterested in routine activities. The daughter states "I'm so worried that

, my mother is depressed" which of the following responses should the nurse make?
a. Everyone gets depressed from time to time.
b. You shouldn't worry about this because depressive disorder is easily treated.
c. Older adults are usually diagnosed with depressive disorder as they age.
d. Tell me the reasons you think your mother is depressed.

9) A nurse is planning care for an adolescent who has autism spectrum disorder. Which of the following
outcomes should the nurse include in the plan care?
a. Meets own needs without manipulating others.
b. Initiates social interactions with caregivers.
c. Changes behavior as a result of peer pressure.
d. Acknowledges his delusions are not real.

10) A nurse is providing behavior therapy for a client who has obsessive-compulsive disorder. The client
repeatedly checks that the doors are locked at night. Which of the following instructions should the nurse
give the client when using thought stopping technique?
a. Snap a rubber band on your wrist when you think about checking the locks.
b. Ask a family member to check the locks for you at night.
c. Focus on abdominal breathing whenever you go to check the locks.
d. Keep a journal of how often you check the locks each night.

11) A nurse is caring for a client who is starting treatment for substance use disorder. Which of the following
actions indicate the nurse is practicing the ethical principle of nonmaleficence?
a. Provide the client with quality care regardless of their ability to pay for treatment.
b. Educating the client about legal rights concerning treatment.
c. Withholding the prescribed medication that is causing adverse effects for the client.
d. Being truthful with the client about the manifestations of withdrawl.

12) A nurse in a group home facility is caring for a client who is developmentally disabled. The client has been
stealing belongings from other clients. Which of the following techniques should the nurse use?
a. Crisis intervention to decrease anxiety.
b. Aversion therapy to provide distraction
c. Positive reinforcement to increase desired behavior.
d. Systematic desensitization to extinguish the behavior.

13) A nurse is caring for a client who is experiencing a panic attack. Which of the following actions should the
nurse take?
a. Ask the client to discuss precipitating events
b. Speaks to the client in a high-pitched voice.
c. Place the client in seclusion
d. Have the client breathe into a paper bag.

14) The nurse is caring for a client following a physical assault. The client states "I don’t remember what
happened to me." The nurse should recognize that the client is using which of the following defense
mechanisms?
a. Repression
b. Displacement
c. Rationalization
d. Denial

15) A nurse is caring for a client who has anorexia nervosa. Which of the following findings require immediate
intervention by the nurse?
a. +2 edema of the lower extremities
b. BUN 21 mg/dL
c. Lanugo covering the body
d. Blood pH 7.60

16) A nurse is caring for a client in a mental health facility. The client is agitated and threatens to harm herself
and others. Which of the following is the priority intervention?

, a. Place the client in restraints
b. Administer an anti-anxiety medication to the client
c. Put the client in seclusion
d. Set limits on the client's behavior

17) Dosage Calculation Question.
18) A nurse is caring for a client who was involuntarily committed and is scheduled to receive
electroconvulsive therapy (ECT). The client refuses the treatment and will not discuss why with the health
care team. Which of the following actions should the nurse take?
a. Ask the clients family to encourage the client to receive ECT
b. Inform the client that ECT does not require a consent.
c. Document the client's refusal of the treatment in the medical record.
d. Tell the client he cannot refuse the treatment because he was involuntarily committed.

19) A nurse in the emergency department is caring for a client who reports feeling sad, worthless, and
hopeless 9 months after the death of her son. Which of the following actions should the nurse take first?
a. Request a mental health consult for the client.
b. Ask the client if she has thought about harming herself.
c. Encourage the client to attend a grief support group.
d. Discuss the clients coping skills.

20) A nurse is caring for a client who has borderline personality disorder and has been engaging in self-
mutilation. The nurse should encourage the client to participate in which of the following groups.
a. Dual diagnosis treatment group
b. Dialectical treatment group
c. Desensitization therapy
d. Co-dependents support group.

21) The nurse is reviewing the medication administration record of a client who has schizophrenia. The nurse
should plan to initiate the Abnormal Involuntary Movement Scale to monitor for adverse effects of which
of the following medications.?
a. Amantadine
b. Diphenhydramine
c. Benztropine
d. Haloperidol

22) A nurse is counseling a client following the death of a clients partner 8 months ago. Which of the following
client statements indicates maladaptive grieving?
a. I am so sorry for the times I was angry with my partner.
b. I find myself thinking about my partner often.
c. I still don't feel up to returning to work.
c. I like looking at his personal items in the closet.

23) A nurse is caring for a client who has borderline personality disorder. Which of the following outcomes
should the nurse include in the treatment plan?
a. The client will report a decrease in hallucinations.
b. The client will communicate needs
c. The client will verbalize improved mood
d. The client will attend to personal hygiene.

24) A nurse is caring for a client who is prescribed massage therapy to treat panic disorder. The client states "I
can't stand to be touched by another person." Which of the following responses should the nurse make?
a. Why don’t you like to be touched by others
b. Don’t worry about it. Your anxiety will lessen once the massage begins.
c. I will tell your provider you would like a treatment other than a massage.
d. I will request that the massage therapist wear gloves during your treatment.

Reviews from verified buyers

Showing all reviews
5 days ago

3.0

1 reviews

5
0
4
0
3
1
2
0
1
0
Trustworthy reviews on Stuvia

All reviews are made by real Stuvia users after verified purchases.

Get to know the seller

Seller avatar
Reputation scores are based on the amount of documents a seller has sold for a fee and the reviews they have received for those documents. There are three levels: Bronze, Silver and Gold. The better the reputation, the more your can rely on the quality of the sellers work.
PureGold Boston College
View profile
Follow You need to be logged in order to follow users or courses
Sold
4076
Member since
2 year
Number of followers
868
Documents
667
Last sold
2 days ago
PureGold Test Banks & Practice Exams Graded A+

Looking for relevant and up-to-date study materials to help you ace your exams? Puregold has got you covered! We offer a wide range of study resources, including test banks, exams, study notes, and more, to help prepare for your exams and achieve your academic goals. What's more, we can also help with your academic assignments, research, dissertations, online exams, online tutoring and much more! Please send us a message and will respond in the shortest time possible. Always Remember: Don't stress. Do your best. Forget the rest! Gracias!

Read more Read less
4.7

839 reviews

5
718
4
51
3
43
2
11
1
16

Why students choose Stuvia

Created by fellow students, verified by reviews

Quality you can trust: written by students who passed their tests and reviewed by others who've used these notes.

Didn't get what you expected? Choose another document

No worries! You can instantly pick a different document that better fits what you're looking for.

Pay as you like, start learning right away

No subscription, no commitments. Pay the way you're used to via credit card and download your PDF document instantly.

Student with book image

“Bought, downloaded, and aced it. It really can be that simple.”

Alisha Student

Frequently asked questions