100% satisfaction guarantee Immediately available after payment Both online and in PDF No strings attached 4.6 TrustPilot
logo-home
Exam (elaborations)

403 REVIEW FINAL EXAM NURS 403/2020 PRIMERA PARTE

Rating
-
Sold
-
Pages
106
Grade
A+
Uploaded on
01-03-2024
Written in
2023/2024

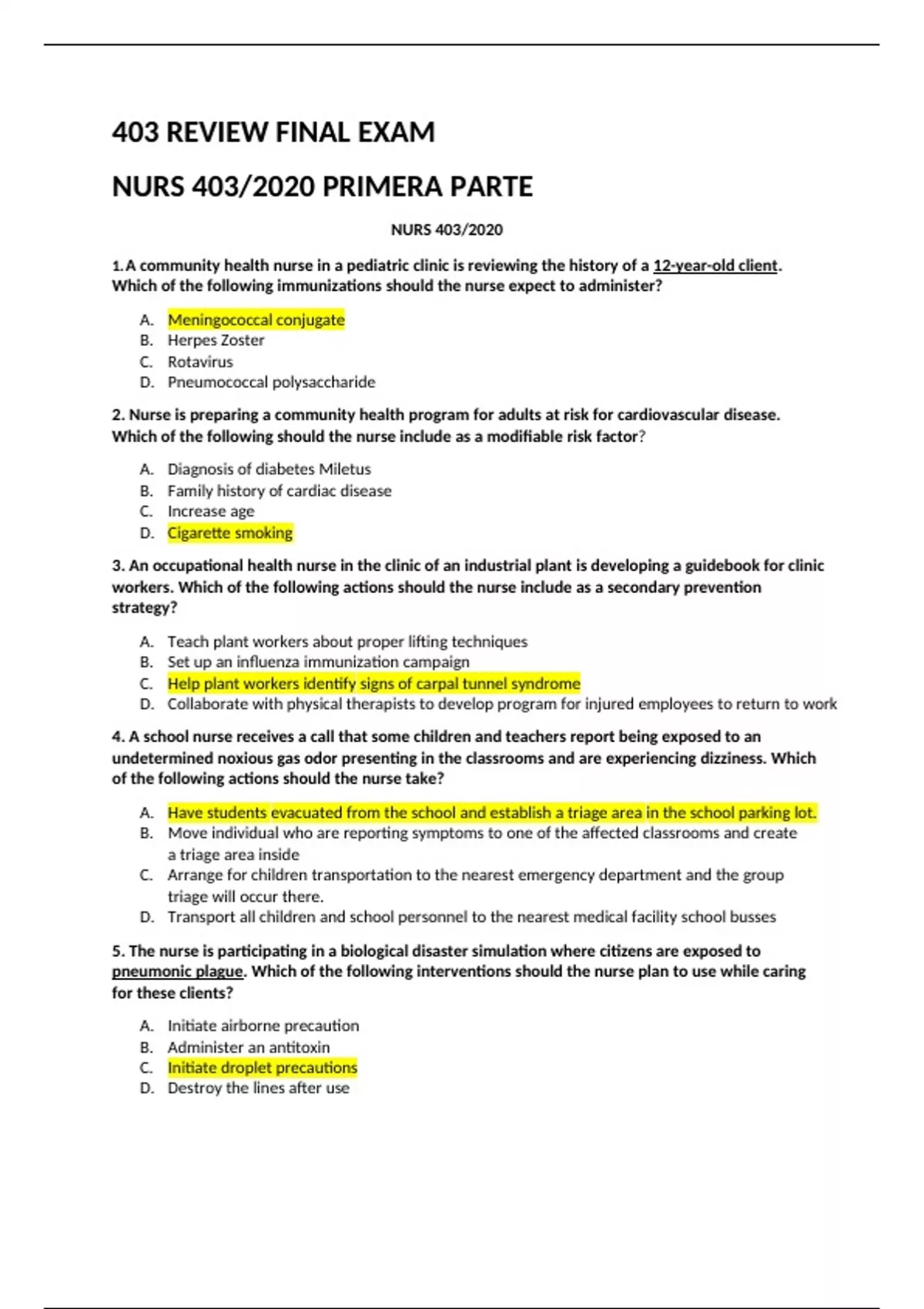
403 REVIEW FINAL EXAM NURS 403/2020 PRIMERA PARTE NURS 403/2020 1. A community health nurse in a pediatric clinic is reviewing the history of a 12-year-old client. Which of the following immunizations should the nurse expect to administer? A. Meningococcal conjugate B. Herpes Zoster C. Rotavirus D. Pneumococcal polysaccharide 2. Nurse is preparing a community health program for adults at risk for cardiovascular disease. Which of the following should the nurse include as a modifiable risk factor? A. Diagnosis of diabetes Miletus B. Family history of cardiac disease C. Increase age D. Cigarette smoking 3. An occupational health nurse in the clinic of an industrial plant is developing a guidebook for clinic workers. Which of the following actions should the nurse include as a secondary prevention strategy? A. Teach plant workers about proper lifting techniques B. Set up an influenza immunization campaign C. Help plant workers identify signs of carpal tunnel syndrome D. Collaborate with physical therapists to develop program for injured employees to return to work 4. A school nurse receives a call that some children and teachers report being exposed to an undetermined noxious gas odor presenting in the classrooms and are experiencing dizziness. Which of the following actions should the nurse take? A. Have students evacuated from the school and establish a triage area in the school parking lot. B. Move individual who are reporting symptoms to one of the affected classrooms and create a triage area inside C. Arrange for children transportation to the nearest emergency department and the group triage will occur there. D. Transport all children and school personnel to the nearest medical facility school busses 5. The nurse is participating in a biological disaster simulation where citizens are exposed to pneumonic plague. Which of the following interventions should the nurse plan to use while caring for these clients? A. Initiate airborne precaution B. Administer an antitoxin C. Initiate droplet precautions D. Destroy the lines after use 6. A nurse is among the first responders to a mass-casualty incident and does not know what type of personal protection equipment (PPE) is needed. Which of the following actions should the nurse take? A. Wait until the type of equipment needed is known B. Decontaminate victims before intervening C. Choose the highest level of protection equipment available. D. Use a dosimeter to measure the level of radiation in the area before intervening 7. A charge nurse is making a room assignment for a client who has scabies. In which of the following rooms should the nurse place the client? A. A negative pressure isolation room B. A semiprivate room with a client who has pediculosis capitis C. A positive pressure isolation room D. A private room. 8. A nurse is performing triage for a group of clients following a mass casualty incident (MCI). Which of the following clients should the nurse plan to care for first? A. A client experiencing a tension pneumothorax B. A client who has a closed upper extremity fracture C. A client who has full thickness burns over 80% of this body D. A client who has agonal respirations 9. a nurse is helping to triage a group of clients at a mass casualty incident who were involved in an explosion at a local factory. Which of the following clients should the nurse tag to be the priority for care? A. A client who has severe head injury respiratory rate 6/min and unresponsive B. A client who has a simple fracture of the femur, multiple scratches on both legs, and crying hysterically C. A client who has a piece of wood punctured into the chest wall and has an audible hissing sound coming from the wound site. D. A female who is pregnant at 20 weeks of gestation has multiple cuts and abrasions and is walking around 10. A nurse is triaging victims of a multiple motor-vehicle crash. The nurse assesses a client trapped under a car who is apneic and has a weak pulse at 120/min. After repositioning his upper airway, the client remains apneic. Which of the following actions should the nurse take? A. Start CPR B. Place a red tag on the client’s upper body and attempt to help the next client in need C. Place a black tag on the client’s upper body and attempt to help the next client in need. D. Reposition the client upper airway a second time before assessing his respirations 11. A nurse is reviewing the guidelines for reporting nationally notifiable infectious diseases. Which of the following diseases should the nurse plan to report to the Centers for Disease Control and Prevention (CDC)? A. Lyme disease B. Cytomegalovirus C. Streptococcus pharyngitis D. Toxoplasmosis 12. A community health nurse is reviewing the levels of disease prevention. Which of the following activities is an example of tertiary prevention? A. Providing treatment for clients who have chronic obstructive pulmonary disease. B. Performing screening for sexually transmitted infections C. Administering influenza immunizations at local health fair D. Testing new nurses for exposure to TB 13. A charge nurse is discussing staff nurses’ responsibilities in preplanning for response to a disaster. Which of the following responsibilities should the nurse include in the discussion? A. Identify community resources that are available. B. Evaluate the impact of a disaster on the community C. Asses survivors of a disaster for level of psychological stress D. Link victims with support agencies to help with food clothing shelter and counseling needs 14. A nurse is reviewing treatment protocols for clients exposed to bioterrorism agents. For which of the following agents should the nurse plan to administer a vaccine following exposure? A. Anthrax B. Botulism C. Plague D. Smallpox 15. A nurse is providing staff education about smallpox as a bioterrorism threat. Which of the following statements indicates an understanding of this agent? (Select all that apply) A. Smallpox is transmitted person to person B. Infection is characterized by severe respiratory distress C. Smallpox vaccination ensures lifelog immunity D. Naturally occurring smallpox has been eradicated from the world. E. Smallpox is often confused with varicella. 16. A nurse is preparing to care for a client who has suspected exposure to plague as a result of bites from infected fleas. Which of the following actions should the nurse plan to take first? A. Prepare for drainage of lesions B. Initiate contact precautions. C. Notify the CDC control and preventions D. Decontaminate the client 17. A nurse is reinforcing teaching with a group of adolescent females who are pregnant about expected changes related to pregnancy. Which of the following client statements indicates understanding of the teaching? A. It is normal to have a white vaginal discharge. B. I should recognize fetal movement by 12 weeks C. I will take fluid pills if my ankles begin to swell D. My nipples and areolae will become pale as my breast enlarge 18. A nurse is preparing to administer ciprofloxacin to a client. The nurse identify that the medication is treated for exposure to which of the following agents? A. Smallpox B. Sarin gas C. Ebola virus D. Antrax 19. A nurse is caring for a client who suspects recent exposure to inhalation anthrax. Which of the following findings indicate possible exposure? A. Flu-like symptoms. B. Sloughing of skin C. Vesicles on the skin D. Respiratory failure 20. A nurse is reviewing information about the Health Insurance Portability and Accountability Act (HIPAA) with a newly licensed nurse. Which of the following statements by the newly licensed nurse indicates a need for further teaching? A. Information about a client can be disclosed to family members at any time. B. HIPAA established regulations of individually identifiable health information in verbal electronic or written form C. A client address would be an example of personally identifiable information D. HIPAA is a federal law not a state low 21. A nurse is preparing to perform hand hygiene. Which of the following actions should the nurse take? A. Adjust the water temperature to feel hot B. Apply 4 to 5 ml of liquid soap to the hands. C. Hold the hands higher than to the elbows D. Rub hands and arm to dry 22. A nurse is preparing to administer three liquid medications to a client who has an NG feeding tube with continuous enteral feeding. Which of the following actions should the nurse take? A. Mix the three medications together prior to administering B. Dilute each medication with 10 ML of tap water C. Maintain the head of the bed in a flat position for 30 min following medications administration D. Flush the NG feeding tube with 30 ml of water immediately following medication administration. 23.- a nurse is administering nasal decongestant drops for a client. Which of the following actions should the nurse take? A. Tell the client to blow her nose gently before the instillation. B. Assistant the client to a side lying position C. Hold the dropper 2 cm (1in) above the naris D. Instruct the client to say in the same position for 2 min 24.- A nurse is performing tracheostomy care for a client and suctioning to remove copious secretions. Which of the following actions should the nurse take?

Show more Read less
Institution
403 NURS 403/2020 PRIMERA PARTE
Course
403 NURS 403/2020 PRIMERA PARTE











Whoops! We can’t load your doc right now. Try again or contact support.

Written for

Institution
403 NURS 403/2020 PRIMERA PARTE
Course
403 NURS 403/2020 PRIMERA PARTE

Document information

Uploaded on
March 1, 2024
Number of pages
106
Written in
2023/2024
Type
Exam (elaborations)
Contains
Questions & answers

Subjects

Get to know the seller

Seller avatar
Reputation scores are based on the amount of documents a seller has sold for a fee and the reviews they have received for those documents. There are three levels: Bronze, Silver and Gold. The better the reputation, the more your can rely on the quality of the sellers work.
TheInstructor NURSING
View profile
Follow You need to be logged in order to follow users or courses
Sold
54
Member since
2 year
Number of followers
30
Documents
4955
Last sold
2 weeks ago
The Instructor

NURSING, ECONOMICS, MATHEMATICS, BIOLOGY, AND HISTORY MATERIALS BEST TUTORING, HOMEWORK HELP, EXAMS, TESTS, AND STUDY GUIDE MATERIALS WITH GUARANTEED A+ I am a dedicated medical practitioner with diverse knowledge in Nursing and Mathematics. I also have additional knowledge in mathematics-based courses (finance and economics).

3.8

8 reviews

5
4
4
2
3
0
2
0
1
2

Recently viewed by you

Why students choose Stuvia

Created by fellow students, verified by reviews

Quality you can trust: written by students who passed their tests and reviewed by others who've used these notes.

Didn't get what you expected? Choose another document

No worries! You can instantly pick a different document that better fits what you're looking for.

Pay as you like, start learning right away

No subscription, no commitments. Pay the way you're used to via credit card and download your PDF document instantly.

Student with book image

“Bought, downloaded, and aced it. It really can be that simple.”

Alisha Student

Frequently asked questions