100% satisfaction guarantee Immediately available after payment Both online and in PDF No strings attached 4.6 TrustPilot
logo-home
Exam (elaborations)

Solution Manual for Financial Statement Analysis, 13th Edition By Charles H. Gibson

Rating
5.0
(1)
Sold
5
Pages
401
Grade
A+
Uploaded on
24-05-2024
Written in
2023/2024

Solution Manual for Financial Statement Analysis, 13th Edition By Charles H. Gibson

Institution
Financial Statement Analysis, 13th Edition
Course
Financial Statement Analysis, 13th Edition











Whoops! We can’t load your doc right now. Try again or contact support.

Written for

Institution
Financial Statement Analysis, 13th Edition
Course
Financial Statement Analysis, 13th Edition

Document information

Uploaded on
May 24, 2024
Number of pages
401
Written in
2023/2024
Type
Exam (elaborations)
Contains
Questions & answers

Subjects

Content preview

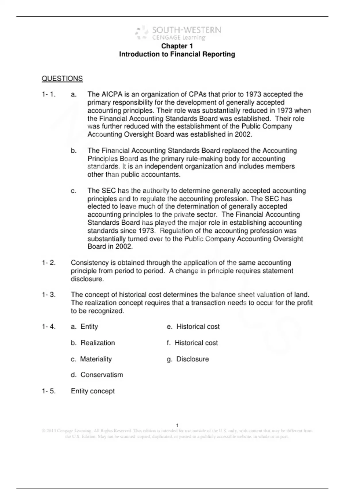
1 © 2013 Cengage Learning. All Rights Reserved. This edition is intended for use outside of the U.S. onl y, with content that may be different from the U.S. Edition. May not be scanned, copied, duplicated, or posted to a publicly accessible website, in whole or in part. Chapter 1 Introduction to Financial Reporting QUESTIONS 1- 1. a. The AICPA is an organization of CPAs that prior to 1973 accepted the primary responsibility for the development of generally accepted accounting principles. Their role was substantially re duced in 1973 when the Financial Accounting Standards Board was established. Their role was further reduced with the establishment of the Public Company Accounting Oversight Board was established in 2002. b. The Financial Accounting Standards Board repl aced the Accounting Principles Board as the primary rule -making body for accounting standards . It is an independent organization and includes members other than public accountants. c. The SEC has the authority to determine generally accepted accounting principles and to regulate the accounting profession. The SEC has elected to leave much of the determination of generally accepted accounting principles to the private sec tor. T he Financial Accounting Standards Board has played the major role in establis hing accounting standards since 1973. Regulation of the accounting profession was substantially turned over to the Public Company Accounting Oversight Board in 2002. 1- 2. Consistency is obtained through the application of the same accounting principle f rom period to period. A change in principle requires statement disclosure. 1- 3. The concept of historical cost determines the balance sheet valuation of land. The realization concept requires that a transaction needs to occur for the profit to be recog nized. 1- 4. a. Entity e. Historical cost b. Realization f. Historical cost c. Materiality g. Disclosure d. Conservatism 1- 5. Entity concept NURSEDOCS 2 © 2013 Cengage Learning. All Rights Reserved. This edition is intended for use outside of the U.S. onl y, with content that may be different from the U.S. Edition. May not be scanned, copied, duplicated, or posted to a publicly accessible website, in whole or in part. 1- 6. Generally accepted accounting principles do not ap ply when a firm does not appear to be a go ing concern. If the decision is made that this is not a going concern, then the use of GAAP would not be appropriate. 1- 7. With the time period assumption, inaccuracies of accounting for the entity, short of its complete life span, are accepted. The assumption is made that the entity can be accounted for reasonably accurately for a particular period of time. In other words, the decision is made to accept some inaccuracy because of incomplete information about th e future in exchange for more timely reporting. The statements are considered to be meaningful because material inaccuracies are not acceptable. 1- 8. It is true that the only accurate way to account for the success or failure of an entity is to accumula te all transactions from the opening of business until the business eventually liquidates. But it is not necessary that the statements be completely accurate in order for them to be meaningful. 1- 9. a. A year that ends when operations are at a low ebb f or the year. b. The accounting time period is ended on December 31. c. A twelve -month accounting period that ends at the end of a month other than December 31. 1-10. Money. 1-11. When money does not hold a stable value, the financial statements can l ose much of their significance. To the extent that money does not remain stable, it loses usefulness as the standard for measuring financial transactions. 1-12. No. There is a problem with determining the index in order to adjust the statements. The it ems that are included in the index must be representative . In addition, the price s of items change because of various factors, such as quality, technology, and inflation. Yes. A reasonable adjustment to the statements can be made for inflation. 1-13. False. An arbitrary write -off of inventory cannot be justified under the conservatism concept. The conservatism concept can only be applied where there are alternative measurements and each of these alternative measurements has reasonable support. 1-14. Yes, inventory that has a market value below the historical cost should be written down in order to recognize a loss. This is done based upon the concept of conservatism. Losses that can be reasonably anticipated should be taken in order to reflect the l east favorable effect on net income of the current period. NURSEDOCS 3 © 2013 Cengage Learning. All Rights Reserved. This edition is intended for use outside of the U.S. onl y, with content that may be different from the U.S. Edition. May not be scanned, copied, duplicated, or posted to a publicly accessible website, in whole or in part. 1-15. End of production The realization of revenue at the completion of the production process is acceptable when the price of the item is known and there is a ready market. Receipt of cash This method should only be used when the prospects of collection are especially doubtful at the time of sale. During production This method is allowed for long -term construction projects because recognizing revenue on long -term construction projects as wor k progresses tends to give a fairer picture of the results for a given period in comparison with having the entire revenue realized in one period of time. 1-16. It is difficult to apply the matching concept when there is no direct connection between the c ost and revenue. Under these circumstances, accountants often charge off the cost in the period incurred in order to be conservative. 1-17. If the entity can justify the use of an alternative accounting method on the basis that it is rational , then the c hange can be made. 1-18. The accounting reports must disclose all facts that may influence the judgment of an informed reader. Usually this is a judgment decision for the accountant to make. Because of the complexity of many businesses and the increased expectations of the public, the full disclosure concept has become one of the most difficult concepts for the accountant to apply. 1-19. There is a preference for the use of objectivity in the preparation of financial statements, but financial statements cannot be completely prepared based upon objective data; estimates must be made in many situations. 1-20. This is a true statement. The concept of materiality allow s the accountant to handle immaterial items in the most economical and expedient manner possible. 1-21. Some industry practices lead to accounting reports that do not conform to generally accepted accounting principles. These reports are considered to be acceptable, but the accounting profession is making an effort to eliminate particular in dustry practices that do not conform to the normal generally accepted accounting principles. 1-22. Events that fall outside of the financial transactions of the entity are not recorded. An example would be the loss of a major customer. NURSEDOCS 4 © 2013 Cengage Learning. All Rights Reserved. This edition is intended for use outside of the U.S. onl y, with content that may be different from the U.S. Edition. May not be scanned, copied, duplicated, or posted to a publicly accessible website, in whole or in part. 1-23. True. The accounting profession is making an effort to reduce or eliminate specific industry practices. 1-24. The entity must usually use the accrual basis of accounting. Only under limited circumstances can the entity use the cash basis. 1-25. The FASB commenced the Accounting Standards Codification™ project to provide a single source of authoritative U.S. GAAP and provide one level of authoritative GAAP. 1-26. The separate entity concept directs that personal transactions of the owners must be kept separate fro m their business transactions. 1-27. At the point of sale 1-28. a. The building should b e recorded at cost, which is $50,000. b. Revenue should not be re corded for the savings between the cost of $50,000 an d the bid of $60,000. Revenue comes from sellin g, not from purchasing. 1-29. The materiality concept supports this policy. 1-30. The Securitie s and Exchange Commission (SEC) . 1-31. The basic problem with the monetary assumption when there has been significant inflation is that the monetary assumptio n assumes a stable dollar in terms of purchasing power. When there has been inflation, the dollar has not been stable in terms of purchasing power , and therefore, dollars are being compared that are not of the same purchasing power. 1-32. The matching pr inciple deals with the costs to be matched against revenue. The realization concept has to do with the determination of revenue. The combination of revenue and costs determine income. 1-33. The term "generally accepted accounting principles" is used to refer to accounting principles that have substantial authoritative support. 1-34. The process of considering a Statement of Financial Accounting Standards begins when the Board elects to add a topic to its technical agenda. The Board only considers topic s that are "broke n" for its technical agenda. On projects with a broad impact, a Discussion Memorandum or an Invitation to Comment is issued. The Discussion Memorandum or Invitation to Comment is distributed as a basis for public comment. After conside ring the written comments and the public hearing comments, the Board resumes deliberations in one or more public Board meetings. The final Statement on NURSEDOCS

Reviews from verified buyers

Showing all reviews
11 months ago

5.0

1 reviews

5
1
4
0
3
0
2
0
1
0
Trustworthy reviews on Stuvia

All reviews are made by real Stuvia users after verified purchases.

Get to know the seller

Seller avatar
Reputation scores are based on the amount of documents a seller has sold for a fee and the reviews they have received for those documents. There are three levels: Bronze, Silver and Gold. The better the reputation, the more your can rely on the quality of the sellers work.
Studylab Chamberlain College Of Nursing
View profile
Follow You need to be logged in order to follow users or courses
Sold
688
Member since
2 year
Number of followers
460
Documents
1391
Last sold
1 day ago
STUDYLAB LIBRARIES

Welcome to Studylab Libraries – your go-to source for top-quality study resources across multiple subjects. Rest assured, all materials provided are of the highest standard to support your exam success. Each resource is A+ rated. I’d appreciate it if you could leave a rating and review after using the materials, as your feedback encourages me to keep adding more. Thank you!

3.9

66 reviews

5
35
4
9
3
11
2
2
1
9

Recently viewed by you

Why students choose Stuvia

Created by fellow students, verified by reviews

Quality you can trust: written by students who passed their tests and reviewed by others who've used these notes.

Didn't get what you expected? Choose another document

No worries! You can instantly pick a different document that better fits what you're looking for.

Pay as you like, start learning right away

No subscription, no commitments. Pay the way you're used to via credit card and download your PDF document instantly.

Student with book image

“Bought, downloaded, and aced it. It really can be that simple.”

Alisha Student

Frequently asked questions