100% satisfaction guarantee Immediately available after payment Both online and in PDF No strings attached 4.6 TrustPilot
logo-home
Other

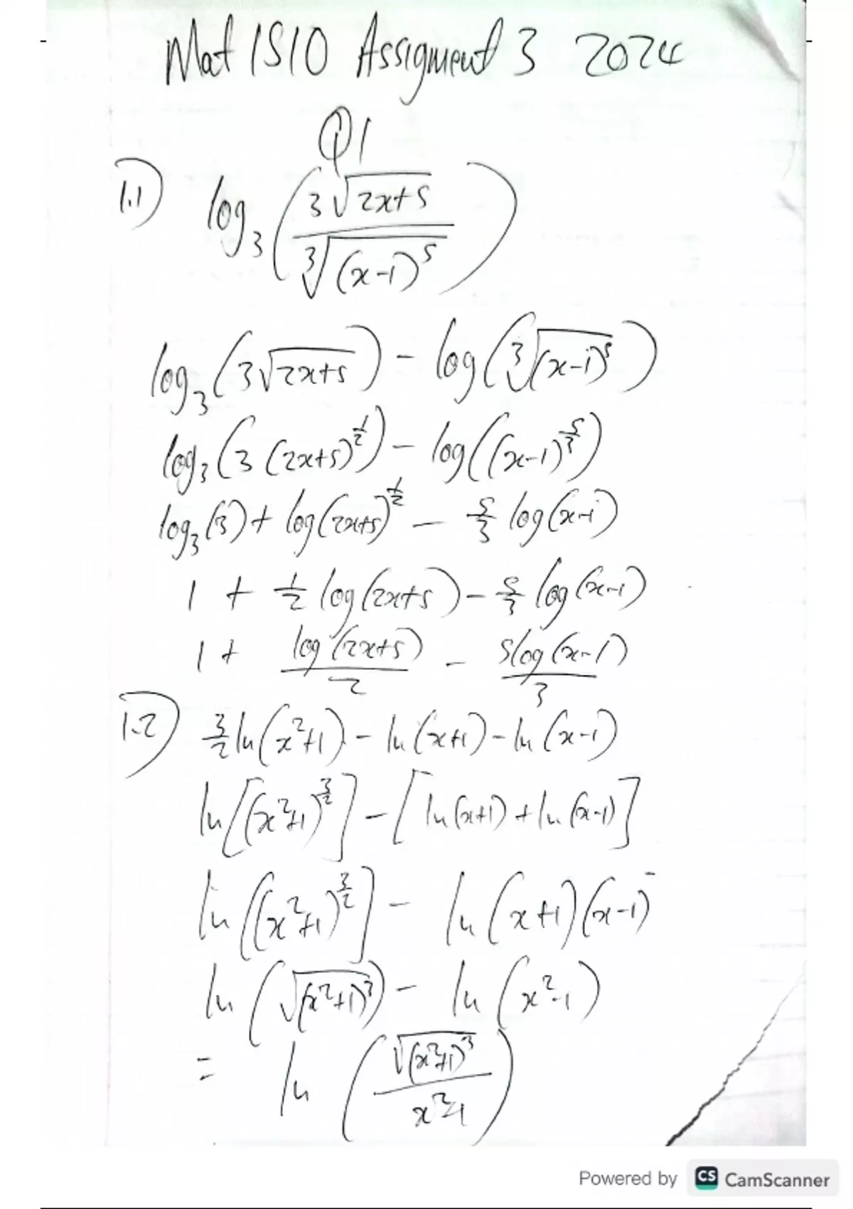
MAT1510 ASSIGNMENT 3 2024 SOLUTIONS

Rating
-
Sold
2
Pages
17
Uploaded on
22-06-2024
Written in
2023/2024

Provides solutions with explanations to prepare u for exam

Institution
Course










Whoops! We can’t load your doc right now. Try again or contact support.

Written for

Institution
Course

Document information

Uploaded on
June 22, 2024
Number of pages
17
Written in
2023/2024
Type
OTHER
Person
Unknown

Subjects

Get to know the seller

Seller avatar
Reputation scores are based on the amount of documents a seller has sold for a fee and the reviews they have received for those documents. There are three levels: Bronze, Silver and Gold. The better the reputation, the more your can rely on the quality of the sellers work.
hmdigashu Thebssttutorials
Follow You need to be logged in order to follow users or courses
Sold
19
Member since
1 year
Number of followers
9
Documents
13
Last sold
7 months ago

4.6

5 reviews

5
3
4
2
3
0
2
0
1
0

Trending documents

Recently viewed by you

Why students choose Stuvia

Created by fellow students, verified by reviews

Quality you can trust: written by students who passed their tests and reviewed by others who've used these notes.

Didn't get what you expected? Choose another document

No worries! You can instantly pick a different document that better fits what you're looking for.

Pay as you like, start learning right away

No subscription, no commitments. Pay the way you're used to via credit card and download your PDF document instantly.

Student with book image

“Bought, downloaded, and aced it. It really can be that simple.”

Alisha Student

Frequently asked questions